-
以石墨烯和氮化硼为代表的二维材料为研究低维体系热传导及其相关界面热阻提供了一个绝佳的平台. 近年的研究表明, 二维材料热导率有着丰富的物理图像, 如长度效应、维度效应、同位素效应及各向异性等. 本文详细综述近十年来二维材料在热传导方面的研究进展. 首先简述二维材料热传导测量技术的原理及发展, 如热桥法、电子束自加热法、时域热反射法及拉曼法等; 其次, 介绍二维材料热传导及界面热阻的实验研究进展, 讨论其相关物理问题; 最后, 介绍二维材料在散热应用方面的研究进展, 并进行总结、指出存在的问题及进一步展望二维材料未来在散热领域的研究方向与前景.The two-dimensional (2D) materials represented by graphene and boron nitride provide an excellent platform for the study of thermal conduction and the interfacial thermal resistance in low-dimensional system. Recent studies recover exotic physics behind the novel thermal transport properties of 2D materials, such as length effect, dimensional effect, isotopic effect, anisotropic effect, etc. In this review, we introduce the recent progress of thermal properties in 2D materials in the last decade. The principle and development of thermal conduction measurement technologies used in 2D materials are introduced, followed by the experimental progress of thermal conduction and interfacial thermal resistance. Special attention is paid to the abnormal thermal transport and relevant physical problems. Finally, we present thermal management and heat dissipation in 2D electronic devices, summarize and point out the problems and bottlenecks, and forecast the future research directions and foregrounds.
-
Keywords:
- thermal conductivity/
- two-dimensional materials/
- interfacial thermal resistance/
- micro/nano-scale thermal conduction
[1] [2] [3] [4] [5] [6] [7] [8] [9] [10] [11] [12] [13] [14] [15] [16] [17] [18] [19] [20] [21] [22] [23] [24] [25] [26] [27] [28] [29] [30] [31] [32] [33] [34] [35] [36] [37] [38] [39] [40] [41] [42] [43] [44] [45] [46] [47] [48] [49] [50] [51] [52] [53] [54] [55] [56] [57] [58] [59] [60] [61] [62] [63] [64] [65] [66] [67] [68] [69] [70] [71] [72] [73] [74] [75] [76] [77] [78] [79] [80] [81] [82] [83] [84] [85] [86] [87] [88] [89] [90] [91] [92] [93] [94] [95] [96] [97] [98] [99] [100] [101] [102] [103] [104] [105] [106] [107] [108] [109] [110] [111] [112] [113] [114] [115] [116] [117] [118] [119] [120] [121] [122] [123] [124] [125] [126] [127] [128] [129] [130] [131] [132] [133] [134] [135] [136] [137] [138] [139] [140] [141] [142] [143] [144] [145] [146] [147] [148] [149] [150] [151] [152] [153] [154] [155] [156] [157] [158] [159] [160] [161] [162] [163] [164] [165] [166] [167] [168] [169] [170] [171] [172] [173] [174] [175] [176] [177] [178] [179] [180] [181] [182] [183] [184] [185] [186] [187] [188] [189] [190] [191] [192] [193] [194] [195] [196] [197] [198] [199] [200] [201] [202] [203] [204] [205] [206] [207] [208] [209] [210] [211] [212] [213] [214] [215] [216] [217] [218] [219] [220] [221] [222] [223] [224] [225] [226] [227] [228] [229] [230] [231] [232] [233] [234] [235] [236] [237] [238] [239] [240] [241] [242] [243] [244] [245] [246] [247] [248] [249] [250] [251] [252] [253] [254] [255] [256] [257] [258] [259] [260] [261] [262] [263] [264] [265] [266] [267] [268] [269] [270] [271] [272] [273] [274] [275] [276] -
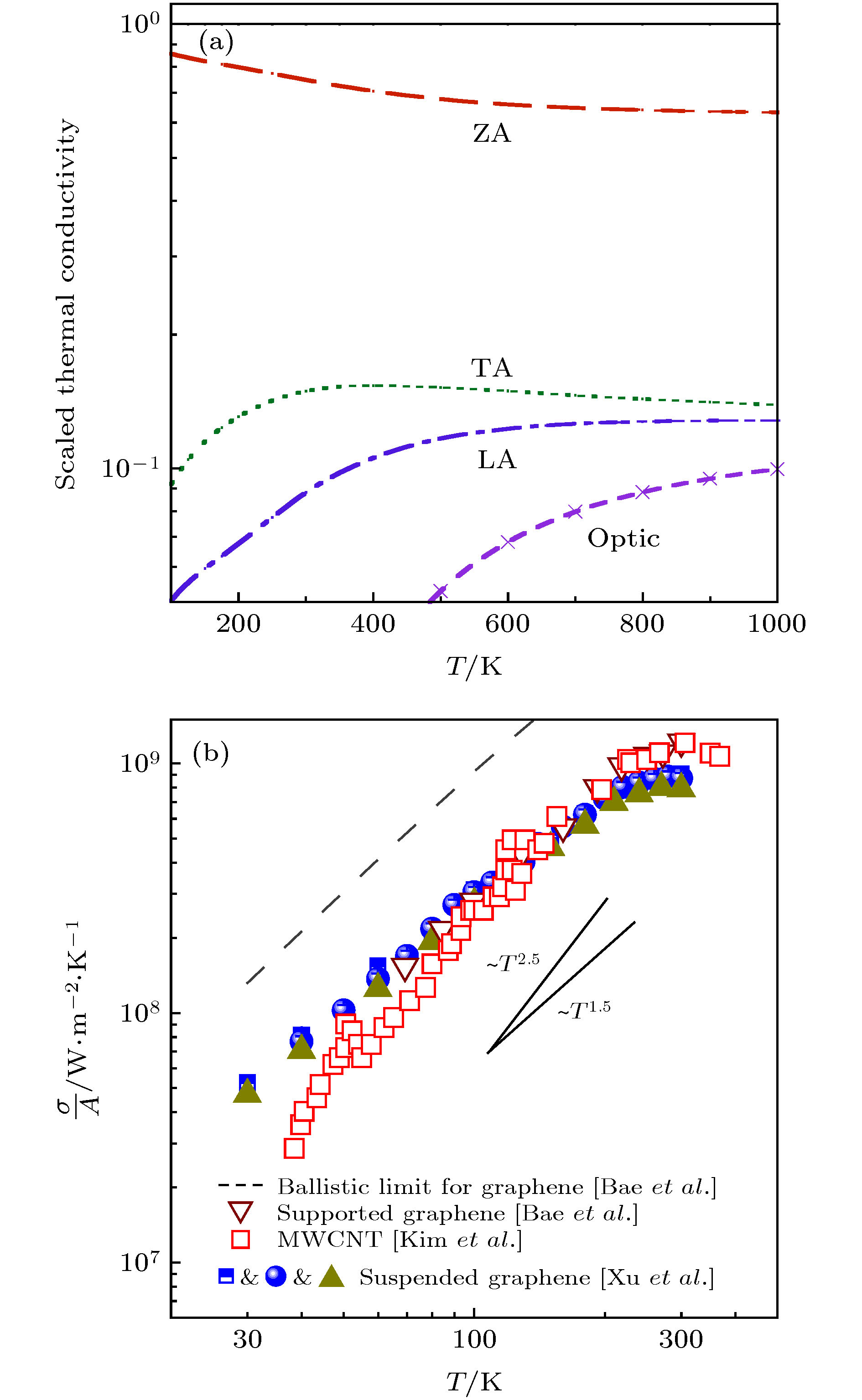
制备方式 石墨烯层数 热导率κ/W·(m·K)–1 备注 拉曼法 机械剥离[31] 1层 ~4840—5300 (室温) 数值高估, 见本节文字部分 机械剥离[97] 1层 ~3080—5150 (室温) 化学气相沉积[66] 1层 ~2500 +1100/–1050 (T= 350 K) / 化学气相沉积[66] 1层 ~1400 +500/–480 (T= 500 K) / 化学气相沉积[98] 1层 ~2600 — 3100 (T= 350 K) / 机械剥离[63] 1层 ~630 (T= 660 K) / 机械剥离[99] 1层 ~1800 (T= 325 K) / 机械剥离[99] 1层 ~710 (T= 500 K) / 化学气相沉积[69] 1层 ~850—1100 (T= 303—644 K) / 机械剥离[69] 1层 ~1500 (T= 330—445 K) / 机械剥离[69] 2层 ~970 (T= 303—630 K) / 悬空热桥法 化学气相沉积[100] 1层 ~190(T= 280 K,L= 0.5 μm) / 化学气相沉积[43] 2层 ~560—620(室温,L= 5 μm) / 化学气相沉积[17] 1层 ~1689—1831(T= 300 K,L= 9 μm) / SThM 化学气相沉积[85] 1层 ~2100—2430(T= 335 K) / 制备方式 