综述
编辑推荐
2021, 70 (7): 076802.
doi:10.7498/aps.70.20201677
摘要 +
热电材料可以实现热能和电能的相互转换, 它是一种环境友好的功能性材料. 当前, 热电材料的热电转换效率低, 这严重制约了热电器件的大规模应用, 因此寻找更加优异热电性能的新材料或提高传统热电材料的热电性能成为热电研究的主题. 与块状材料相比, 薄膜具有二维的宏观性质和一维的纳米结构特性, 方便研究材料的物理机制与性能的关系, 还适用于制备可穿戴电子设备. 本文总结了Cu2Se薄膜5种不同的制备方法, 包括电化学沉积、热蒸发、旋涂、溅射以及脉冲激光沉积. 另外, 结合典型事例, 总结了薄膜的表征手段, 并从Cu2Se的电导率、塞贝克系数和热导率等参数出发, 讨论了各个参数对热电性能的影响机制. 最后介绍了Cu2Se薄膜热电的热门应用方向.
2021, 70 (7): 078701.
doi:10.7498/aps.70.20201632
摘要 +
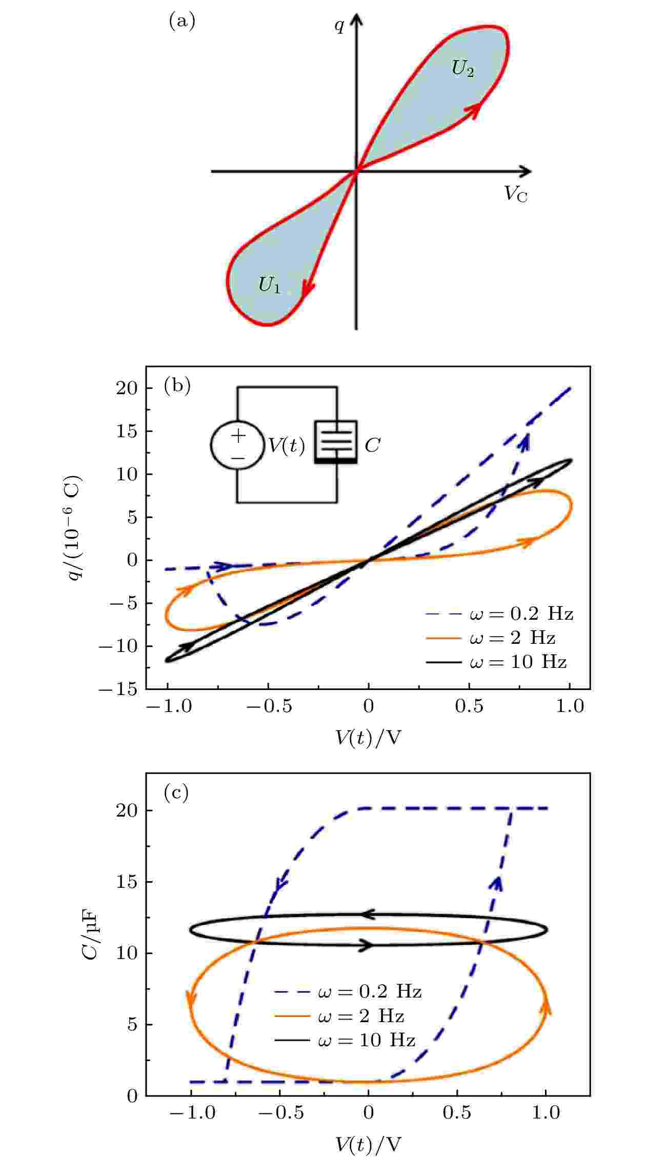
人工智能的快速发展需要人工智能专用硬件的快速发展, 受人脑存算一体、并行处理启发而构建的包含突触与神经元的神经形态计算架构, 可以有效地降低人工智能中计算工作的能耗. 记忆元件在神经形态计算的硬件实现中展现出巨大的应用价值; 相比传统器件, 用忆阻器构建突触、神经元能极大地降低计算能耗, 然而在基于忆阻器构建的神经网络中, 更新、读取等操作存在由忆阻电压电流造成的系统性能量损失. 忆容器作为忆阻器衍生器件, 被认为是实现低耗能神经网络的潜在器件, 引起国内外研究者关注. 本文综述了实物/仿真忆容器件及其在神经形态计算中的最新进展, 主要包括目: 前实物/仿真忆容器原理与特性, 代表性的忆容突触、神经元及神经形态计算架构, 并通过总结近年来忆容器研究所取得的成果, 对当前该领域面临的挑战及未来忆容神经网络发展的重点进行总结与展望.
总论
2021, 70 (7): 070201.
doi:10.7498/aps.70.20201682
摘要 +
随着电磁器件的集成化, 器件搭载的模块、实现的功能愈发多样. 各模块间的耦合难以忽略, 设计难度陡然增加, 传统设计方法逐渐力不从心, 迫切需要寻找一种新的电磁综合设计方法. 本文利用时间反演电磁波的时空同步聚焦特性, 探索了将时间反演技术应用于器件设计的可能性. 首先, 基于通用的器件逆设计流程, 利用时间反演技术、并矢格林函数及电磁学的基本原理, 提出了将器件端口场分布转换为内部场分布的方法, 并证明由端口期望场的时间反演场在空间某一位置获得的连续等效源的共轭分布可在端口处产生与期望场接近的场分布. 且在单点频逆设计过程中, 只需知道端口电场或磁场的切向分量即可完成端口场与内部场的转换. 同时, 借助格林函数的互易性对本文所提理论做适当变换后, 进行数值仿真验证, 分析讨论了不同初始信息条件下该方法的适用性. 仿真结果与理论相符, 证明了理论的正确性, 为将时间反演技术应用于电磁器件的逆设计提供了可能.
