As an important Ti-B component, Ti
3B
4has been widely used in industry and military applications. However, its deformation behaviors are not clear, which greatly limits its applications. First-principles methods based on density function theory were employed to investigate the mechanical, electronic properties and deformation mechanisms of Ti
3B
4under uniaxial compressions along different axis. The results show that the structure underwent a massive change under different axial compressions. Strong anisotropic of deformation behaviors in Ti
3B
4was observed. The compressive strength along b-axis is the highest in Ti
3B
4structure. Under
a-axis compression, the interaction between intralayer Ti—Ti bonds becomes weaker as the compressive strain increases, causing the partly damage of Ti
3B
4. However, in this process, the structure is not destroyed and can sustain the stress continuously. After that, the interlayer Ti—Ti bonds and the intralyer B—B bonds which are along
b-axis, are broken and then it causes the sudden drop in stress, implying that the Ti
3B
4structure is fully destroyed. Under
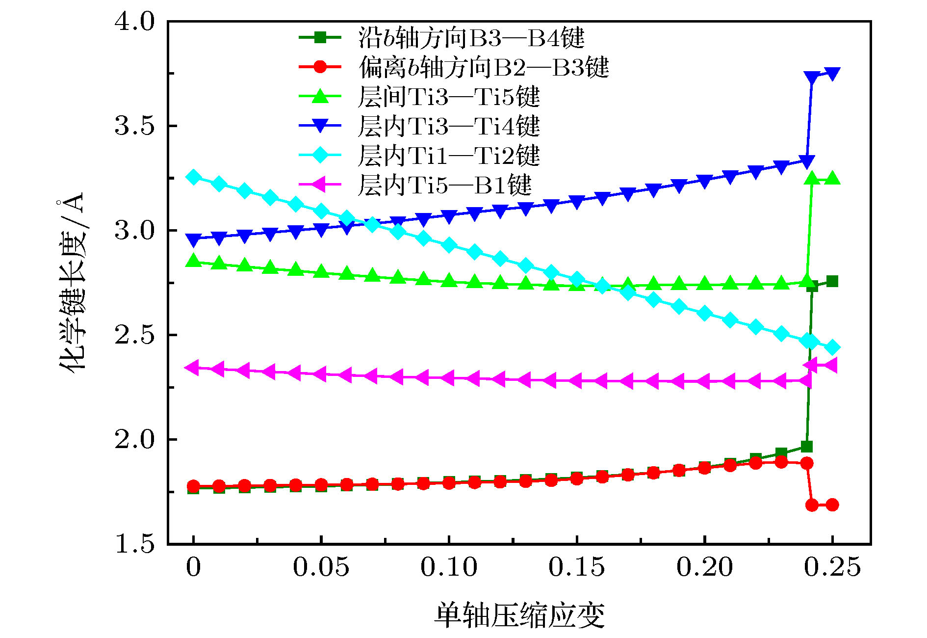
b-axis compression, the changes of Ti—B bonds in Ti
3B
4structure lead to the decrease of stress. Similarly, the structure can sustain the stress continuously in the process. Then, the B—B bonds which are along
b-axis are broken, resulting in the sudden drop in stress. Under
c-axis compression, the formation of interlayer Ti—B bonds and the breakage of intralayer Ti—B bonds result in structural instability of Ti
3B
4. Meanwhile, the deformed Ti
3B
4still exhibits a metallic feature in the crystalline state after uniaxial compressions. However, there is no noticeable pseudogap in DOS spectra for
a-axis and
b-axis compressions. While for
c-axis compression, there still exists a pseudogap around the Fermi energy, but it moves to the lower energy. And the pseudogap becomes narrower than that of the initial structure, which means that the covalent properties of Ti
3B
4are reduced after deformations. The present work provides necessary insights in understanding the mechanical behaviors and deformation mechanisms of Ti
3B
4, which is the basis for improving the mechanical performance of Ti
3B
4at macroscale.