-
采用内收敛多组态相互作用及Davidson修正方法精确地计算了SeH +离子能量最低的3个离解极限对应的12个Λ—S态的势能曲线. 计算中考虑了芯-价电子关联、标量相对论修正和自旋-轨道耦合效应. 结果表明在30000—40000 cm –1处Ω态的曲线存在许多避免交叉, 导致a2, b0 +, A 12, A 21, A 30 –, A 40 +和c1态变为了双势阱. 通过求解径向薛定谔方程得到了12个Λ—S态和9个Ω态的光谱常数. 基于势能曲线和跃迁偶极矩, 预测出了
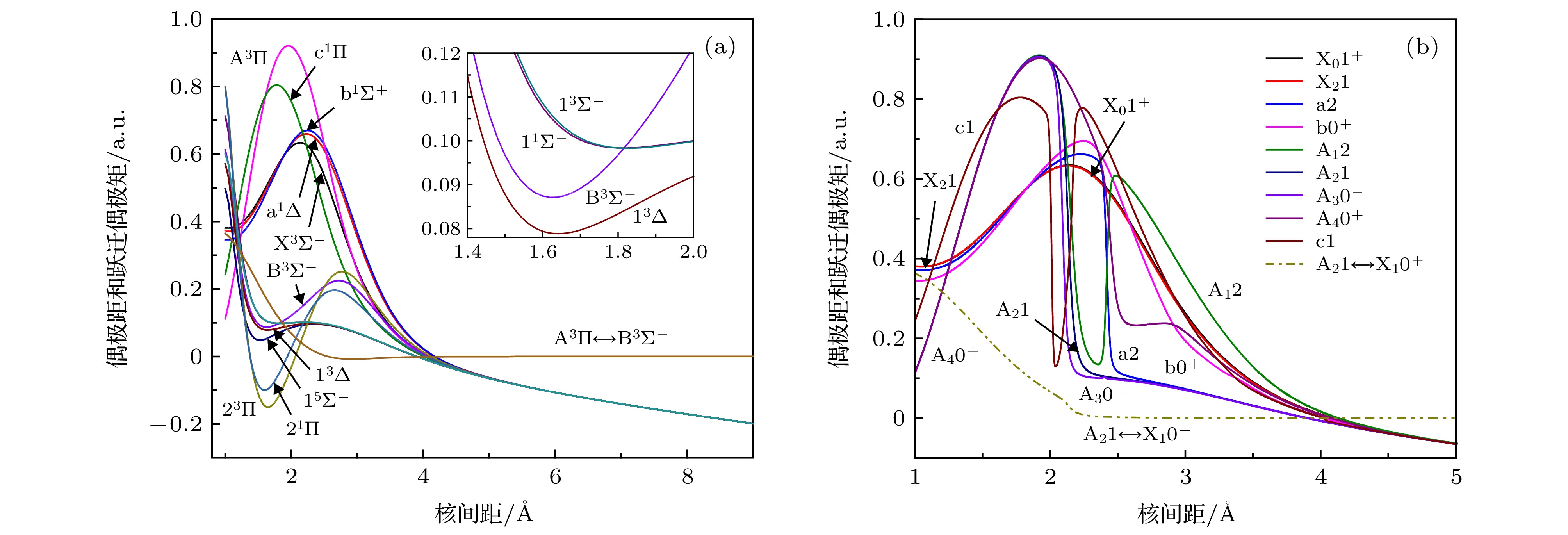
$ {{\rm{A}}^3}\Pi \leftrightarrow {{\rm{X}}^3}{\Sigma ^ - }$ 和$ {{\rm{A}}_2}1 \leftrightarrow {{\rm{X}}_1}{0^ + }$ 跃迁的弗兰克-康登因子、辐射速率和辐射寿命. 首次系统地报道了SeH +离子的光谱与跃迁性质.Potential energy curves of dipole moments for 12 electronic states correlating with the Se +( 4Su) + H( 2Sg), Se +( 2Du) + H( 2Sg) and Se +( 2Pu) + H( 2Sg) dissociation channels of SeH +anion are calculated by the ic-MRCI + Qmethod. The AV5Z-DK basis set for Se atom and H atom are chosen. Scalar relativistic effect, core-valence correction, and spin-orbit coupling effect are also taken into account. In MRCI calculations, Se(1s2s) orbitals are frozen, H(1s) and Se(4s4p) orbitals are selected as active space, and the remaining orbitals are used for the core-valence correlation. Spectroscopic parameters of 12 Λ–S states and 9 low-lying Ω states are obtained. All Λ–S states we selected are bound states. The X 3Σ –, a 1Δ, b 1Σ +, A 3Π and c 1Π states each possess a large well, but the others each have a shallow well. The a 1Δ, b 1Σ +, A 3Π, c 1Π and 1 5Σ –states cross in 30000–40000 cm –1regions. The X 3Σ –, a 1Δ and b 1Σ +come from the 4π 2electronic configuration around the equilibrium region, and three states have similar values of R e. The splitting dissociation channels are obtained at a spin-orbital coupling level. The calculated energy differences among five dissociation channels are in excellent agreement with the experimental data, and the maximal error is smaller than 0.5%. Due to the avoided crossing between the low-lying Ω states, the a2, b0 +, A 12, A 21, A 30 –, A 40 +and c1 states all have two