编辑推荐
2021, 70 (7): 070301.
doi:10.7498/aps.70.20201754
摘要 +
在孤立的两体复合系统中, 讨论其中一体的变化如何影响另一体的状态, 有助于了解单粒子混合态与纯态的关系. 本文讨论5个孤立的一维类氢原子模型系统, 原子核的质量互不相同. 这5个两体(电子与原子核)复合系统的相对运动状态都处于纠缠态, 其中电子状态都用约化密度矩阵表示的混合态描述. 在原子核质量趋近无穷大的一维氢原子模型中, 电子处于纯态. 为比较这里的纯态和混合态, 在位置表象中计算了这些混合态的纯度、它们分别与纯态的保真度、以及所有这些态的相干性. 研究表明, 原子核的质量越大, 纯度和保真度越接近1, 混合态的相干性与纯态的也越接近. 这样的纯态及其相干性可以是这种混合态及其相干性的近似, 并与原子核及库仑相互作用有关.
2021, 70 (7): 070302.
doi:10.7498/aps.70.20201394
摘要 +
原子系综中的Duan-Lukin-Cirac-Zoller (DLCZ)过程是产生光与原子(量子界面)量子关联和纠缠的重要手段. 当一束写光与原子发生作用时, 将会产生斯托克斯(Stokes)光子的自发拉曼散射, 并同时产生一个自旋波(spin-wave)存储在原子系综中, 上述过程即为DLCZ量子记忆产生过程. 这一过程被广泛地研究. 本文将87Rb原子系综放入驻波腔, 并使Stokes光子与光学腔共振, 我们观察到有腔且锁定的情况下Stokes光子产生概率比无腔时增大了8.7倍. 在此条件下研究了Stokes光子产生概率和写光功率的关系, Stokes光子产生概率随写光功率线性增大.
2021, 70 (7): 070701.
doi:10.7498/aps.70.20201451
摘要 +
本文提出一种基于双圆光栅径向剪切干涉仪的三维位移测量方法, 其测量原理是径向剪切干涉仪所形成的莫尔条纹不仅由二维平面内位移决定, 轴向位移会在+1和–1级莫尔条纹之间产生一个特定的相移. 首先, 基于标量衍射理论对双圆光栅径向剪切干涉仪的+1和–1级莫尔条纹强度分布进行推导, 建立了三维位移量与莫尔条纹强度分布的精确解析关系; 其次, 在频谱分析的基础上, 利用半圆环滤波器进行空间滤波, 实现+1和–1级莫尔条纹的同时成像; 然后, 提出了从莫尔条纹图中定量提取三维位移的算法, 并通过数值模拟进行验证; 最后, 实验结果验证了该方法测量平面内位移的最大绝对误差为4.8 × 10–3mm, 平均误差为2.0 × 10–4mm, 轴向位移的最大绝对误差为0.25 mm, 平均误差为8.6 × 10–3mm. 该方法具有装置简单、测量精度高、非接触、瞬时测量等特点, 可实现三维位移的同时测量.
编辑推荐
2021, 70 (7): 070702.
doi:10.7498/aps.70.20201277
摘要 +
在长距离高精度光纤时间同步系统中, 为了减少后向反射光与光纤色散对传输精度的影响, 本文在双波长光纤时间同步传输方法之上, 提出了一种具有色散误差修正功能的双波长光纤时间同步传输方法. 以自行研制的工程样机在长度约为800 km的实验室光纤链路上和1085 km的实地光纤链路上进行了实验测试, 也是国内首次实现千公里级实地光纤时间同步传输. 在实验室光纤链路上, 测得传输链路色散补偿后的色散时延误差为10 ps, 时间同步标准差为5.7 ps, 稳定度为1.12 ps@105s, 不确定度为18.4 ps. 在实地光纤链路上, 测得传输链路色散补偿后的色散时延误差为60 ps, 时间同步标准差为18 ps, 稳定度为5.4 ps@4 × 104s, 不确定度为63.5 ps.
基本粒子物理学与场
2021, 70 (7): 071401.
doi:10.7498/aps.70.20201744
摘要 +
基于三维旋量Gross-Pitaevskii (GP)方程研究在含时周期性外磁场作用下玻色-爱因斯坦凝聚体的动力学行为. 结果显示, 在含时周期外磁场的作用下, 铁磁态自旋为1的玻色-爱因斯坦凝聚体将发生拓扑形变. 当磁场的两个零点进入凝聚体后, 自旋向上态的密度布居图在z轴上分别形成向上和向下的凸起. 随着磁场的两个零点在凝聚体内逐渐重合, 向上和向下的凸起被拉长, 最终自旋向上态在z轴上呈线状分布, 这与理论分析预测得到的孤立狄拉克弦相对应. 最后, 通过计算凝聚体的超流涡度给出磁单极的表征图. 结果显示, 凝聚体在磁场的两个零点处形成正、负磁单极对, 分别对应着自旋向上态在z轴上向上和向下的凸起. 随着磁场的两个零点重合, 正、负磁单极对中的两条狄拉克弦逐渐靠近, 之后大约经5 ms, 它们完全相连, 最终形成孤立的狄拉克弦.
