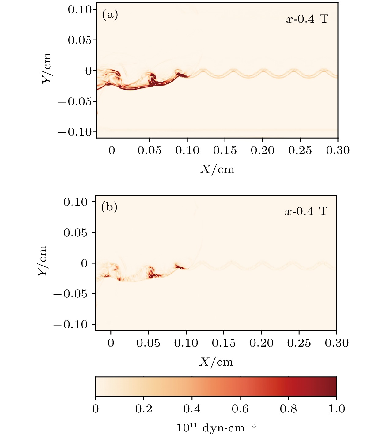
Kelvin-Helmholtz instability is the basic physical process of fluids and plasmas. It is widely present in natural, astrophysical, and high energy density physical phenomena. With the construction of strong laser facilities, the research on high energy density physics has gained new impetus. However, in recent years the magnetized Kelvin-Helmholtz instability was rarely studied experimentally. In this work, we propose a new experimental scheme, in which a long-pulsed nanosecond laser beam is generated by a domestic starlight III laser facility. The whole target consists of two parts: the upper part that is the CH modulation layer with lower density, and the lower part that is the Al modulation layer with higher density. The laser beam is injected from one side of the CH modulation layer and generates a CH plasma outflow at the back of the target. During the transmission of the CH plasma outflow, the Al modulation layer is radiated and ionized, which makes the Al modulation layer generate an Al plasma outflow. The interaction between the Al plasma outflow and the CH plasma outflow produces a velocity shear layer, and then Kelvin-Helmholtz instability will gradually form near the Al modulation layer. In this paper, the open-source FLASH simulation program is used to conduct a two-dimensional numerical simulation of the Kelvin-Helmholtz instability generated by the laser-driven modulation target. We use the FLASH code, which is an adaptive mesh refinement program, developed by the Flash Center at the University of Chicago, and is well-known in astrophysics and space geophysics, to create a reference to the magnetohydrodynamic solution in our experiment. At present, this code introduces a complete high-energy-density physical modeling module, which is especially suitable for simulating intense laser ablation experiments. The equation of state and opacity tables of targets are based on the IONMIX4 database. The evolution of Kelvin-Helmholtz vortices, separately, in the Biermann self-generated magnetic field, the external magnetic field, and no magnetic field are investigated and compared with each other. It is found that the self-generated magnetic field hardly changes the morphology of the Kelvin-Helmholtz vortex during the evolution of Kelvin-Helmholtz instability. The external magnetic field parallel to the fluid direction can stabilize the shear flow. The magnetic field mainly stabilizes the long wave disturbance. The study results in this work can provide theoretical guidance for the next step of the Kelvin-Helmholtz experiment under a strong magnetic environment in the high energy density laser facility.