Granular flow in the drum widely appears in the fields of industrial production, and discrete element method (DEM) proves to be a critical tool for studying the flow characteristics of granular materials. Considering simple contact and efficient calculations, the three-dimensional spheres are originally adopted by the DEM. Therefore, the DEM simulations mainly focus on spherical particles, while the dynamics of non-spherical particles in rotating drums is relatively rarely studied. It is reported that particle shape significantly affects the macroscopic and microscopic properties of the granular flow. Compared with spherical particles, non-spherical particles have low fluidity and great interlock. Meanwhile, it is questionable whether conclusions drawn from spherical particle systems can be transplanted to non-spherical particle systems. In this work, super-quadric equations based on continuous function representation are used to describe the spherical and ellipsoidal particles. Considering the complex contact detection between particles, the Newton iteration algorithm is used to solve the non-linear equations. Meanwhile, a non-linear contact model considering the equivalent radius of curvature at the local contact point is used to calculate the contact force between the super-quadric elements.
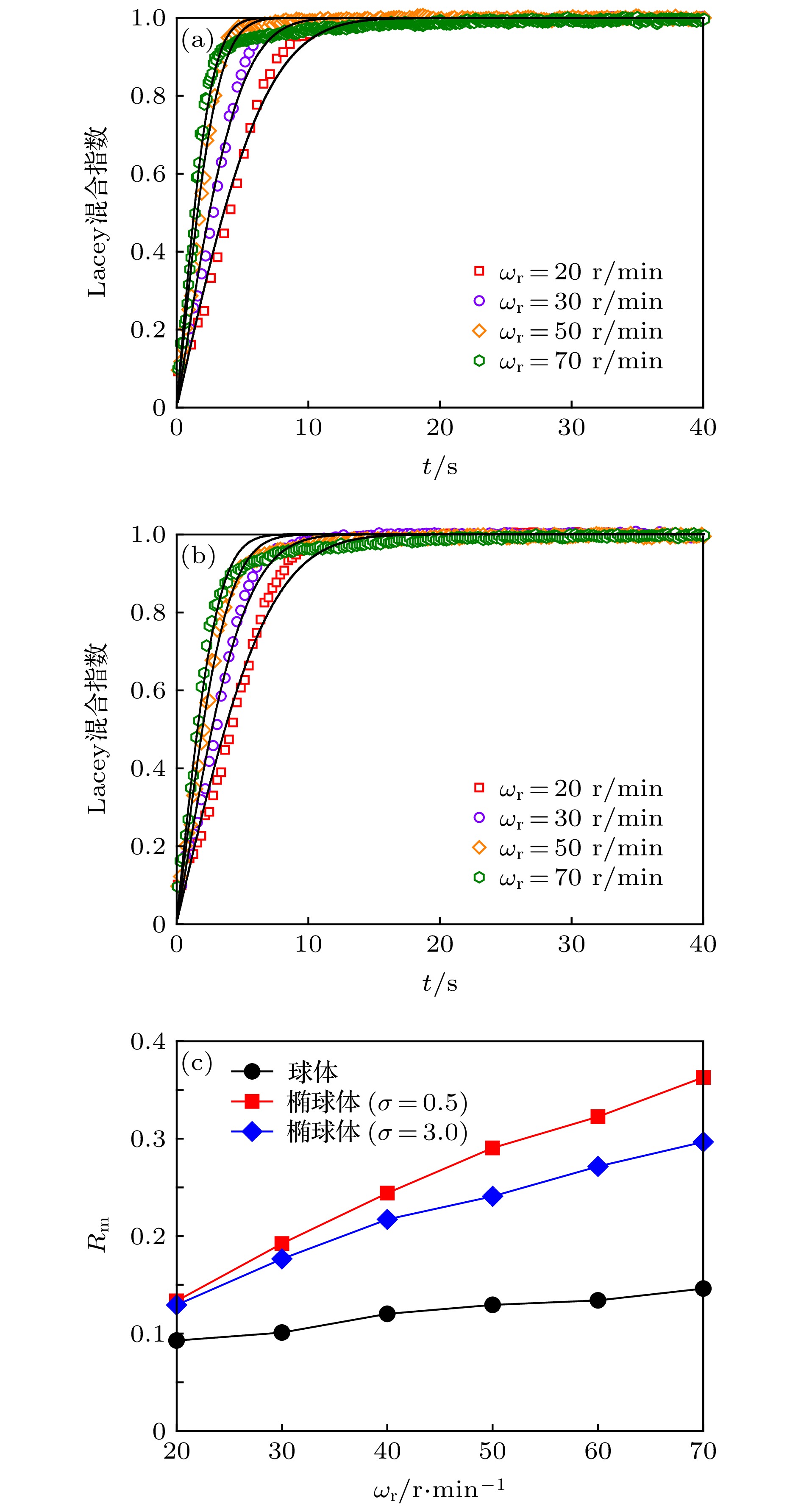
To examine the validity of DEM model, we compare our simulated results with the previous experimental results for mixing process of ellipsoids, and this method is verified by good agreement between the simulated results and the experimental results. According to the aforementioned method, the influences of rotating speed, fill level, and aspect ratio on the mixing rate are discussed. The results show that the granular system reaches the cascading regime and the S-shaped surface of the granular bed is observed. In addition, Lacey mixing index is used to quantify the mixing of granular systems, and the mixing rate is obtained by fitting the Lacey mixing index. The mixing rate increases as the rotating speed increases. At the same rotating speed, the mixing rate of ellipsoids is faster than that of spheres. Meanwhile, the ellipsoidal particles have the fastest mixing rate when the aspect ratio is 0.75 or 1.50. When the aspect ratio is less than 0.75, the mixing ratio increases as the aspect ratio increases; when the aspect ratio is greater than 1.50, the mixing ratio decreases as the aspect ratio increases. Moreover, more pronounced velocity stratification is observed for ellipsoids. The translational kinetic energy of ellipsoidal particles is higher than that of spherical particles, and their rotational kinetic energy is lower than that of spheres. The aspect ratio of particles can adjust the contact mode between particles and cause the interlock. It means that the relative rotation between particles is limited and the efficiency of the external energy transferring to the non-spherical system may be improved.