核物理学
封面文章
2021, 70 (7): 072501.
doi:10.7498/aps.70.20201503
摘要 +
高能重带电粒子能直接穿透靶原子核外电子层, 与原子核发生直接碰撞, 发生散裂反应, 产生一系列具有放射性的剩余产物核. 重带电粒子诱发靶材放射性剩余核与辐射防护和人员安全有着密切联系, 当前, 大部分剩余核产额主要依靠蒙特卡罗粒子输运程序进行模拟计算, 其准确程度亟需通过实验测量进行准确评估. 本文利用能量为80.5 MeV/u的12C6+粒子对薄铜靶开展了辐照实验与伽玛射线测量, 结合伽玛谱学分析方法, 得出了辐照产生的18种放射性剩余产物的初始活度和产生截面值, 并与PHITS模拟结果进行对比. 结果表明, PHITS模拟程序对放射性剩余核种类的估计具有较高可靠性, 在其绝对产额方面, 与实验测量仍具有较大偏差.
原子和分子物理学
2021, 70 (7): 073101.
doi:10.7498/aps.70.20201789
摘要 +
构造了均匀、梯度、随机3种不同周期分布的硅/锗(Si/Ge)超晶格结构. 采用非平衡分子动力学(NEMD)方法模拟了硅/锗超晶格在3种不同周期分布下的热导率, 并研究了样本总长度和温度对热导率的影响. 模拟结果表明: 梯度和随机周期Si/Ge超晶格的热导率明显低于均匀周期结构超晶格; 在不同的周期结构下, 声子分别以波动和粒子性质输运为主; 均匀周期超晶格热导率具有显著的尺寸效应和温度效应, 而梯度、随机周期Si/Ge超晶格的热导率对样本总长度和温度的依赖性较小.
2021, 70 (7): 073102.
doi:10.7498/aps.70.20201483
摘要 +
在天体物理和惯性约束聚变研究中涉及到的温稠密物质通常包含多种元素的混合, 并且每种元素还被电离成多种离子价态, 不同价态离子结构及其丰度将直接影响温稠密物质的诊断及其物理性质. 同时, 从电子结构计算出发来研究宏观物理性质时, 还需要考虑温度、密度效应对离子结构的影响. 本文从不同价态离子的电子结构计算出发, 采用考虑了离子间相互作用的Saha方程获得了稠密环境下的离子丰度, 并使用超网链(hypernetted-chain)近似对铝、金以及碳-氢混合物的径向分布函数进行了计算, 结合离子周围电子的密度分布, 最后获得X-射线汤姆逊散射的弹性散射谱. 在X-射线散射谱计算中, 计算了温稠密物质中同时存在不同离子价态时的电子结构和径向分布函数, 发现在相同的等离子体环境下不同价态离子的径向分布函数和电子结构差别较大. 这将对依赖于微观统计过程的物理性质, 比如散射光谱, 将产生较大的影响.
2021, 70 (7): 073201.
doi:10.7498/aps.70.20201672
摘要 +
自研傅里叶变换红外光谱仪在龙凤山大气本底站测量CO2, CH4等温室气体. 自研仪器的测量结果与符合世界气象组织标准的本底站仪器的测量结果进行对比, 结果表明: 自研仪器与本底站仪器测量的CO2浓度值相关系数为0.9576, 均方根误差为18.6015. 自研仪器使用标准温度、压力下的校准光谱反演浓度, 但测量气体的温度随着气温变化, 导致自研仪器反演浓度有误差. 基于以上分析, 提取高分辨率透射分子吸收数据库参数计算吸收截面并结合仪器线形计算不同温度、压力下的校准光谱, 根据不同温度、压力下的校准光谱来校准反演浓度. 校准后, 自研与本底站仪器测量的CO2浓度值相关系数为0.9637, 均方根误差为6.7800. 自研与本底站仪器测量的CO2浓度值相关系数提高, 绝对误差减小, 说明校准算法提高了测量结果的精确度.
2021, 70 (7): 073701.
doi:10.7498/aps.70.20201721
摘要 +
在87Sr光晶格钟实验系统中, 通过将自由运转的698 nm激光频率锁定在由超低膨胀系数的玻璃材料构成的超稳光学参考腔上, 从而获得短期频率稳定性较好的超稳窄线宽激光. 超稳光学参考腔的腔长稳定性决定了最终激光频率的稳定度. 为了降低腔长对温度的敏感性, 使激光频率具有更好的稳定度和更小的频率漂移, 利用锶原子光晶格钟的钟跃迁谱线, 测量了698 nm超稳窄线宽激光系统中超稳光学参考腔的零温漂点. 通过对钟跃迁谱线中心频率随温度的变化曲线进行二阶多项式拟合, 得到698 nm超稳窄线宽激光系统的零温漂点为30.63 ℃. 利用锶原子光晶格钟的闭环锁定, 测得零温漂点处698 nm超稳窄线宽激光系统的线性频率漂移率为0.15 Hz/s, 频率不稳定度为1.6 × 10–15@3.744 s.
电磁学、光学、声学、传热学、经典力学和流体动力学
2021, 70 (7): 074201.
doi:10.7498/aps.70.20201495
摘要 +
利用相变材料嵌入超表面组成复合结构实现太赫兹移相器, 该器件自上而下依次为二氧化钒嵌入金属层、液晶、二氧化钒嵌入金属层、二氧化硅层. 通过二氧化钒的相变特性和液晶的双折率特性同时作用实现对器件相位调控. 随着外加温度变化二氧化钒电导率发生改变, 器件的相位随之产生移动, 同样的对液晶层施加不同的电压导致液晶折射率发生变化, 器件相位也会有影响. 经过这两种介质共同作用, 最终实现对太赫兹波相位有效调控. 仿真结果验证了该相移器在频率f= 0.736 THz时, 太赫兹移相器的最大相移量达到355.37°, 在0.731—0.752 THz (带宽为22 GHz)频率范围相移量超过350°. 这种基于相变材料与超表面复合结构为灵活调控太赫兹波提供了一种新思路, 将在太赫兹成像、通信等领域有着广泛的应用前景.
