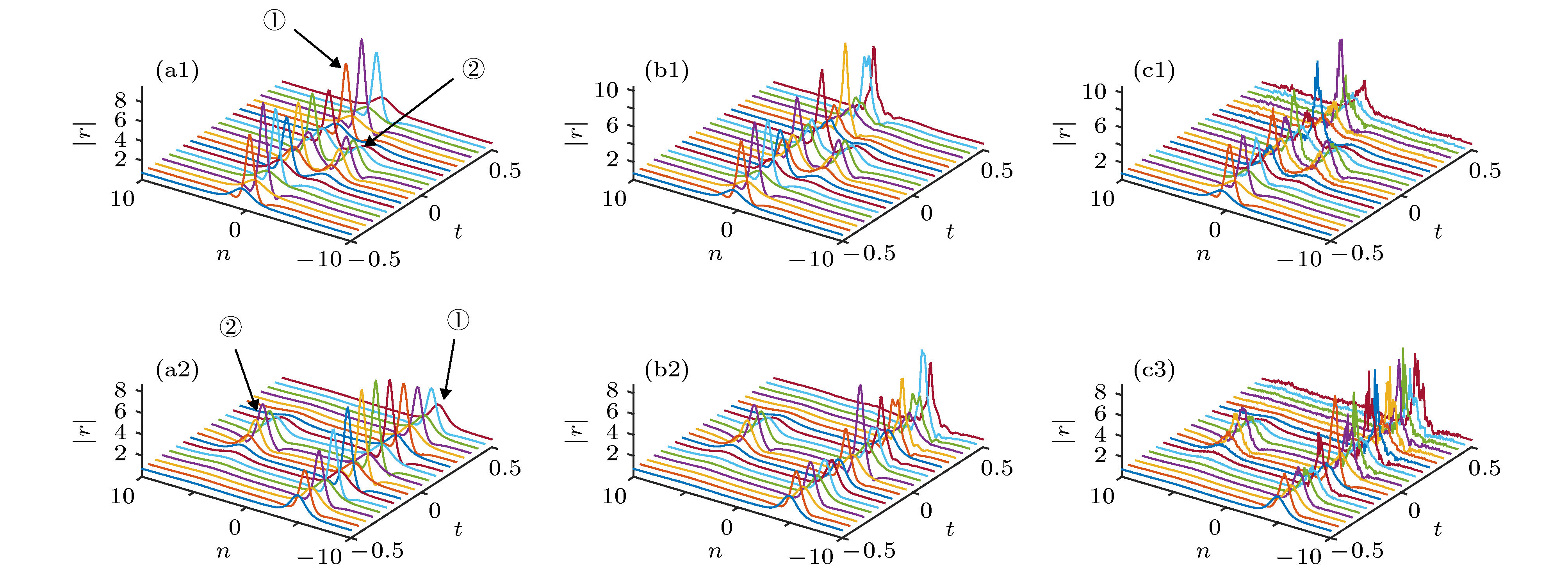
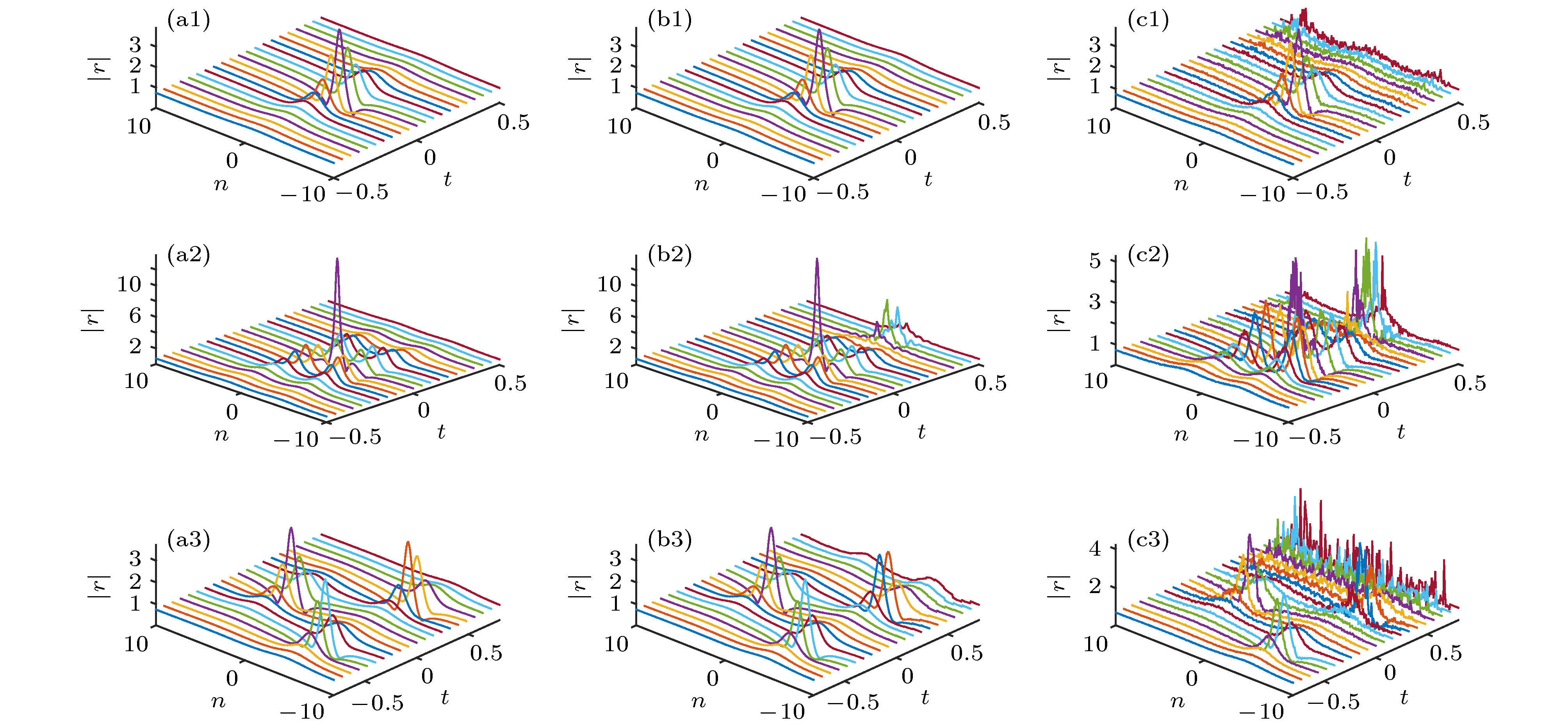
It is an important research topic to study diverse local wave interaction phenomena in nonlinear evolution equations, especially for the semi-discrete nonlinear lattice equations, there is little work on their diverse local wave interaction solutions due to the complexity and difficulty of research. In this paper, a semi-discrete higher-order Ablowitz-Ladik equation is investigated via the generalized
$(M, N-M)$
-fold Darboux transformation. With the aid of symbolic computation, diverse types of localized wave solutions are obtained starting from constant and plane wave seed background. Particularly, for the case
$M=N$
, the generalized
$(M, N-M)$
-fold Darboux transformation may reduce to the
N-fold Darboux transformation which can be used to derive multi-soliton solutions from constant seed background and breather solutions from plane wave seed background, respectively. For the case
$M=1$
, the generalized
$(M, N-M)$
-fold Darboux transformation reduce to the generalized
$(1, N-1)$
-fold one which can be used to obtain rogue wave solutions from plane wave seed background. For the case
$M=2$
, the generalized
$(M, N-M)$
-fold Darboux transformation reduce to the generalized
$(2, N-2)$
-fold one which can be used to give mixed interaction solutions of one-breather and first-order rogue wave from plane wave seed background. To study the propagation characteristics of such localized waves, the numerical simulations are used to explore the dynamical stability of such obtained solutions. Results obtained in the present work may be used to explain related physical phenomena in nonlinear optics and relevant fields.