氮化硼薄膜层数 测量方法 热导率(室温/300 K) κ/(W(m·K)–1) 机械剥离[120] 5层 微桥电阻温度计法 ~250 机械剥离[120] 11层 微桥电阻温度计法 ~360 化学气相沉积[62] 9层 拉曼法 ~227—280 化学气相沉积[57] 2.1 nm 拉曼法 ~223 化学气相沉积[121] 10 nm/20 nm 稳态/瞬态 ~100 机械剥离[41] 2层 热桥法 ~484 +141/–24 机械剥离[44] 4层 热桥法 ~286 机械剥离[56] 1层 拉曼法 751 ± 340 机械剥离[56] 2层 拉曼法 646 ± 242 机械剥离[56] 3层 拉曼法 602 ± 247 制备方式 硫化钼薄膜层数 测量方法 热导率 (300 K/室温) κ/(W·(m·K)–1) 悬空 化学气相沉积[59] 11层 拉曼法 ~52 机械剥离[60] 1层 拉曼法 34.5 ± 4 机械剥离[126] 4层 热桥法 ~44—45 机械剥离[126] 7层 热桥法 ~48—52 机械剥离[127] 1层 拉曼法 84 ± 17 机械剥离[127] 2层 拉曼法 77 ± 25 机械剥离[54] 4层 电子束自加热 34 ± 6 机械剥离[54] 5层 电子束自加热 30 ± 3 化学气相沉积[128] 1层 拉曼法 13.3 ± 1.4 化学气相沉积[128] 2层 拉曼法 15.6 ± 1.5 化学气相沉积[47] 1层 热桥法 ~21—24 化学气相沉积[18] 1层 拉曼法 60.3 ± 5.2 化学气相沉积[18] 2层 拉曼法 38.4 ± 3.1 化学气相沉积[18] 3层 拉曼法 44.8 ± 5.9 化学气相沉积[18] 4层 拉曼法 36.9 ± 4.9 衬底 机械剥离[129] 1层 拉曼法 ~62.2 机械剥离[65] 4层 拉曼法 60.3 ± 5 制备方式 薄膜层数 测量方法 热导率 (300 K/室温) κ/(W·(m·K)–1) 硒化钼 机械剥离[127] 1层 拉曼法 59 ± 18 机械剥离[127] 2层 拉曼法 42 ± 13 机械剥离[70] 45 nm 拉曼法 11.1 ± 0.4 机械剥离[70] 140 nm 拉曼法 20.3 ± 0.9 机械剥离[132] 5 nm 拉曼法 6.2 ± 0.9 机械剥离[132] 36 nm 拉曼法 10.8 ± 1.7 硒化钽 机械剥离[133] 45 nm 拉曼法 ~9 机械剥离[133] 55 nm 拉曼法 ~11 硫化钨 化学气相沉积[134] 1层 拉曼法 ~32 化学气相沉积[134] 2层 拉曼法 ~53 化学气相沉积[18] 1层 拉曼法 74.8 ± 17.2 硒化钨 化学气相沉积[18] 1层 拉曼法 66 ± 20.9 碲化钨 机械剥离[135] 220 nm TDTR ~2 机械剥离[136] 11.2 nm 拉曼 ~0.639—0.743 硫化铼 机械剥离[137] 150 nm TDTR ~50—70 界面结构 室温界面热导 界面结构 室温界面热导 Gint/MW·(m2·K)–1 Gint/MW·(m2·K)–1 石墨烯 (G) G/h-BN[235] ~17 MoS2/h-BN[236] ~52.2 SiO2/G/SiO2[237] ~83—179 硫化钼 (MoS2)、硒化钼 (MoSe2) G/SiO2[238] ~50 G/Al2O3[239] ~17 MoS2/SiO2or AlN[240] ~15 Au/Ti/G/SiO2[241] ~25 MoS2/Au[127] ~0.44—0.74 Au/Ti/G/SiO2[196] ~20 MoS2/SiO2[129] ~1.94 Al/G/Si[242] ~62—65 MoS2/SiO2[243] ~14 Al/G/SiO2[242] ~21—24 MoS2/SiO2[244] ~21 Au/Ti/G/sapphire[245] ~33.5 MoSe2/SiO2[127] ~0.09—0.13 Au/Ti/G/diamond[245] ~6.2 MoSe2/SiO2[243] ~2 G/Au[76] ~23 黑磷 (BP) G/Al[76] ~27 G/Ti[76] ~31 BP/SiOX[246] ~21.7—114 G/Au[66] ~18.8—44 BP/SiOX[247] ~202—60 氮化硼 (h-BN) 硒化钨 (WSe2) h-BN/SiO2/Si[248] ~8.3 WSe2/Si/SiO2[249] ~10—32 Metal/h-BN/SiO2[234] ~29—63 WSe2/SiO2[250] ~22 -