2021, 70 (7): 074202.
doi:10.7498/aps.70.20201648
摘要 +
基于砷化镓/磷化铟雪崩光电二极管(InGaAs/InP APD)的半导体单光子探测器因工作在通信波段, 且具有体积小、成本低、操作方便等优势, 在实用化量子通信技术中发挥了重要作用. 为尽可能避免暗计数和后脉冲对单光子探测的影响, InGaAs/InP单光子探测器广泛采用门控技术来快速触发和淬灭雪崩效应, 有效门宽通常在纳秒量级. 本文研究揭示了门控下单光子探测器可测量的最大符合时间宽度受限于门控脉冲的宽度, 理论分析与实验结果良好拟合. 该研究表明, 门控下InGaAs/InP单光子探测器用于双光子符合测量具有显著的时域滤波特性, 限制了其在基于双光子时间关联测量的量子信息技术中的应用.
2021, 70 (7): 074203.
doi:10.7498/aps.70.20201564
摘要 +
由于受增益介质上能级寿命的影响, 掺Er光纤光梳的梳齿线宽一般在百kHz量级. 为了实现光梳梳齿线宽的压窄, 一种有效的方法是在激光器中增加快速响应的电光晶体, 使光纤光梳的伺服锁定带宽提高到百kHz以上, 为光纤光梳的快速伺服锁定提供反馈机构. 这其中, 高品质的飞秒激光器是核心. 基于此, 本文主要研究了掺Er光纤飞秒激光器中电光晶体对激光器参数的影响. 通过计算电光晶体的折射率、色散、相位延迟等参数, 分析了电光晶体对激光器参数的影响, 并在实验上获得了电光晶体电压对激光器重复频率和载波包络偏移频率的影响, 进而通过电光晶体实现了对光纤光梳重复频率和载波包络偏移频率的锁定. 通过锁定光纤飞秒激光器与窄线宽激光器的拍频信号, 验证了电光晶体的引入使激光器的伺服锁定带宽提高到了236 kHz, 为窄线宽飞秒光学频率梳的建立提供了技术基础.
2021, 70 (7): 074204.
doi:10.7498/aps.70.20200607
摘要 +
激光谐振腔内相位各向异性会引起频率分裂, 两分裂模的频差大小由表现出的相位延迟所决定. 对于腔内相位延迟较小的He-Ne激光器, 两分裂模很接近, 处于烧孔重叠区, 存在模式竞争而不能同时振荡, 形成隐频率分裂. 同时, 使得激光器两正交偏振方向上的相邻级纵模产生固定的变动量, 其大小等于隐频率分裂量的2倍. 如果沿激光偏振方向施加横向磁场, Ne原子谱线发生横向Zeeman分裂, 增益原子分成两群, 分别为平行于磁场和垂直于磁场方向偏振的光提供增益, 大大减弱模竞争, 使得激光器的两分裂模可同时振荡并测得频差. 在谐振腔内放入倾斜的石英晶体片或半波片, 由两种方法分别测量频率分裂量并进行比较. 实验表明两种方法测量的结果均与理论计算相符, 平均相对偏差不超过1%. 据此可以准确得到Zeeman双频激光器的频差大小, 并为半波片测量提供了新方法.
2021, 70 (7): 074205.
doi:10.7498/aps.70.20201661
摘要 +
当高功率激光通过Kerr非线性介质传输时, Kerr效应会严重影响激光的传输特性. 实际应用中常遇到像散光束. 迄今为止, 像散光束传输特性的研究大都局限于在线性介质中的传输, 而在非线性介质中传输的研究较少, 且还未涉及像散激光束通过含光学系统的Kerr非线性介质传输变换的研究. 本文主要研究Kerr效应对聚焦光束像散特性和焦移特性的影响, 以及聚焦像散高斯光束的自聚焦焦距和光束焦点调控. 在光束扩展情况下, 推导出了聚焦像散高斯光束在Kerr非线性介质中传输的束宽、束腰位置和焦移的解析公式, 研究表明: 在自聚焦介质中, 随着自聚焦作用增强(如光束功率增强), 光束像散越强, 但焦移越小; 在自散焦介质中, 随着自散焦作用增强(如光束功率增强), 光束像散越弱, 但焦移越大. 另一方面, 在光束自聚焦情况下, 推导出了自聚焦焦距的解析公式, 研究表明利用光束像散可以调控光束焦点个数.
编辑推荐
2021, 70 (7): 074206.
doi:10.7498/aps.70.20201693
摘要 +
基于外部光注入的光泵浦自旋垂直腔表面发射激光器(vertical cavity surface-emitting laser, VCSEL)的两个混沌偏振分量, 提出了对两个复杂形状目标中的多区域精确测距方案. 这里, 两个混沌偏振探测波具有飞秒量级快速动态并且被双极性sinc波形调制, 使它们具有时空不相关特性. 利用这些特性, 通过计算多束延时反馈混沌偏振探测波形和与之相对应的参考波形的相关性, 实现了对两个复杂形状目标多区域位置矢量精确测量. 研究结果表明, 对多区域小目标的测距具有非常低的相对误差(低于0.94%). 当光电探测器的带宽足够大时, 其测距的分辨率达到0.4 mm, 并具有很强的抗噪声能力. 本文的研究结果在复杂形状目标的精确测距方面具有潜在应用.
