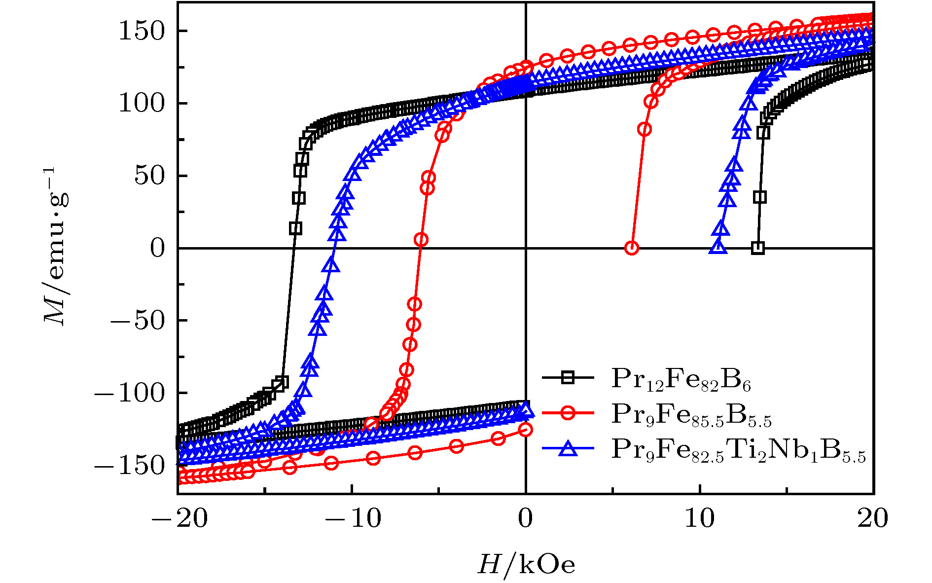
The coercivities in rare earth permanent magnets even with the same intrinsic properties may differ largely. In this paper, what determines the coercivity is discussed via the investigation of thermal activation in Pr-Fe-B ribbons prepared by melt-spinning method. The thermal activation, resulting from thermal fluctuation overcoming the energy barrier under the applied field, is the critical behavior of magnetization reversal. The activation size is comparable to the theoretical domain wall size, implying that the magnetization reversal undergoes the nucleation of revered domain wall at grain outer-layer in Pr-Fe-B ribbons, and the defects near the grain boundary are critical for the magnetization reversal and coercivity. The exchange coupling between the defect region at grain outer-layer and the perfect region in the inside of grain promotes the nucleation of reversed domain and the depinning of domain wall motion. The reduced anisotropy of the defect region also contributes to the overcoming of energy barrier of magneto crystallie anisotropy in the inside of Pr-Fe-B grains by the coupling effect, so the nucleation field of reversed domain and coercivity decrease largely, and the domain wall size is a little larger than the theoretical value due to the coupling between the defect region at grain outer-layer and the perfect region in the inside of grain in the critical magnetization reversal. In Pr
2Fe
14B/
α-Fe composite magnets, the exchange coupling between the soft and hard magnetic phase leads the domain wall size to increase in the critical magnetization reversal of thermal activation, and so the exchange energy plays a role in overcoming the energy barrier, resulting in the further decrease of coercivity. Via the addition of Ti and Nb element, the coercivity increases significantly. Based on the investigation of thermal activation, the size of defect region involved in the domain wall decreases, and the contribution of the anisotropy in the defect region and interface to the overcoming of energy barrier is weakened, so the applied magnetic field should be increased in the magnetization reversal. The coercivity can be enhanced by reducing the size of defect region at grain outer-layer and by making the anisotropy change abruptly at the interface between the hard and soft magnetic phase.