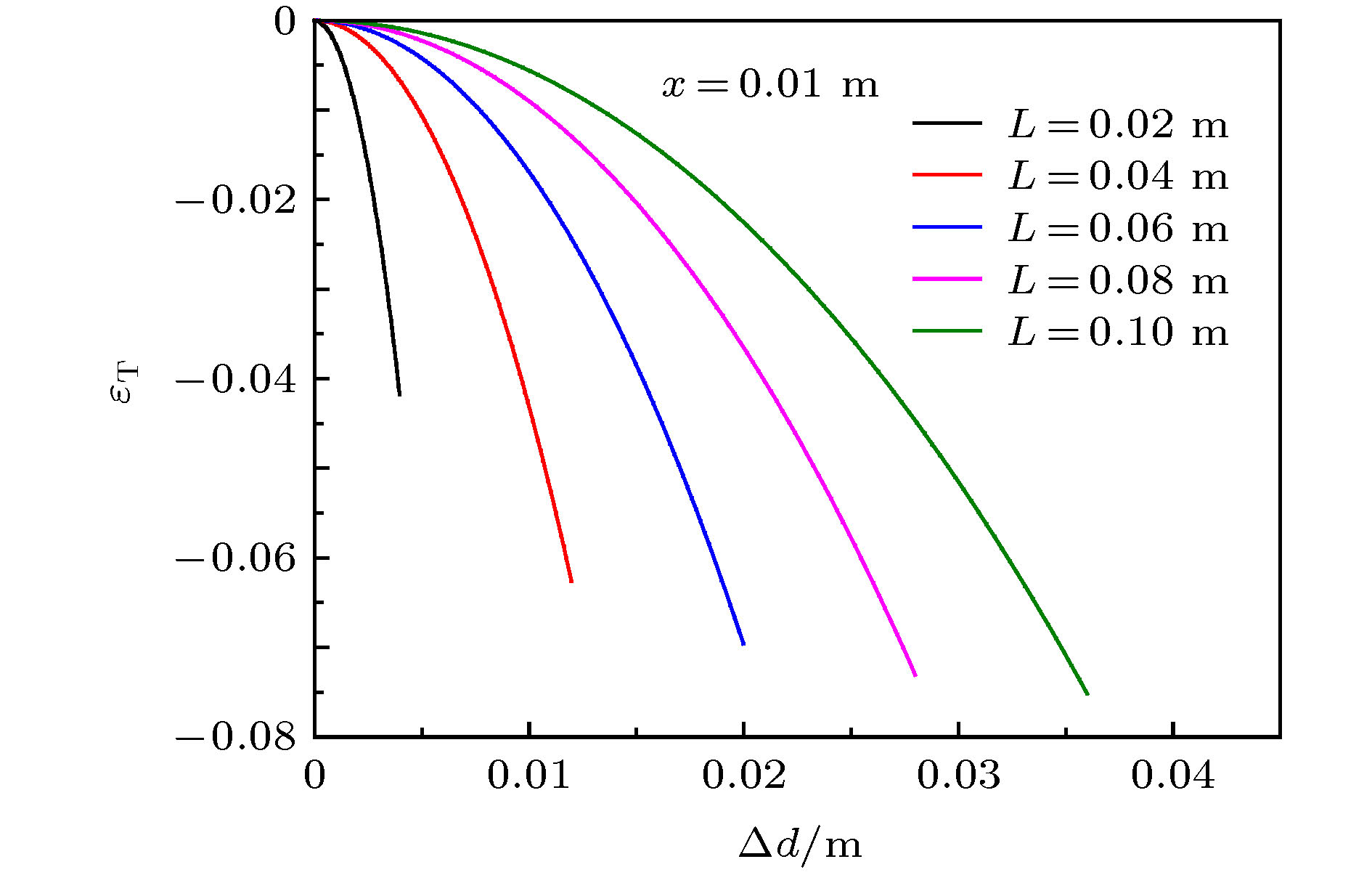
Kirigami, the art of cutting paper, recently emerged as a powerful tool to substantially modify, reconfigure and program the properties of material. The development of kirigami technology provides an effective solution for designing the inorganic flexible electronic devices. Pyramid kirigami, as a kind of kirigami structure, shows a large vertical extension characteristic. It has been widely used to demonstrate versatile applications, such as graphene kirigami spiral spring, three-dimensional stretchable supercapacitor, and wearable flexible sensors. In the present work, we construct a polygonal radial symmetric pyramid kirigami by introducing some cuts in the elastic sheet. The mechanical behavior of pyramid kirigami is investigated based on the cantilever formula solved by Galerkin method. In addition, a “beam model” is proposed to explain deformation process of pyramid kirigami, which consists of several “beam elements” containing two cantilever beams. The formula for the relationship between the elastic coefficient
Kand the structural parameters of the regular
N-sided pyramid kirigami of
nmodules is obtained by combining several cantilever beams. The formula for the linear threshold of deformation
D
Tis obtained based on the comparison between the approximate curve of small deflection and the theoretical curve of a cantilever beam. When the deformation of the structure exceeds the linear threshold, the structure cannot keep the elastic coefficient
Kvalue linear any more, and the mechanical behaviors become non-linear. The simple geometric relationship of a single module is used to explain the out-of-sheet distortion of the structure. The proposed theoretical model is confirmed by finite element method simulation and experimental methods, and it is used to analyze the mechanical characteristics of graphene krigami reported. The results indicate that the defined parameters can be adjusted to tailor or manipulate the ductility and mechanical behaviors. This work provides theoretical support for the application of pyramid kirigami in the field of flexible devices. In the macroscopic field, the pyramid kirigami structure is expected to be applied to the field of flexible devices as a flexible structure with controllable elastic coefficient. In the microscopic field, it is expected to use two-dimensional materials to make force measurement devices with a simple visual readout and femtonewton force resolution.