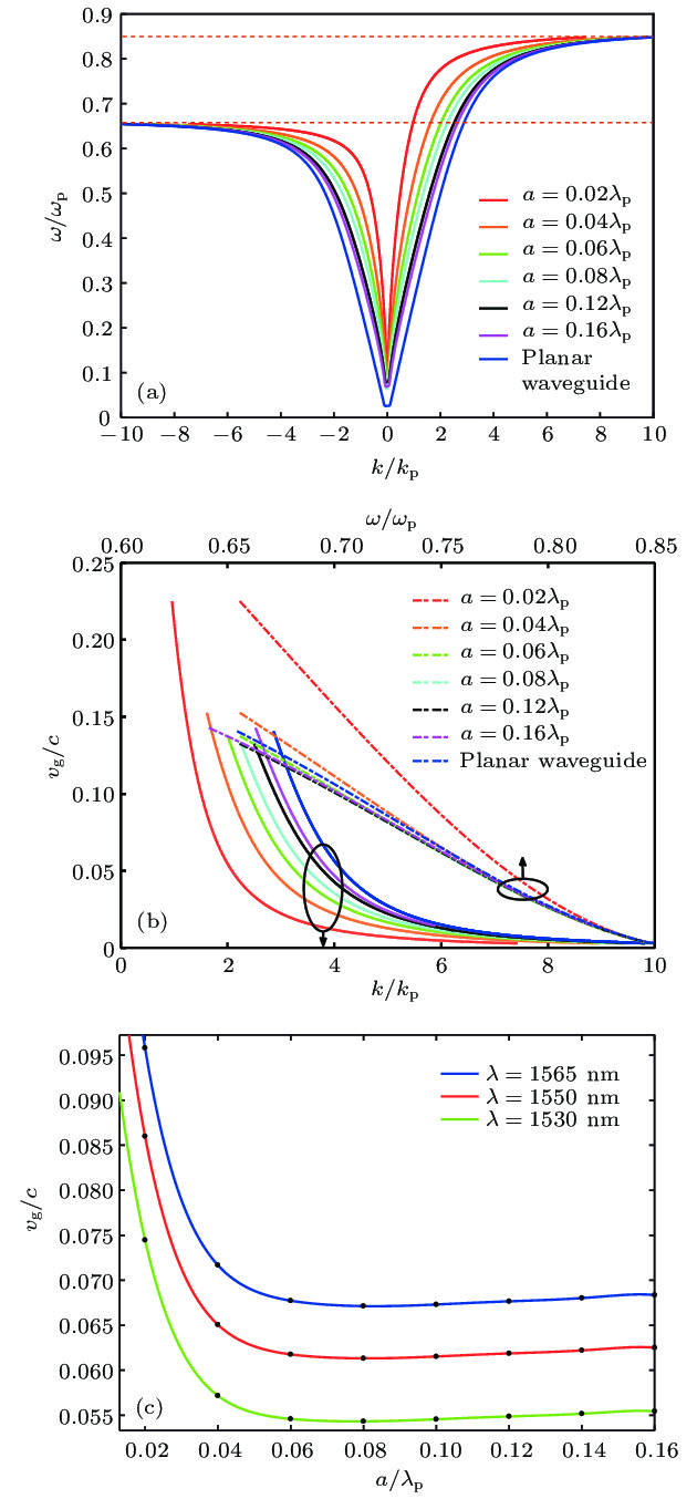
A C-band rectangular waveguide with gyroelectric semiconductor is designed to study the non-reciprocal propagation characteristics of surface magnetoplasmons (SMPs), which are generated by an external magnetic field. The effective refractive index method is used to obtain the effective refractive index and transverse electric field distribution of the waveguide, and a two-dimensional rectangular waveguide is approximately regarded as a combination of two one-dimensional planar waveguides. The dispersion equation of planar waveguide with
$ {\rm{E}}_{mn}^x$
mode in rectangular waveguide is derived. The influences of the structural parameters of rectangular waveguide and the refractive index of material on the non-reciprocal dispersion relation and time-delay characteristics are analyzed by numerical method. Due to the effect of external magnetic field, the off-diagonal elements of dielectric tensor in magnetic photonic crystal are changed. The generation of electrical anisotropy leads the time reversal symmetry to be broken. As a result, the dispersion curves of the rectangular waveguide are asymmetric with respect to propagation constant, and the complete one-way transmission of SMPs can be realized in the asymmetric frequency region. The dispersion curve tends to be a dispersion curve of planar waveguide as the width of rectangular waveguide increases, but the non-reciprocal frequency range is approximately unchanged. The width of the core region and the refractive index of the side material have a significant influence on the non-reciprocal dispersion characteristics: the group velocity of SMPs decreases with
ωand propagation constant decreasing. The group velocity is related to the waveguide width, propagation constant and the operating wavelength. The relationship between the normalized group velocity and the width of the waveguide separately operating at 1530, 1550 and 1565 nm are studied. The group velocity is relatively slow when the width of waveguide’s core region is between 140 nm and 233.5 nm, and the minimum group velocity reaches 5.43 × 10
-2
c. As for the slow light effect, the rectangular waveguide is better than planar waveguide. The rectangular waveguide has a large engineering tolerance in the width of core region, which is 93.5 nm. In addition, the dispersion curves of the rectangular waveguide with SiO
2, Air, Au and Ag as the left and right cladding layers are calculated. As a result, the group velocity is proportional to the refractive index of the side material in the
ydirection of the rectangular waveguide. The slow light effect is the most obvious when the material is silver, and the minimum transmission speed can reach 2.8 × 10
-3
c.