2021, 70 (7): 074207.
doi:10.7498/aps.70.20201477
摘要 +
基于表面等离子体共振的微结构光纤传感器具有高灵敏、免标记和实时监控等优点. 如今, 由于此类传感器广泛应用于食品安全控制、环境检测、生物分子分析物检测等诸多领域而受到大量研究. 然而, 目前所报道的绝大多数此类传感器只能应用于可见光或近中红外传感. 因此, 对可应用于中红外传感的表面等离子体共振微结构光纤传感器的研究是一项极具挑战性的工作. 基于此, 本文设计了一种可以工作在近红外和中红外区域的新型高灵敏表面等离子体共振微结构光纤传感器. 传感器采用双芯单样品通道结构, 该结构不仅可以消除相邻样品通道间的相互干扰和提高传感器的信噪比, 还可以在超宽带波长范围内实现高灵敏检测. 采用全矢量有限元法对其传感特性进行了系统的研究, 研究结果表明: 当待测样品折射率分布在1.423—1.513范围内时, 传感器不仅可以在1.548—2.796 μm的超宽带波长范围内进行工作, 而且其平均灵敏度高达13964 nm/RIU. 此外, 传感器的最高波长灵敏度和折射率分辨率分别为17900 nm/RIU, 5.59 × 10–7RIU.
2021, 70 (7): 074208.
doi:10.7498/aps.70.20201524
摘要 +
大口径氘化磷酸二氢钾(DKDP)晶体抗激光损伤性能偏低严重地制约着大型高功率激光装置输出水平. 本研究利用离线亚纳秒激光预处理技术有效地提升了大口径DKDP晶体抗激光损伤性能. 实际使用情况表明, 采用离线亚纳秒激光预处理后, DKDP晶体在9 J/cm2激光通量辐照下的表面平均损伤密度得到大幅下降, 由未处理前的5.02 pp/cm2(1pp表示1个百分点)降至0.55 pp/cm2, 降幅为一个数量级. 同时, 激光预处理对晶体损伤尺寸具有一定的抑制作用, 预处理后晶体损伤点尺寸分布曲线向尺寸减小的方向平移, 尺寸分布峰值由预处理前的25 μm降至预处理后的18—20 μm.
2021, 70 (7): 074401.
doi:10.7498/aps.70.20201628
摘要 +
随着三维集成微系统集成度和功率密度的提高, 同时考察电设计与热管理的多场耦合分析势在必行. 本文面向三维集成微处理器系统, 通过改进的对偶单元法(dual cell method, DCM)实现了系统的快速电热分析. 该方法通过引入泄漏功率、材料系数随温度的耦合, 相比于传统有限元法在更新以及组装本构矩阵上有更大的优势. 仿真验证表明, 本文所采用的算法相比传统有限元法仿真速度提升了约30%. 在考虑了材料系数以及泄露功率热耦合因素后, 系统热点温度相对于考虑耦合前上升了20.8 K. 最后采用本文所提出算法对三维集成微处理器系统进行布局研究, 比较了硅通孔阵列常规布局和集中布局在处理器核心下方两种布局方式对上下层芯片热点温度的影响, 研究了功率不均匀分配对两种布局的影响.
2021, 70 (7): 074402.
doi:10.7498/aps.70.20201354
摘要 +
小液滴撞击壁面现象在喷雾冷却等领域都有广泛应用. 为研究小液滴(微米)撞击热壁面(非沸腾区)传热过程, 建立了二维液滴撞壁瞬态模型, 并采用相场方法对小液滴换热过程中对流热通量和导热热通量的大小进行了对比. 研究结果表明: 液滴撞击壁面初期形成“冷斑”, 有利于小液滴与壁面的传热; 小液滴撞击壁面过程中热通量峰值存在于三相接触点附近, 数量级在105—106W/m2; 小液滴撞击壁面过程中受壁面浸润性和液滴尺寸对传导热通量的影响较为显著, 而速度和液滴尺寸对对流热通量的影响较为显著; 大多数情况下, 小液滴撞击壁面传导热通量数量级在103—105W/m2, 对流热通量数量级在104—106W/m2, 对流热通量大于传导热通量, 在整个换热过程中占据主导地位.
2021, 70 (7): 074701.
doi:10.7498/aps.70.20201171
摘要 +
液滴不对称分裂是获得不同尺寸微液滴的优选方法, 研究液滴不对称分裂行为对于生物医学、能源化工及食品工程等领域具有重要意义. 本文研制T型微通道芯片并设计搭建T型微通道液滴半阻塞不对称分裂行为可视化实验平台, 研究流量调控对微液滴分裂比的影响规律, 并建立理论模型对分裂比进行预测, 得到以下结论: 液滴不对称挤压分裂过程分为挤压前期、挤压后期和快速夹断阶段, 在挤压前期, 液滴颈部宽度随时间呈线性变化, 在挤压后期, 颈部宽度随时间呈指数关系, 而在快速夹断阶段, 液滴颈部向心收缩的界面附加压力占主导, 液滴颈部宽度剧烈收缩, 呈断崖式减小; 调控分支通道流量可对液滴不对称分裂比进行调控, 且调控作用受毛细数影响较大; 基于液液流动压降模型的液滴分裂比预测模型能够有效预测液滴分裂比.
