Due to the various risks caused by lead, the research of lead-free ferroelectric functional ceramics has been one of research hotspots recently. And relaxor ferroelectrics have an important position in materials for ceramic capacitor due to their low temperature change rate and large electrostrictive coefficient. However, the lead-free Sr
xBa
1–xNb
2O
6ceramic is a non-filled tungsten bronze structural material whose Curie temperature can be adjusted by changing the proportion of Sr composition. The increase of Sr concentration in ceramic can cause relaxor behavior and improve dielectric constant and ferroelectric properties. In this work, Sr
xBa
1–xNb
2O
6(
x= 0.4, 0.5 and 0.6, abbreviated as SBN40, SBN50 and SBN60, respectively) ceramics are prepared by a high-temperature solid-state reaction process. The dielectric properties and the impedances of the Sr
xBa
1–xNb
2O
6ceramics are investigated in detail. It is worth noting that the high-temperature diffusion for the Sr
xBa
1–xNb
2O
6has not been studied before. Furthermore, the analysis of high-temperature dielectric behavior and impedance of lead-free functional ceramics is important for the application of functional ceramics in the high-temperature environment. The temperature of phase transition for SBN40, SBN50 and SBN60 are 401.15 K, 355.15 K, and 327.15 K, respectively, which are obtained from the modified Curie-Weiss law. The result shows that the increase of Sr composition leads the phase transition temperature from ferroelectric to paraelectric phase to decrease. In addition, the calculated value of diffusion phase transition parameter
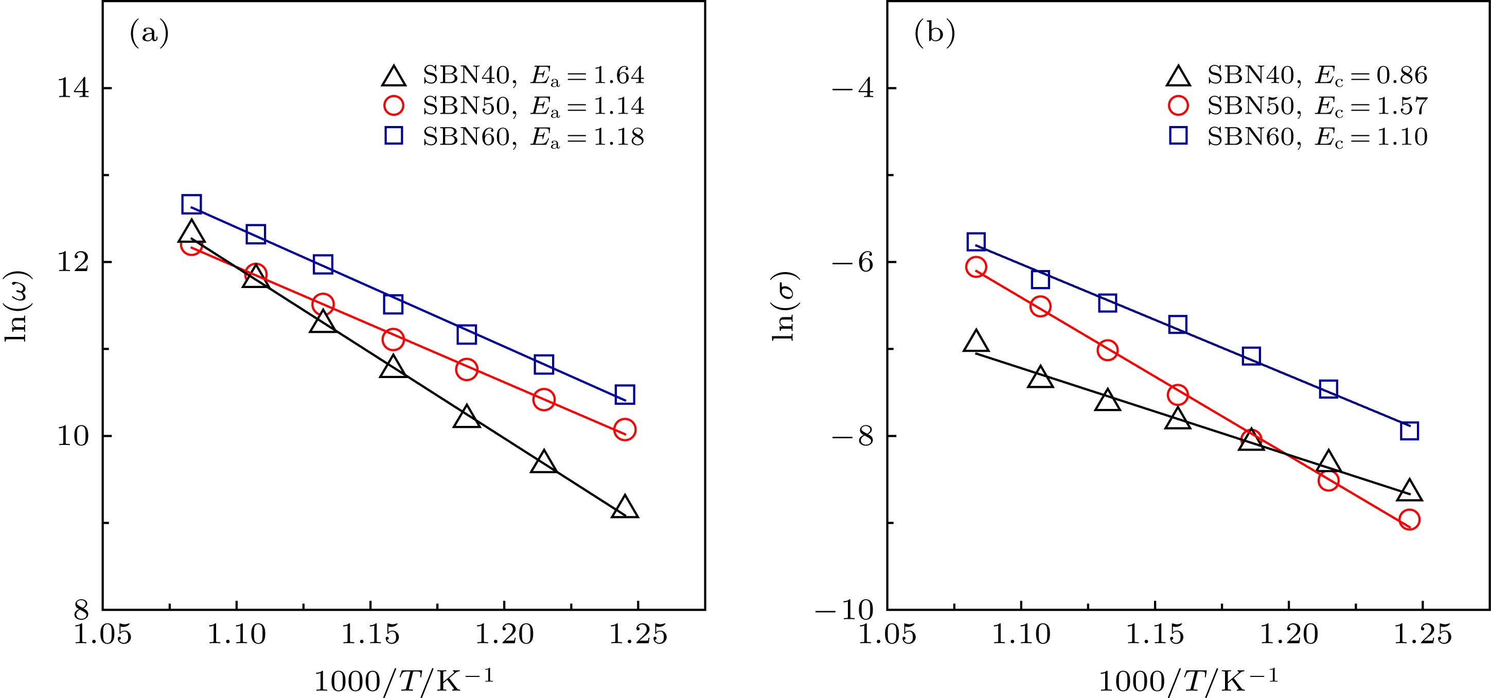
γfor SBN40, SBN50 and SBN60 are 1.53, 1.90 and 1.94, respectively, showing that it is close to an ideal relaxor ferroelectric with the Sr content increasing in SBN ceramics at low temperature. In addition, it is noticed that a similar diffusion appears in at high temperature. This phenomenon is unrelated to the phase transition, but it is corresponding to high temperature dielectric relaxation which is related to oxygen vacancy. As expected, the impedance spectroscopic data present a thermally activated relaxation phenomenon. Finally, activation energy for conduction and relaxation are calculated from the impedance and dielectric data through the Arrhenius law. Comparing the activation energy values for conduction and relaxation, it can be obviously concluded that the trap-controlled conduction process should be responsible for the relaxation process of sample. And the hopping of ions, caused by oxygen vacancies, plays a critical role in the dielectric relaxation process at high temperature.