wells. The splitting parameters A SOof the X 3Σ –state and the A 3Π state are predicted at the same time, i. e. A SO(X 21 – X 10 +) = 252.4 cm –1, A SO(A 21 – A 12) = 858.9 cm –1, A SO(A 30 –– A 21) = 1213.5 cm –1and A SO(A 40 +– A 30 –) = 199.5 cm –1. The transition dipole moments of the A 3Π $ \leftrightarrow $ X 3Σ –and A 21$ \leftrightarrow $ X 10 +transitions are obtained. The oscillator strengths, Franck-Condon factors, and radiative lifetimes of these two transitions are also predicted. The radiative lifetime of A 3Π state and A 21 state are 746.6 and 787.8 ns, respectively. It implies the ability of electron transition for these two transitions.-
Keywords:
- multi-reference configuration interaction/
- spin-orbit coupling effect/
- spectroscopic constants/
- spontaneous radiative lifetimes
[1] [2] [3] [4] [5] [6] [7] [8] [9] [10] [11] [12] [13] [14] [15] [16] [17] [18] [19] [20] [21] [22] [23] [24] [25] [26] [27] [28] [29] [30] [31] -
原子态 Λ–S态 相对能量/cm–1 本文工作a Se+(4Su) + H(2Sg) 3, 5Σ– 0 Se+(2Du) + H(2Sg) 1, 3Σ–,1, 3Π,1, 3Δ 13590.3 Se+(2Pu) + H(2Sg) 1, 3Σ+,1, 3Π 22896.5 a同一离解极限对应的所有电子态的平均能量. 电子态 Re/Å ωe/cm–1 ωeχe/cm–1 Be/cm–1 De/eV Te/cm–1 X3Σ– 1.4659 2387.48 45.81 7.8816 3.369 0 1.474[11] a1Δ 1.4642 2393.52 40.79 7.8999 3.920 9179.3 b1Σ+ 1.4622 2406.68 40.39 7.9224 4.006 17761.9 15Σ– 3.5894 152.17 25.85 1.3340 0.030 26930.2 A3Π 1.6395 1505.52 57.16 6.2961 1.207 30953.8 c1Π 1.8168 989.95 59.14 5.1488 0.515 36530.2 B3Σ– 2.8262 490.08 47.96 2.1460 0.157 39522.1 11Σ– 3.6892 162.98 19.18 1.2109 0.042 40461.9 13Δ 3.5593 139.94 20.44 1.2964 0.030 40552.3 23Π 2.6009 603.15 50.66 2.5253 0.223 48259.6 21Π 2.7701 400.92 43.54 2.2291 0.116 49124.6 13Σ+ 3.6000 151.41 25.73 1.3258 0.029 49835.4 离子 文献 电子态 Re/Å ωe/cm–1 ωeχe/cm–1 Be/cm–1 De/eV Te/cm–1 SH+ [13] X3Σ– 1.361 2555.2 49.00 9.279 3.488 0 [13] a1Δ 1.362 2567.2 47.48 9.285 4.102 10186.7 [13] b1Σ+ 1.362 2576.7 47.34 9.298 4.208 18881.3 TeH+ [14] X3Σ– 1.6425 2147.8 36.23 6.2351 2.846 0 [14] a1Δ 1.6404 2171.0 36.57 6.2547 3.287 7590 [14] b1Σ+ 1.6383 2184.2 36.24 6.2711 3.351 15467 原子态 Ω态 相对能量/cm–1 本文工作 文献[9]a 实验值[10] Se+(4S3/2) + H(2S1/2) 2, 1, 1, 0+, 0– 0 0 0 Se+(2D3/2) + H(2S1/2) 2, 1, 1, 0+, 0– 13189.0 17745 13168.2 Se+(2D5/2) + H(2S1/2) 3, 2, 2, 1, 1, 0+, 0– 13806.5 18347 13784.4 Se+(2P1/2) + H(2S1/2) 1, 0+, 0– 23115.9 23038.3 Se+(2P3/2) + H(2S1/2) 2, 1, 1, 0+, 0– 23928.7 23894.8 a根据文献[9]的计算数据推导得到. 电子态 Re/Å ωe/cm–1 ωeχe/cm–1 Be/cm–1 De/eV Te/cm–1 X10+ 1.4661 2385.56 45.66 7.8802 3.380 0 X21 1.4662 2386.15 46.02 7.8790 3.348 252.4 a2 第一势阱 1.4645 2392.76 41.29 7.8967 2.525 9408.2 第二势阱 3.5800 168.60 33.67 1.3399 0.030 27016.9 b0+ 1.4631 2406.94 44.20 7.9127 2.758 18213.8 A12 第一势阱 1.6418 1396.10 53.29 6.3333 0.340 30201.1 第二势阱 2.4132 2295.44 131.22 2.9938 1.262 30248.9 A21 第一势阱 1.6457 1381.37 53.81 6.3229 0.329 31060.0 第二势阱 3.5900 152.22 25.81 1.3353 0.030 27018.9 A30– 第一势阱 1.6429 1391.28 55.78 6.3715 0.307 32273.5 第二势阱 3.6000 151.93 25.77 1.3339 0.030 27019.3 A40+ 第一势阱 1.6368 1385.24 18.09 6.3123 0.962 32473.0 第二势阱 2.7918 676.20 90.61 2.1897 0.167 39685.4 c1 第一势阱 1.8161 — — — 0.044 36979.9 第二势阱 2.1793 1781.89 149.33 3.5614 0.687 34921.9 跃迁 ν' ν''= 0 ν''= 1 ν''= 2 ν''= 3 ν''= 4 ν''= 5 ΣA τ= 1/(ΣA) $ {\rm A^3}\Pi \leftrightarrow {\rm X^3}{\Sigma ^ - }$ 0 0.4079 0.3685 0.1666 0.0470 0.0088 0.0011 1339434 746.6 1 0.3271 0.0013 0.2122 0.2713 0.1398 0.0405 1310290 763.2 $ {\rm A_2}1 \leftrightarrow {\rm X_1}{0^ + }$ 0 0.3841 0.3688 0.1787 0.0549 0.0116 0.0017 1269392 787.8 1 0.3186 0.0001 0.1761 0.2695 0.1629 0.0558 1212188 825.0 -
[1] [2] [3] [4] [5] [6] [7] [8] [9] [10] [11] [12] [13] [14] [15] [16] [17] [18] [19] [20] [21] [22] [23] [24] [25] [26] [27] [28] [29] [30] [31]
计量
- 文章访问数:6622
- PDF下载量:76
- 被引次数:0












下载:

