The impact of the China-US trade war on the industry is a common concern. Industries in the stock market have a high degree of correlation that the drastic fluctuation of stock prices of one industry may cause related industry stock price fluctuating, and even may influence the whole financial market through chain reaction. Therefore, it is helpful for us to understand the impact of the China-Us trade war on Shanghai stock market and the internal relations among the different industry sectors by analyzing how the financial shock spreads in the stock market.
However, there are still several essential problems to be solved. First, previous work mainly employed the mean field theory to study the diffusion of financial crisis in the stock market. Although this method can reflect the diffusion of financial crisis in the stock market as a whole, it is not accurate enough to explain the relationship among industry sectors. Second, the previous work mainly used numerical simulations to study the dynamic properties of the spread model, thus there is necessity to demonstrate whether numerical simulations can reflect the real situation of stock market.
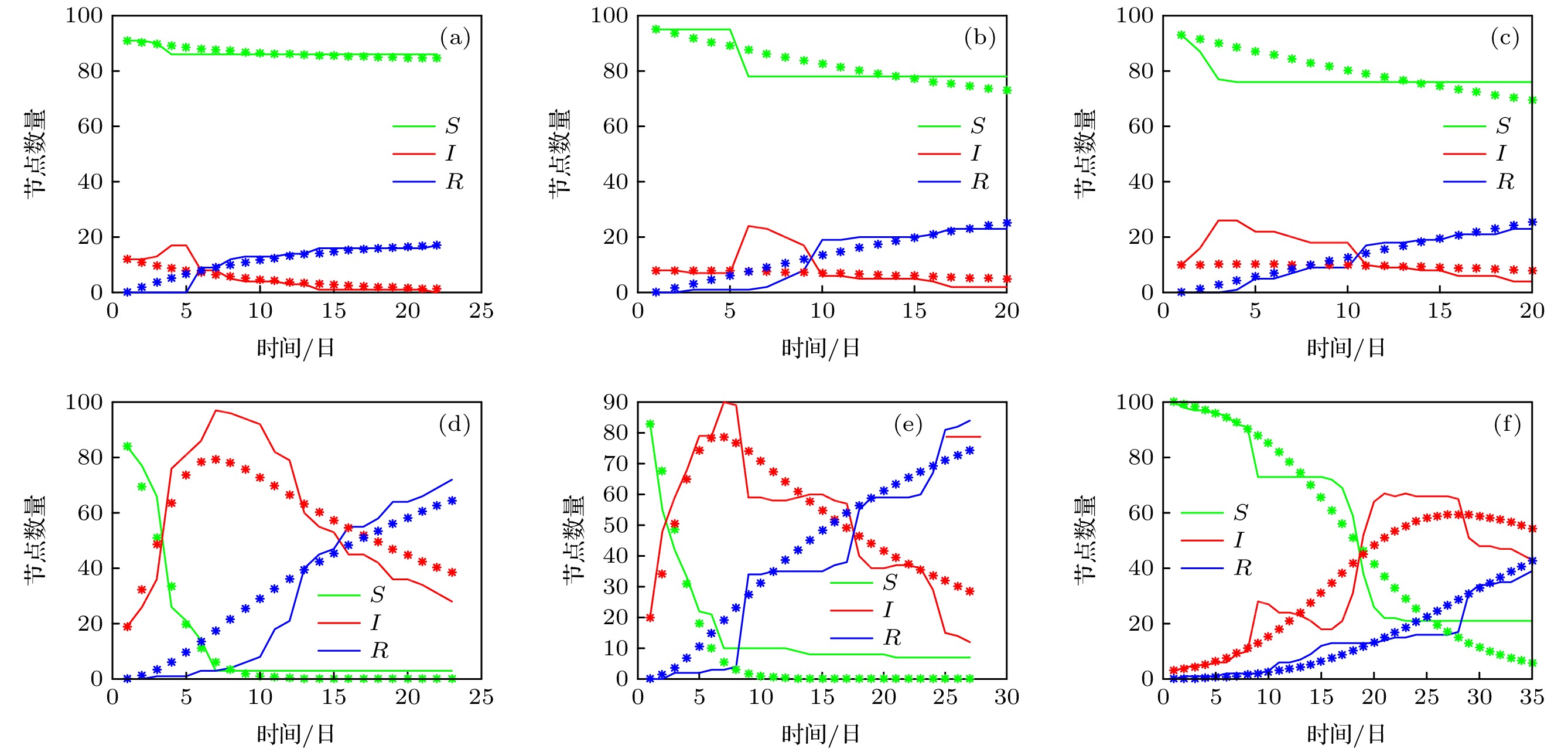
To solve these two problems, this paper proposes a method combining parameter estimation techniques and the Monte Carlo simulation algorithm based on the disease spreading model. By using this method, we select the Shanghai stock exchange industry indexes from 2016 to 2019, construct the Granger causality network, estimate the parameters of the risk spreading model using the event study methodology, and finally simulate the diffusion of financial shocks. The results show that: firstly, the trade war has significantly changed the structure of Shanghai stock exchange industries, and industry indexes have become more closely related. Secondly, after the trade war, the financial shock will cause the number of infected nodes in Shanghai stock market increasing rapidly in the initial stage, and the scale of infection will reach the peak within the 10th to 15th trading days. The number of susceptible infections begins to slow down on about the 25th trading day, which means that the infection caused by financial shock has ended and the market is gradually recovering. Thirdly, the calculation results of the basic regeneration number show that the risk caused by financial shock is easy to spread in the Shanghai stock market after the trade war, and the phenomenon of "simultaneously rise and fall" of Shanghai stock market easily emerges.