In this paper, the temperature-dependent current-voltage (
T-
I-
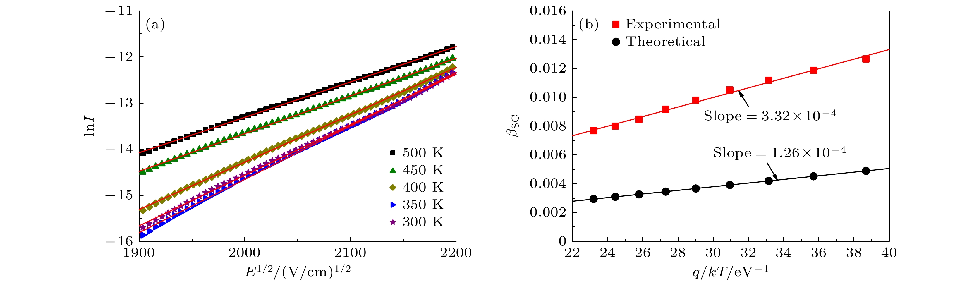
V) characteristics of lattice-matched InAlN/GaN heterostructure Schottky contact in a reverse direction are measured, and the voltage dependence and temperature dependence of the leakage current are studied. The obtained results are as follows.1) The reverse current is a strong function of voltage and temperature, and the saturation current is much larger than the theoretical value, which cannot be explained by the classical thermionic emission (TE) model. 2) In the low-bias region, the
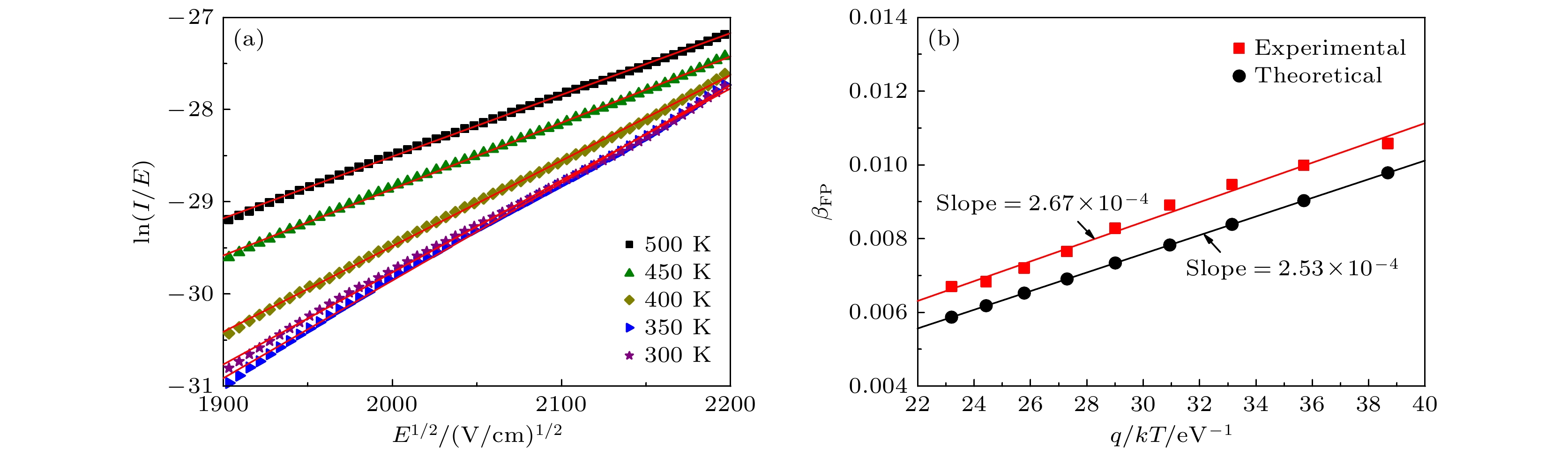
$ \ln(I/E)\text{-}E^{1/2} $
data points obey a good linear relationship, whose current slope and corresponding activation energy are close to the values predicted by the Frenkel-Poole (FP) model, indicating the dominant role of the FP emission mechanism. 3) In the high-bias region, the
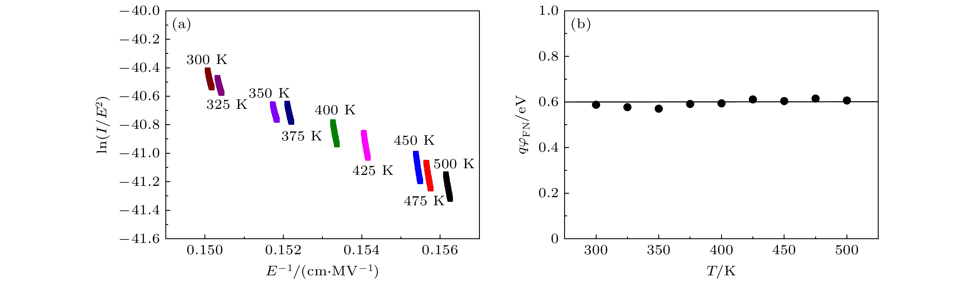
$ \ln(I/E^2)\text{-}E^{-1} $
data points also follow a linear dependence, but the current slope is a weak function of temperature, indicating that the Fowler-Nordheim tunneling mechanism should be mainly responsible for the leakage current. 4) The current barrier height is extracted to be about 0.60 eV, which is much lower than the value of 2.91 eV obtained from the TE model, confirming the primary leakage path of the conductive dislocations, where the localized barrier is significantly reduced due to the ionization of shallow donor-like traps.