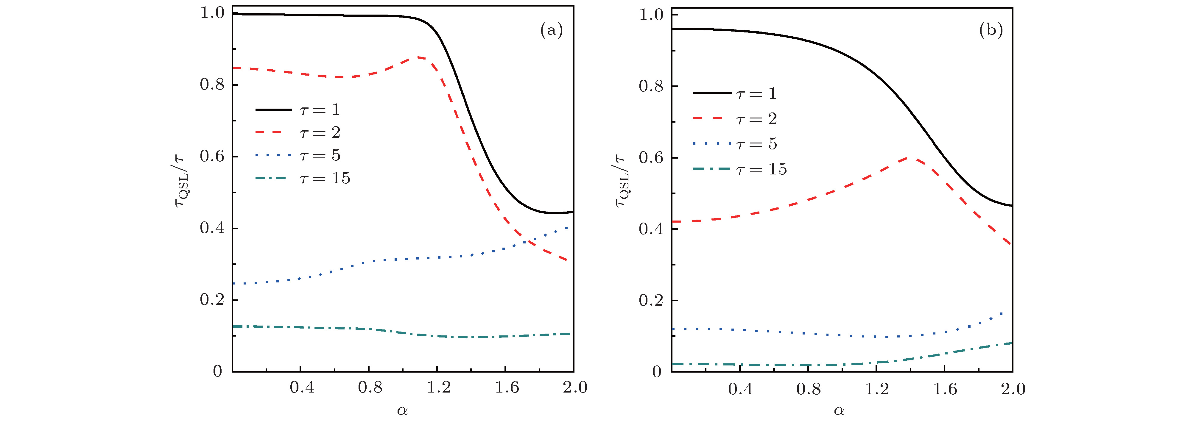
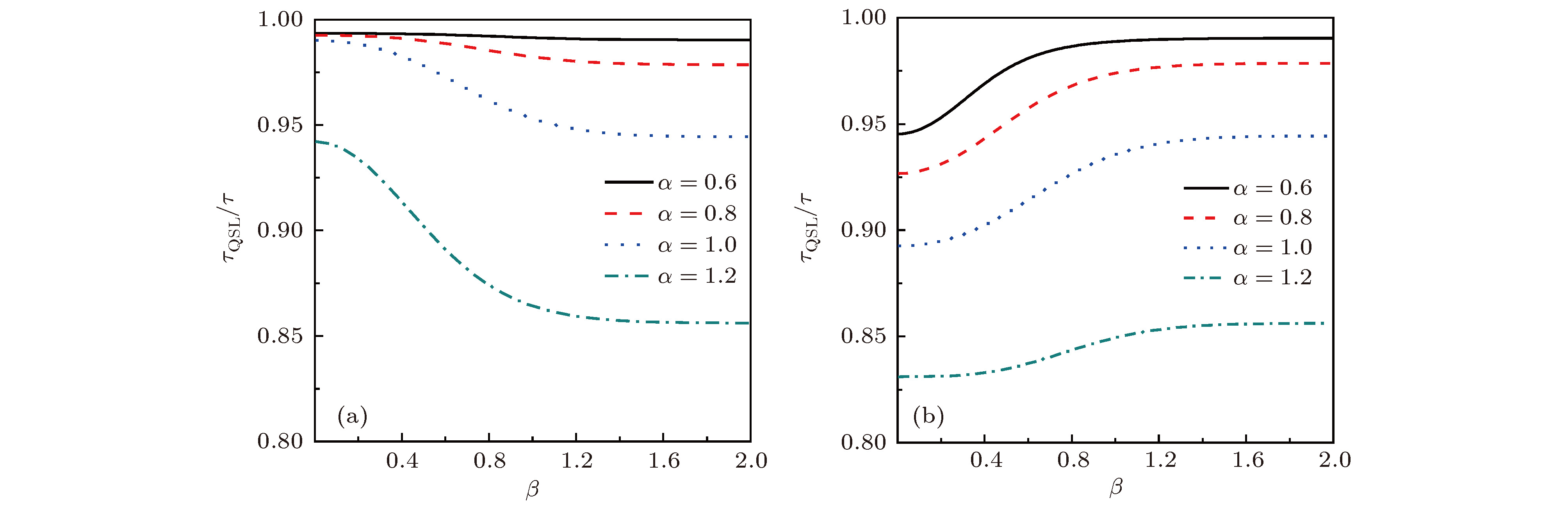
We consider a two-mode entangled coherent light field, in which one mode of the light field is injected into the cavity and interacts with a two-level atom. According to the theory of cavity electrodynamics, the evolution state of atomic system is deduced. Aiming at the dynamic process from the initial state of an atomic system to the target evolution state, the quantum speed limit time is used to characterize the maximum evolution rate of the quantum state of an atomic system. The maximum evolution rate of an atomic system can be controlled by adjusting the coherent parameters of the two-mode entangled coherent light field. But up to now, which kind of quantum speed limit time can be better, universal and strict applicable to the quantum dynamics process of any system is still an unresolved important issue. Based on different methods of measuring the distance between two quantum states and different dynamic evolution channels, many definitions of the quantum speed limit time have been given. The quantum speed limit time proposed by Deffner and Lutz (Deffner S, Lutz E 2013
Phys. Rev. Lett.
111010402) and the other deduced by Campaioli et al. (Campaioli F, Pollock F A, Binder F C, Modi K 2018
Phys. Rev. Lett.
120060409; Campaioli F, Pollock F A, Modi K 2018 arXiv:1806.08742) have attracted extensive attention. In this paper, we first compare the advantages of two quantum speed limit times to characterize the maximum evolution rate of quantum states. We find that the quantum speed limit time expression given by Campaioli et al. (Campaioli F, Pollock F A, Modi K 2018 arXiv:1806.08742) in 2018 is a tighter bound when describing the boundary of the shortest time required for the quantum state evolution of a two-level atomic system. Therefore, this paper is mainly based on the quantum speed limit time given by Campaioli et al. to analyze how to achieve the maximum evolution rate of the quantum state of the atomic system by manipulating the parameters of a two-level entangled coherent light field. The results show that the maximum evolution speed of the quantum state of the atomic system can be significantly affected by the coherent parameters of the light field interacting with the atom under certain conditions. Furthermore, when the interacting light field parameters cannot well control the maximum evolution speed of the quantum state, the quantum correlation with the two-mode entangled coherent light field can realize the remote control of the maximum evolution speed of quantum state of atomic system by the light field parameters that are not involved in the atom-light interaction.