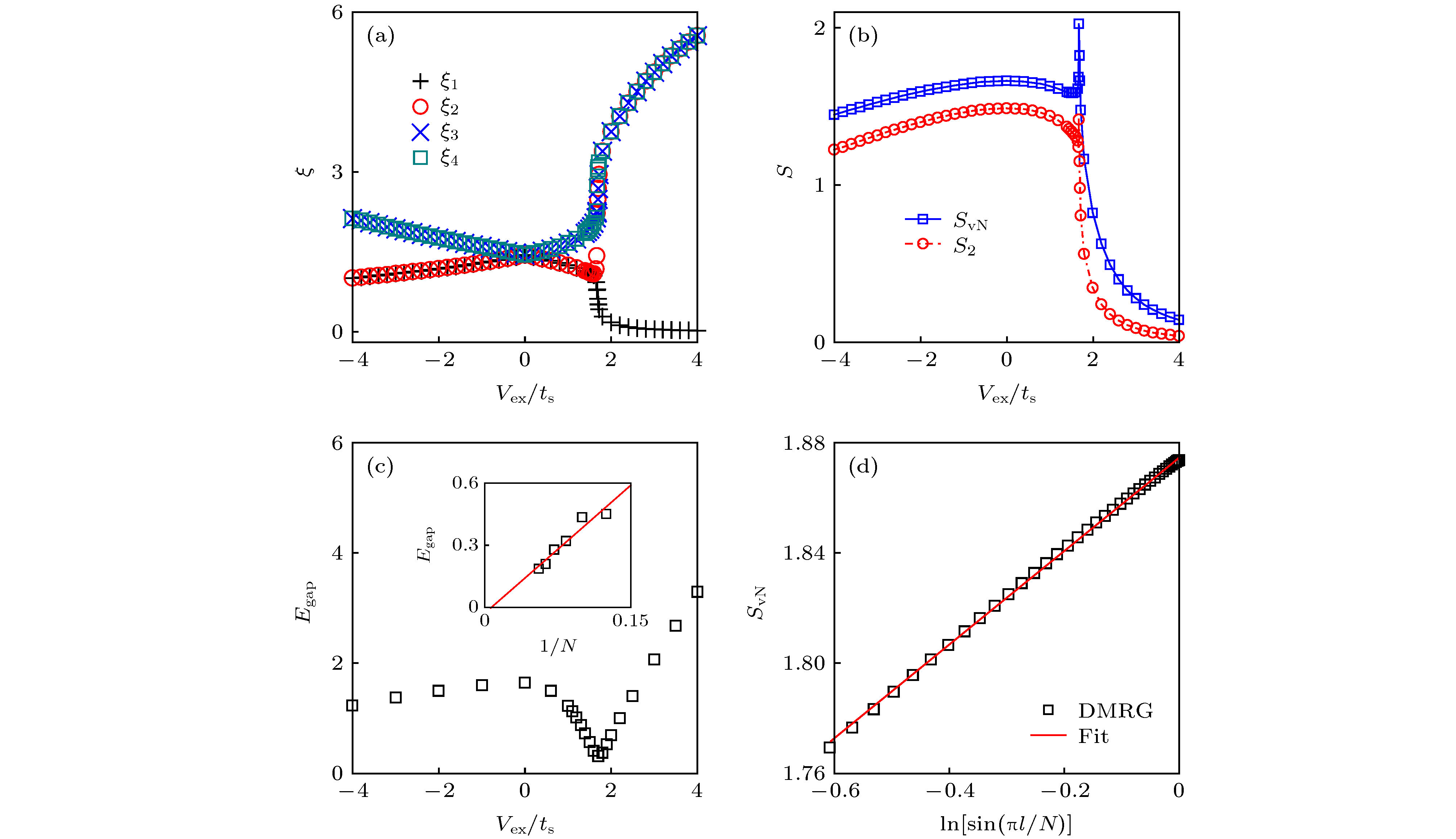
Artificial synthetic gauge field and spin-orbit coupling has been extensively studied following their experimental realization in ultracold atomic systems. Thanks for the versatile controllability, such systems not only provide possibilities to simulate and study important models in multidisciplinary fields of physics, but also work as an excellent platform to engineer novel states of matter and quantum phenomena. This paper reviews some recent progresses on the study of ultracold atomic systems with spin-orbit coupling, focusing on the effects induced by dissipation, novel interaction forms, large symmetry of spins, and long-range interactions. The investigation in these aspects is closely related to the characteristics of ultracold atomic systems, hence can bring new inspirations and perspectives on the understanding of spin-orbit coupling. In this review, we firstly investigate the appearance of a topological superradiant state in a quasi-one-dimensional Fermi gas with cavity-assisted Raman process. A cavity-assisted spin-orbit coupling and a bulk gap opening at half filling will be induced by the superradiant light generated in the transversely driven cavity mode. The topological superradiant state and the corresponding topological phase transition in the system can be driven by this mechanism. Then, symmetry-protected topological states of interacting fermions will be introduced in a quasi-one-dimensional cold gas of alkaline-earth-like atoms. Raman-assisted spin-orbit couplings in the clock states, together with the spin-exchange interactions in the clock-state manifolds will give rise to symmetry-protected topological states for interacting fermions, by taking advantage of the separation of orbital and nuclear-spin degrees of freedom in these alkaline-earth-like atoms. Furthermore, we show that an exotic topological defect, double-quantum spin vortices, which are characterized by doubly quantized circulating spin currents and unmagnetized filled cores, can exist in the ground states of SU(3) spin-orbit-coupled Bose-Einstein condensates. It is found that the combined effects of SU(3) spin-orbit coupling and spin-exchange interaction determine the ground-state phase diagram. Finally, we demonstrate that spin-orbit coupling and soft-core long-range interaction can induce an exotic supersolid phase of Bose gas, with the emergence of spontaneous circulating particle current. This implies that a finite angular momentum can be generated with neither external rotation nor synthetic magnetic field, and the direction of the angular momentum can be altered by adjusting the strength of spin-orbit coupling or interatomic interaction.