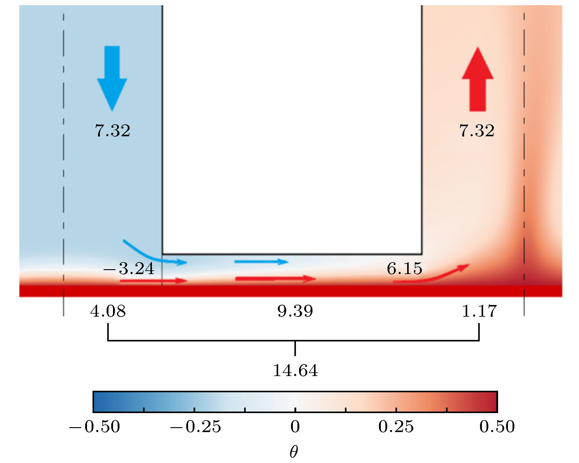
How to improve the heat transfer efficiency of the system is always a hot issue in thermal convection research field. It is found that when the partitions are added at equal distances to the classical physical model -- Rayleigh-Bénard convection system and gaps are left between the horizontal plates and partitions, the heat transfer efficiency of the system increases significantly with the number of partitions increasing. The heat transfer efficiency can reach up to 3.1 times that of the non-partition device with the specific geometric parameters. In this paper, the Direct Numerical Simulation (DNS) method is used to simulate the partitioned convection system. The mechanism of the heat transfer enhancement of the system is analyzed by studying the characteristics of the heat flow as well as the heat conduction and transport in the system. After the flow in partitioned convection system is fully developed, the fluid in each channel moves vertically in alternating direction and the upward(downward) channel has a higher(lower) temperature than the average temperature of the cell. Due to the symmetry of the system, only the bottom region of the low temperature channel, the bottom region of the high temperature channel and the gap region connecting these two channels are selected for research. By discussing the lateral and longitudinal transport processes of heat flow in the above three regions, the heat flux in the channels and gap areas of the system are studied by quantitative analysis. The results show that the low-temperature fluid in the channel impacts on the bottom plate and then moves into the gap area; the fluid is continuously heated by the bottom plate and flows out of gap area with high temperature. Finally, the fluid converges in the heat transfer channel and forms a longitudinal jet. The external input heat flux of the area that has only horizontal heat transport is large, accounting for 92% of the total heat flux which is obtained from the bottom plate. The heat flux of gap area accounts for 64% of the total heat flux, but the external input heat flux of the area that has only longitudinal heat transport is smaller. The convection system with different geometric parameters has the effect of enhancing heat transfer efficiency, and enhancement capability of the system is stronger when the height of gaps is smaller. When the number of partitions
n= 11 and the height of gap
d= 0.01, the value of the global
Nunumber is largest,
Nu= 82, which is more than three times that of the system without partitions.