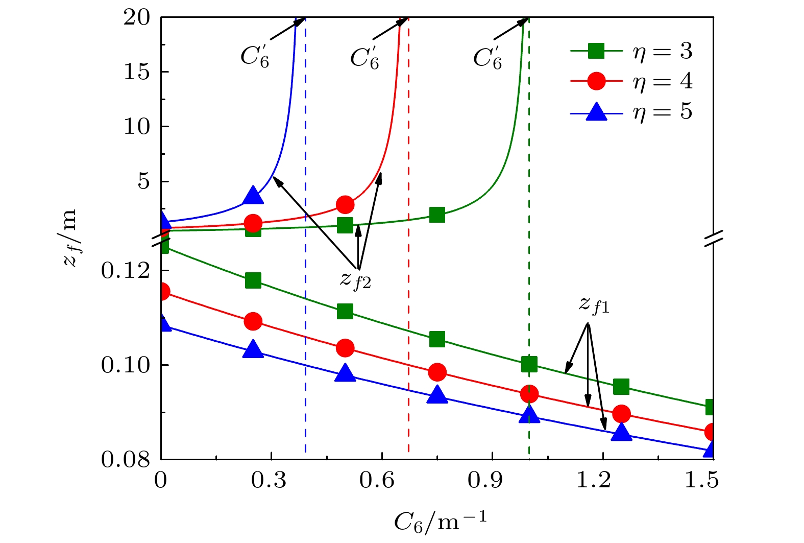
When a powerful laser beam propagates in a Kerr nonlinear medium, the Kerr effect on the beam propagation characteristics is very significant. The astigmatic laser beams are often encountered in practice. Until now, much work has been carried out on the propagation characteristics of astigmatic laser beams in linear media, but a few researches have been reported about the propagation of astigmatic laser beams through nonlinear media. To the best of our knowledge, the propagation or the transformation of astigmatic laser beams through an optical system in a Kerr nonlinear medium has not been investigated. In this paper, the propagation characteristics of focused astigmatic Gaussian beams in a nonlinear Kerr medium are studied. The Kerr effect on the beam astigmatism and the focal shift of focused astigmatic Gaussian beams are investigated in detail, and the self-focusing focal length and focus control of focused astigmatic Gaussian beams in the Kerr nonlinear medium are also studied. For the beam spreading case, the analytical formula for each of the beam width, the beam waist position, and the focal shift of focused astigmatic Gaussian beams in the Kerr nonlinear medium is derived. It is shown that in the self-focusing medium, as the beam power increases (i.e. the self-focusing effect becomes stronger), the beam astigmatism becomes stronger, but the focal shift decreases. However, in a self-defocusing medium, as the beam power increases (i.e. the self-defocusing effect becomes stronger), the beam astigmatism becomes weaker, but the focal shift increases. On the other hand, for the beam self-focusing case, the analytical formula of the self-focusing focal length of focused astigmatic Gaussian beams in the Kerr nonlinear medium is derived. It is found that the number of foci can be controlled by applying beam astigmatism. The results obtained in this paper are of theoretical and practical significance.