Recently, atmospheric non-equilibrium plasma has been proposed as a potential and novel type of “reaction carrier” for the activation and conversion of greenhouse gases (methane and carbon dioxide) into value-added chemicals, due to its unique non-equilibrium characteristics. In this paper, a zero-dimensional plasma chemical reaction kinetic model in CH
4/CO
2gas mixture is constructed, with an emphasis on reaction mechanism for plasma dry reforming of methane to syngas and oxygenates. Especially, the effect of the CH
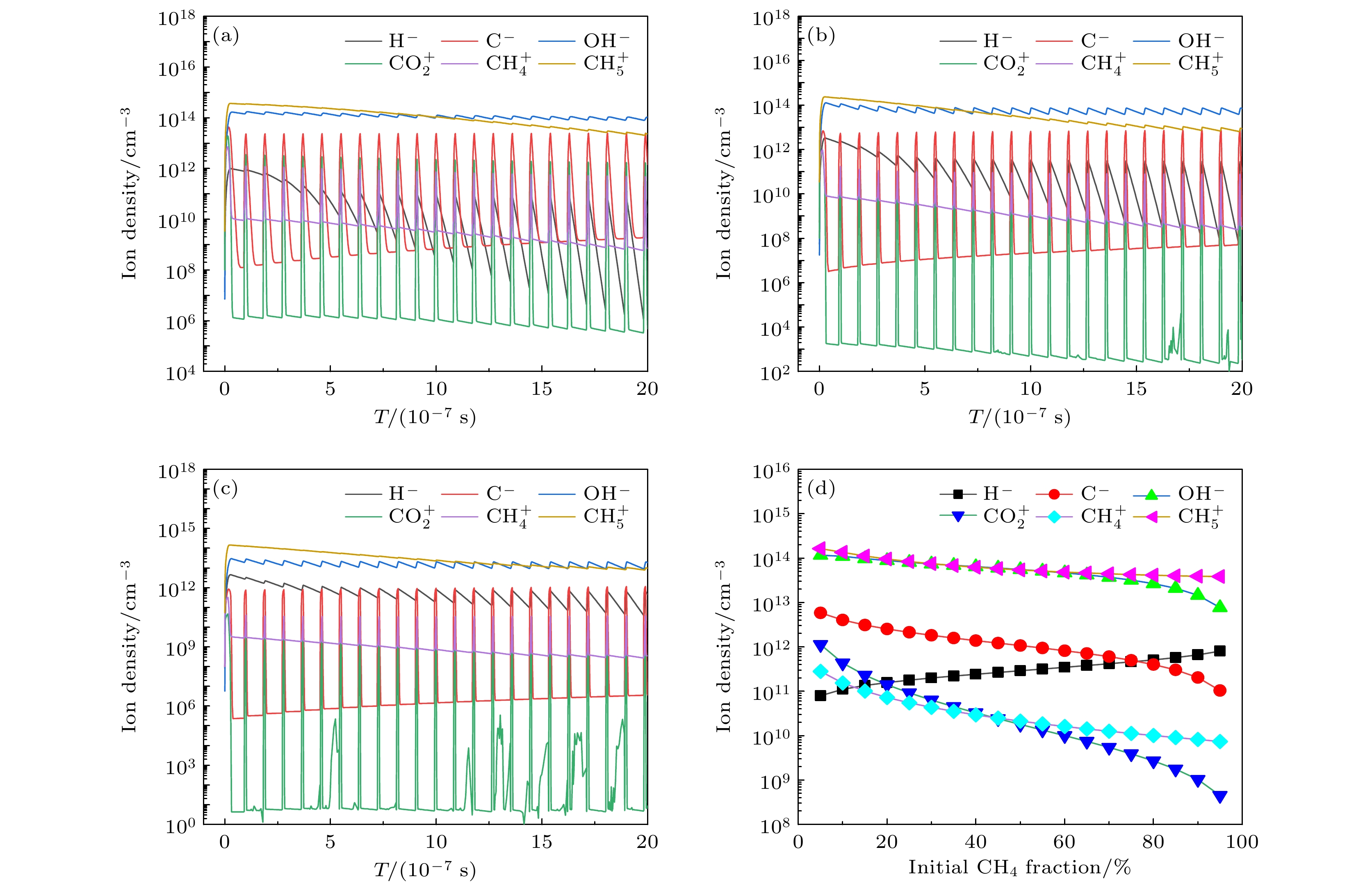
4molar fraction (5%–95%) on plasma dry reforming of methane is investigated. First, the time evolution of electron temperature and density with initial methane content is presented, and the results show that both the electron temperature and electron density vary periodically with the applied triangular power density pulse, and the higher initial methane content in gas mixture is favored for a larger electron temperature and density. Subsequently, the time evolution of number densities of free radicals, ions and molecules at different CH
4/CO
2molar fraction are given. The higher the initial methane content, the greater the number densities of H, H
–, H
2, and CH
3, leading to insufficient oxygen atoms to participate in the reaction for oxygenates synthesis. The conversions of inlet gases, the selectivities of syngas and important oxygenates are also calculated. The conversion rate of carbon dioxide increases with the increasing methane content, but the conversion rate of methane is insensitive to the variation of methane content. As methane mole fraction is increased from 5% to 95%, the selectivities of important oxygenates (CH
3OH and CH
2O) are relatively low (<5%), and the selectivity of H
2gradually increases from 13.0% to 24.6%, while the selectivity of CO significantly decreases from 58.9% to 9.7%. Moreover, the dominant reaction pathways governing production and destruction of H
2, CO, CH
2O and CH
3OH are determined, and CH
3and OH radicals are found to be the key intermediate for the production of valuable oxygenates. Finally, a schematic overview of the transformation relationship between dominant plasma species is summarized and shown to clearly reveal intrinsic reaction mechanism of dry reforming of methane in atmospheric non-equilibrium plasma.