气体、等离子体和放电物理
编辑推荐
2021, 70 (7): 075201.
doi:10.7498/aps.70.20200944
摘要 +
本文模拟研究了氙气中X射线加热产生辐射激波的发光特性. 辐射激波采用Zinn模型计算, 并在模型中输入氙气的辐射不透明度和状态方程参数. 研究发现, 辐射激波伴随着丰富的光学演化过程, 激波对外辐射强度表现出两个明显的亮度峰值和一个亮度极小值, 辐射光谱也经常偏离黑体辐射光谱. 对氙气不同位置光学特性的分析可知, 激波和内部高温区的辐射吸收系数的动态演化导致了辐射激波的发光位置和辐射强度的变化.
2021, 70 (7): 075202.
doi:10.7498/aps.70.20201450
摘要 +
为利用太赫兹波解决飞行器再入过程遇到的“黑障”问题, 以散射矩阵方法为基础, 分别以非均匀磁化等离子体的磁化方向、电子密度、外加磁场强度和碰撞频率为变量, 研究了垂直入射情形下它们对太赫兹波传输行为的影响. 结果表明: 这些参数对太赫兹波传输性能影响明显, 例如按某一方向改变磁化角度对左极化和右极化太赫兹波的传输功率有相反的影响; 降低磁化强度能一定程度地避开等离子体对右极化波的吸收; 而降低碰撞频率能缩小等离子体对右极化波的吸收频带. 通过调整这些参数, 有望在一定程度上缓解黑障现象.
2021, 70 (7): 075203.
doi:10.7498/aps.70.20201368
摘要 +
环形磁场金属等离子体源作为一种全新的等离子体源结构, 可用于产生高度离化、无大颗粒、高密度的离子束流, 但传统流道结构不能保证其高效、均匀散热, 大功率工作时可能引起密封胶圈的烧蚀失效, 需对其冷却流场进行优化设计. 利用Solidworks Flow Simulation软件对等离子体源冷却流道进行模拟, 分析出入水孔分布角度、孔数、孔径以及入水孔高度对冷却效果的影响规律, 并对流道结构参数进行优化. 结果表明, 增大水孔的周向分布范围, 有利于提高散热的均匀性; 入水孔设置在结构上层有利于减少冷却水的温度分层现象, 使铜套和密封胶圈都处于较好的冷却状态; 适当减小孔径有利于增大冷却水射流速度, 增大湍流程度强化传热, 提高换热效率. 优化后的流场结构可以提高冷却水的利用率, 在相同流量条件下获得更好的冷却效果, 改善等离子体源的放电稳定性, 为环形磁场金属等离子体源的冷却结构设计提供理论依据.
2021, 70 (7): 075204.
doi:10.7498/aps.70.20201667
摘要 +
电子回旋共振离子推力器(electron cyclotron resonance ion thruster, ECRIT)离子源内等离子体分布会影响束流引出, 而磁场结构决定的ECR区与天线的相对位置共同影响了等离子体分布. 在鞘层作用下, 等离子体中的离子或电子被加速对壁面产生溅射, 形成壁面离子或电子电流, 造成壁面磨损和等离子体损失, 因此研究壁面电流与等离子体特征十分重要. 为此本文建立2 cm ECRIT的粒子PIC/MCC (particle-in-cell with Monte Carlo collision)仿真模型, 数值模拟研究磁场结构对离子源内等离子体与壁面电流特性的影响. 计算表明, 当ECR区位于天线上游时, 等离子体集中在天线上游和内外磁环间, 栅极前离子密度最低, 故离子源引出束流、磁环端面电流和天线壁面电流较低. ECR区位于天线下游时, 天线和栅极上游附近的等离子体密度较高, 故离子源引出束流、天线壁面电流和磁环端面电流较高. 腔体壁面等离子体分布与电流受磁场影响最小.
编辑推荐
2021, 70 (7): 075205.
doi:10.7498/aps.70.20201716
摘要 +
微束射频容性放电在纳米晶体颗粒等离子体增强气相合成有着潜在的应用前景. 本论文利用ICCD、单反相机、高压探头和电流探头等对微束射频容性放电特性进行了实验诊断研究. 结果发现: 在纯氩气微束射频放电中, 随着气压的增加, 放电从辉光放电模式向多通道丝状放电模式转换; 在99%氩/1%氢混合气体微束射频放电中, 丝状放电模式消失, 而是从低气压全空间分布的辉光放电模式, 到中等气压向轴心收缩的辉光放电模式, 最后到高气压的“环状”辉光放电模式; 而在纯氢气微束射频放电中, 随着气压的增加, 放电模式直接从全空间分布的辉光放电模式向“环状”辉光放电模式转换. 最后通过射频电场中电子加热、趋肤效应和气体热传导的共同作用解释了产生不同放电模式的物理机制.
2021, 70 (7): 075206.
doi:10.7498/aps.70.20201700
摘要 +
大气压非平衡等离子体由于其独特的非平衡特性, 可为甲烷和二氧化碳稳定温室气体分子活化和重整提供非热平衡和活化环境. 本文采用了零维等离子体化学反应动力学模型, 考虑了详细的CH4/CO2等离子体化学反应集, 重点研究了反应气体CH4/CO2摩尔分数(5%—95%)对大气压非平衡等离子体甲烷干法重整制合成气和重要含氧化合物的影响. 首先, 给出了进料气体不同体积比时电子密度和温度随时间的演化规律, 结果表明初始甲烷摩尔分数的提高有利于获得较高的电子密度和电子温度. 随后, 讨论了主要自由基和离子数密度在不同的甲烷摩尔分数下随着时间的变化规律, 并给出了反应气体的转化率、合成气体和重要含氧化合物的选择性. 此外, 还明确了合成气和含氧化合物主要生成和损耗的化学反应路径, 发现甲基和羟基是合成含氧化合物的关键中间体. 最后, 归纳总结给出了主要等离子体粒子之间的总体等离子体化学反应流程图.
