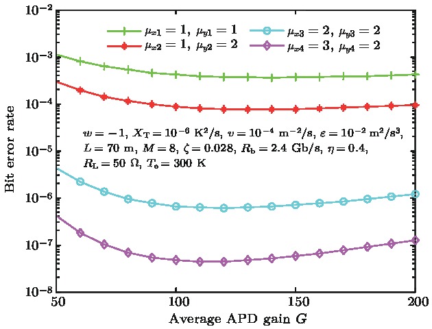
Pulse position modulation (PPM) technology combined with the system of wireless optical communication received by the photon detector has the advantages of high energy efficiency and strong anti-interference capability. This technology has received extensive attention in the field of underwater wireless optical communication (UWOC) system. Affected by ocean turbulence, the UWOC system will produce the intensity fluctuations, leading the system performance to degrade. The Gamma-gamma intensity fluctuation probability model, which is a two-parameter model, possesses a wide range of applications. It can describe weak, medium and strong fluctuation in light intensity statistics. In this paper, firstly, based on the relationship between the weak atmospheric turbulent spherical wave scintillation index and the weak ocean anisotropic turbulent spherical wave scintillation index, the equivalent structural parameter expressed by both ocean turbulence parameters and anisotropy factor is derived. Then, using the structural parameter combined with the gamma-gamma turbulence channel and the asymptotic Rytov theory, the bit error rate (BER) under anisotropic ocean turbulence is calculated based on the BER formula of the PPM communication system. Finally, numerical simulations are carried out to analyze the ocean turbulence parameters, the average avalanche photodiode (APD) gain, the PPM modulation order, the data bit rate, and the influences of transmission distance on the BER under different anisotropic ocean turbulences. The results indicate that the negative effect of turbulence becomes stronger with increasing the ratio between the contributions of temperature and salinity to the refractive index spectrum, the dissipation rate of mean-squared temperature, data bit rate, and propagation distance. As the viscosity coefficient increases, the BER decreases. When the isotropic ocean turbulence and the anisotropy factors are very small, the increase of the rate of dissipation of kinetic energy per unit mass of fluid will result in a decrease in BER. When the turbulent environment anisotropy is further strengthened, the BER first increases and then decreases as the rate of dissipation of kinetic energy per unit mass of fluid increases. As the average APD gain increases, the BER first decreases and then increases. This trend is especially noticeable as the anisotropy factor increases. The choice of the average APD gain is important for finding the minimum value of the BER. In general, the system is more affected by salinity fluctuation than by temperature fluctuation. As the rate of dissipation of mean-squared temperature increases and the viscosity coefficient decreases, the negative effects of turbulence becomes more and more serious. When the system propagates longer distances or works at a higher data bit rate, the system is severely affected by turbulence, which limits the system operating distance and data transmission rate. However, using a smaller modulation order and choosing the right APD can conduce to improving the system performance. In addition, the PPM UWOC system can perform better when the system operates within acceptable bit error rate as the ocean turbulence environment becomes more anisotropic. This study will provide reference for the construction and performance estimation of UWOC system platform.