[1] [2] [3] [4] [5] [6] [7] [8] [9] [10] [11] [12] [13] [14] [15] [16] [17] [18] [19] [20] [21] [22] [23] [24] [25] [26] [27] [28] [29] [30] [31] [32] [33] [34] [35] [36] [37] [38] [39] [40] [41] [42] [43] [44] [45] [46] [47] [48] [49] [50] [51] [52] [53] [54] [55] [56] [57] [58] [59] [60] [61] [62] [63] [64] [65] [66] [67] [68] [69] [70] [71] [72] [73] [74] [75] [76] [77] [78] [79] [80] [81] [82] [83] [84] [85] [86] [87] [88] [89] [90] [91] [92] [93] [94] [95] [96] [97] [98] [99] [100] [101] [102] [103] [104] [105] [106] [107] [108] [109] [110] [111] [112] [113] [114] [115] [116] [117] [118] [119] [120] [121] [122] [123] [124] [125] [126] [127] [128] [129] [130] [131] [132] [133] [134] [135] [136] [137] [138] [139] [140] [141] [142] [143] [144] [145] [146] [147] [148] [149] [150] [151] [152] [153] [154] [155] [156] [157] [158] [159] [160] [161] [162] [163] [164] [165] [166] [167] [168] [169] [170] [171] [172] [173] [174] [175] [176] [177] [178] [179] [180] [181] [182] [183] [184] [185] [186] [187] [188] [189] [190] [191] [192] [193] [194] [195] [196] [197] [198] [199] [200] [201] [202] [203] [204] [205] [206] [207] [208] [209] [210] [211] [212] [213] [214] [215] [216] [217] [218] [219] [220] [221] [222] [223] [224] [225] [226] [227] [228] [229] [230] [231] [232] [233] [234] [235] [236] [237] [238] [239] [240] [241] [242] [243] [244] [245] [246] [247] [248] [249] [250] [251] [252] [253] [254] [255] [256] [257] [258] [259] [260] [261] [262] [263] [264] [265] [266] [267] [268] [269] [270] [271] [272] [273] [274] [275] [276]
计量
- 文章访问数:27458
- PDF下载量:1348
- 被引次数:0












下载:

