2021, 70 (7): 075207.
doi:10.7498/aps.70.20201491
摘要 +
低温冷冻靶是实现惯性约束聚变(inertial confinement fusion, ICF)的关键部件之一. 低温靶靶丸内杂质气体的去除程度和效率对低温靶燃料冰层的在线制备具有重要意义. 依据低温靶物理对冰层杂质含量的设计要求, 在计算靶丸内杂质气体最大允许分压的基础上, 建立了靶丸内气体在微米级充气管内流动的抽空流洗模型. 模拟研究了不同微管尺度及结构、温度对靶丸内杂质气体抽空流洗效率的影响规律, 获得了靶丸充气微管的最佳管型设计方案. 基于最佳管型设计, 优化得到了具有最高抽空流洗效率的抽空时间与流洗次数组合策略.
凝聚物质:结构、力学和热学性质
2021, 70 (7): 076101.
doi:10.7498/aps.70.20201409
摘要 +
为了深入认识α-Fe中氦泡冲出位错环的微观机制, 有必要研究α-Fe中氦泡冲出位错环时的极限压强特性. 本文建立金属-氦泡的立方体型代表性体积单元模型, 针对8种不同初始半径的球形氦泡, 以初始氦空位比为变量, 开展分子动力学模拟, 得到了各模型中位错环开始形成时的氦泡极限压强和临界氦空位比. 研究结果表明: 对于无量纲半径介于2—10的氦泡, 冲出位错环时的氦泡极限压强和临界氦空位比均随着氦泡初始半径的增大而非线性减小; 基体中氦泡冲出位错环时的临界氦空位比具有明显的尺寸效应; 初始时刻(0 ps), 在经过立方体型模型中心的横截面上, 氦泡周围Fe原子阵列的剪应力集中和最大剪应力出现在对角线与氦泡边界交点(即45°)处, 并且关于横截面上平行于边的两条对折线对称分布, 剪应力集中区的范围和最大剪应力均随着初始氦空位比的增大而增大; 位错环冲出方向对应最大剪应力方向. 本文的研究加深了对金属中氦泡物理特性的认识, 为后续分析氦泡对材料宏观物理和力学性质的影响奠定了有益的基础.
2021, 70 (7): 076801.
doi:10.7498/aps.70.20201771
摘要 +
超疏水表面液滴的振动特性与接触线的移动、液滴体积、基底振幅等因素密切相关. 本文在基底振幅较小且恒定的条件下, 研究了超疏水表面液滴的共振振幅、模式区间、共振频率等振动特性及其与液滴体积(20—500 μL)的关系. 此外, 将基于一般性疏水表面建立的Noblin共振频率计算模型应用于超疏水表面, 并提出“虚驻点”的概念, 借此对模型进行了误差分析和修正. 研究表明: 1)共振时, 液滴高度变化率即比振幅随体积增大而增大, 随阶数增大而减小; 2)各模式区间的起止频率首尾相接, 其范围随体积增大而减小; 3)液滴体积越大, 共振频率越小, 随着阶数增大, 共振频率f与体积V的关系趋于f-V–0.4, 不同于一般性疏水表面上的f-V–0.5; 4)直接应用Noblin模型计算共振频率会产生较大误差, 主要原因在于液滴表面波波段数量统计存在较大偏差, 而修正后的模型可以准确计算超疏水表面大体积液滴的共振频率.
2021, 70 (7): 076803.
doi:10.7498/aps.70.20201502
摘要 +
高分辨电镜图像中原子峰位置的检测具有十分重要的现实意义, 通过精确定量化原子峰位置可以分析物质在微观尺度上的结构形变、电极化矢量分布等重要信息. 近年来深度学习技术在图像目标检测领域取得了巨大突破, 这一技术可用在高分辨电镜图像处理上,因为原子位置的检测可以看作是一个目标检测问题. 本文利用先进的机器学习方法, 通过制作高质量原子图像样本集, 使用YOLOv3目标识别框架对原子图像进行自动检测, 达到预期效果, 实现了深度学习技术在高分辨电镜图像处理领域的应用. 该方法的运用有望突破自动处理动态、大量电镜图片的瓶颈问题.
凝聚物质:电子结构、电学、磁学和光学性质
2021, 70 (7): 077201.
doi:10.7498/aps.70.20201355
摘要 +
测量了晶格匹配InAlN/GaN异质结肖特基接触的反向变温电流-电压特性曲线, 研究了反向漏电流的偏压与温度依赖关系. 结果表明: 1)电流是电压和温度的强函数, 饱和电流远大于理论值, 无法采用经典热发射模型解释; 2)在低偏压区, 数据满足
$\ln(I/E)\text{-}E^{1/2}$
线性依赖关系, 电流斜率和激活能与Frenkel-Poole模型的理论值接近, 表明电流应该为FP机制占主导; 3)在高偏压区, 数据满足
$ \ln(I/E^2)\text{-}E^{-1} $
线性依赖关系, 电流斜率不随温度改变, 表明Fowler-Nordheim隧穿机制占主导; 4)反向电流势垒高度约为0.60 eV, 远低于热发射势垒高度2.91 eV, 表明可导位错应是反向漏电流的主要输运通道, 局域势垒由于潜能级施主态电离而被极大降低.
2021, 70 (7): 077202.
doi:10.7498/aps.70.20201444
摘要 +
对于RGB有机电致发光器件(OLEDs), 蓝光非常重要. 在现有各种蓝光材料中, 聚芴(PFO)非常稳定且荧光量子效率可达80%, 但它有一个非常大的缺点: 电致发光会产生异常绿光带. 这严重影响了PFO相关器件的饱和色纯度. 本文使用分子基磁性材料Fe(NH2trz)3·(BF4)2掺杂PFO方法, 解决了这一难题. 以ITO为衬底, 制作了结构为ITO/PEDOT: PSS/PFO: Fe(NH2trz)3·(BF4)2/CsCl/Al的器件. 报道了利用Fe(NH2trz)3·(BF4)2特殊的电子自旋态调制PFO的光电特性, 实现了PFO的强烈纯正蓝光发射. 详细研究了Fe(NH2trz)3·(BF4)2对PFO光电特性的影响. 在4 V至9 V电压的偏置下, 没有Fe(NH2trz)3·(BF4)2的器件, 发出特别异常的绿光. 然而, 与此形成明显对照的是: Fe(NH2trz)3·(BF4)2掺杂的器件发出强烈的本征蓝光; PFO绿色发光带被成功压制; 随着电压的变化, 器件光谱的蓝光部分在整个EL谱所占比例没有改变. 运用光电磁一体化测量技术, 进一步研究了PFO掺杂Fe(NH2trz)3·(BF4)2器件的磁发光(MEL)和磁电导(MC)效应. 发现PFO: Fe(NH2trz)3·(BF4)2和纯PFO薄膜内都没有激基缔合物产生. 运用发光动力学理论, 分析了Fe(NH2trz)3·(BF4)2阻断PFO异常绿光发射的机理.
编辑推荐
2021, 70 (7): 077501.
doi:10.7498/aps.70.20201737
摘要 +
垂直磁各向异性稀土-铁-石榴石纳米薄膜在自旋电子学中具有重要应用前景. 本文使用溅射方法在(111)取向掺杂钇钪的钆镓石榴石(Gd0.63Y2.37Sc2Ga3O12, GYSGG)单晶衬底上外延生长了2—100 nm厚的钬铁石榴石(Ho3Fe5O12, HoIG)薄膜, 并进一步在HoIG上沉积了3 nm Pt薄膜. 测量了室温下HoIG的磁各向异性和HoIG/Pt异质结构的自旋相关输运性质. 结果显示, 厚度薄至2 nm的HoIG薄膜(小于2个单胞层)在室温仍具有铁磁性, 且由于外延应变, 2—60 nm厚HoIG薄膜都具有很强的垂直磁各向异性, 有效垂直各向异性场最大达350 mT; 异质结构样品表现出非常可观的反常霍尔效应和“自旋霍尔/各向异性”磁电阻效应, 前者在HoIG厚度小于4 nm时开始缓慢下降, 而后者当HoIG厚度小于7 nm时急剧减小, 说明相较于反常霍尔效应, 磁电阻效应对HoIG的体磁性相对更加敏感; 此外, 自旋相关热电压随HoIG厚度减薄在整个厚度范围以指数方式下降, 说明遵从热激化磁振子运动规律的自旋塞贝克效应是其主要贡献者. 本文结果表明HoIG纳米薄膜具有可调控的垂直磁各向异性, 厚度大于4 nm的HoIG/Pt异质结构具有高效的自旋界面交换作用, 是自旋电子学应用发展的一个重要候选材料.
物理学交叉学科及有关科学技术领域
2021, 70 (7): 078901.
doi:10.7498/aps.70.20201516
摘要 +
中美贸易战对行业冲击是普遍关注的问题, 本文选取2016年8月—2019年10月的上证行业指数, 构建了格兰杰因果关系网络, 然后结合事件分析法对风险传播模型的参数进行估计, 最后利用蒙特卡罗算法模拟行业受到贸易战冲击后金融风险传播情况, 并计算贸易战发生前后的上证股市金融网络风险传播的基本再生数. 研究发现: 第一, 贸易战明显改变了上证行业关系结构, 行业指数之间联系变得更为紧密; 第二, 贸易战发生初期, 受美国加征关税影响, 上证股市感染节点数量迅速增加, 并且感染规模会在第10—15个交易日内达到峰值, 感染节点数量大约在第25个交易日后开始趋于平缓, 市场逐渐恢复; 第三, 基本再生数计算结果表明, 上证股市在贸易战发生初期金融风险传播较快, 上证股市容易产生“同涨同跌”的现象.
2021, 70 (7): 078902.
doi:10.7498/aps.70.20201300
摘要 +
网络的传输性能在一定程度上依赖于网络的拓扑结构. 本文从结构信息的角度分析复杂网络的传输动力学行为, 寻找影响网络传输容量的信息结构测度指标. 通信序列熵可以有效地量化网络的整体结构信息, 为了表征网络整体传输能力, 把通信序列熵引入到复杂网络传输动力学分析中, 研究网络的通信序列熵与传输性能之间的关联特性, 分析这种相关性存在的内在机理. 分别在BA无标度和WS小世界网络模型上进行仿真, 结果显示: 网络的通信序列熵与其传输容量存在密切关联性, 随着通信序列熵的增加, 网络拓扑结构的均匀性随之增强, 传输容量明显增加. 网络的传输容量是通信序列熵的单调递增函数, 与通信序列熵成正关联关系. 通信序列熵可有效评估网络的传输容量, 本结论可为设计高传输容量网络提供理论依据.




