搜索

x

留言板

姓名
邮箱
手机号码
标题
留言内容
验证码

downloadPDF
引用本文:
Citation:

    肖美霞, 冷浩, 宋海洋, 王磊, 姚婷珍, 何成

    Effects of organic molecule adsorption and substrate on electronic structure of germanene

    Xiao Mei-Xia, Leng Hao, Song Hai-Yang, Wang Lei, Yao Ting-Zhen, He Cheng
    PDF
    HTML
    导出引用
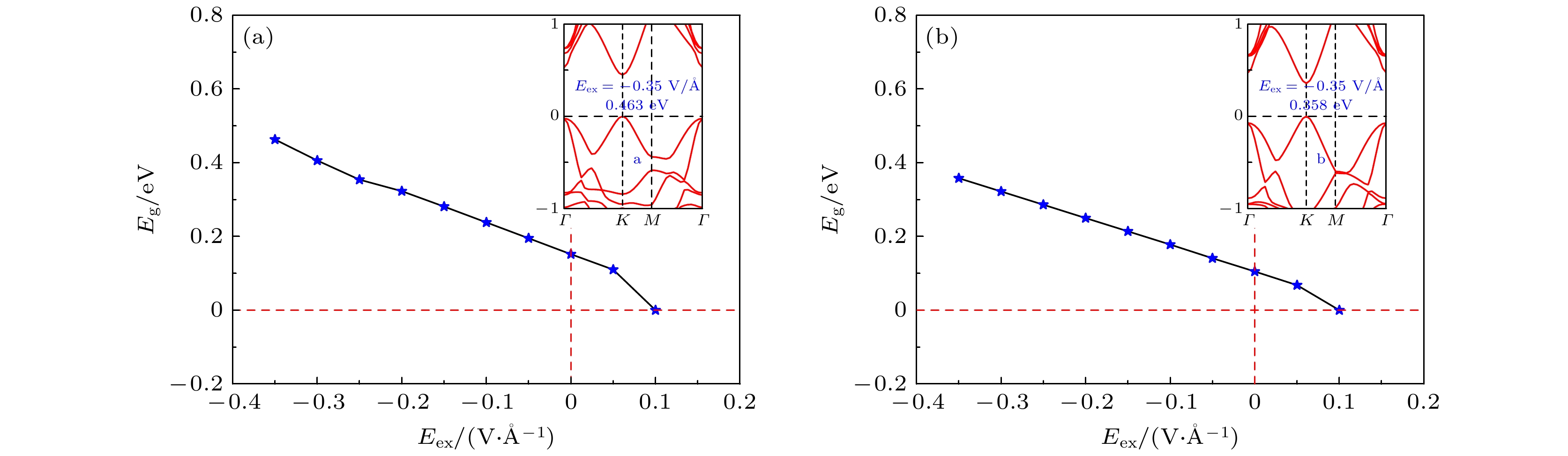
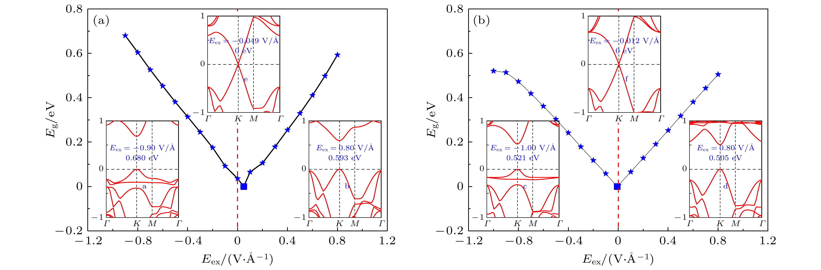
    • 锗基集成电子学的发展潜力源于其极高的载流子迁移率以及与现有的硅基和锗基半导体工业的兼容性, 而锗烯微小带隙能带特点极大程度地阻碍其应用. 因此, 在不降低载流子迁移率的情况下, 打开一个相当大的带隙是其应用于逻辑电路中首先要解决的问题. 本文采用范德瓦耳斯力修正的密度泛函理论计算方法, 研究了电场作用下有机分子吸附和衬底对锗烯原子结构和电学性质的影响. 研究结果表明, 有机分子吸附和衬底通过弱相互作用破坏了锗烯亚晶格的对称性, 从而在狄拉克点上打开了相当大的带隙. 苯/锗烯和六氟苯/锗烯体系均在 K点打开了带隙. 当使用表面完全氢化的锗烯(锗烷HGeH)衬底时, 苯/锗烯/HGeH和六氟苯/锗烯/HGeH体系的带隙可进一步变宽, 带隙值分别为0.152和0.105 eV. 在外电场作用下, 上述锗烯体系可实现大范围的近似线性可调谐带隙. 更重要的是, 载流子迁移率在很大程度上得以保留. 本文提出了一种有效的可调控锗烯带隙的设计方法, 为锗烯在场效应管和其他纳米电子学器件中的应用提供了重要的理论指导.
      The development potential of germanene-based integrated electronics originates from its high carrier mobility and compatibility with the existing silicon-based and germanium-based semiconductor industry. However, the small band gap energy band (Dirac point) of germanene greatly impedes its application. Thus, it is necessary to open a sizeable band gap without reducing the carrier mobility for the application in logic circuits. In this study, the effects of organic molecule (benzene or hexafluorobenzene) adsorption and substrate on the atomic structures and electronic properties of germanene under an external electric field are investigated by using density functional theory calculations with van der Waals correction. For benzene/germanene and hexafluorobenzene/germanene systems, four different adsorption sites are considered, with the center of the organic molecules lying directly atop the upper or lower Ge atoms of germanene, in the Ge-Ge bridge center, and on the central hollow ring. Meanwhile, different molecular orientations at each adsorption site are also considered. Thus, there are eight high-symmetry adsorption configurations of the systems, respectively. According to the adsorption energy, we can determine the most stable atomic structures of the above systems. The results show that the organic molecule adsorption can induce the larger buckling height in germanene. Both the adsorption energy and interlayer distance indicate that there is no chemical bond between the organic molecules and germanene. Mulliken population analysis shows that a charge redistribution in the two sublattices in germanene exists since benzene is an electron donor molecule and hexafluorobenzene is an electron acceptor molecule. As a result, the benzene/germanene system exhibits a relatively large band gap (0.036 eV), while hexafluorobenzene/germanene system displays a small band gap (0.005 eV). Under external electric field, germanene with organic molecule adsorption can exhibit a wide range of linear tunable band gaps, which is merely determined by the strength of electric field regardless of its direction. The charge transfer among organic molecules and two sublattices in germanene gradually rises with the increasing the strength of electric field, resulting in the electron density around the sublattices in germanene unequally distributed. Thus, according to the tight-binding model, a larger band gap at the K-point is opened. When germanane (fully hydrogenated germanene HGeH) substrate is applied, the band gaps further widen, where the band gap of benzene/ germanene/germanane system can increase to 0.152 eV, and that of hexafluorobenzene/germanene/germanane system can reach 0.105 eV. The sizable band gap in germanene is created due to the symmetry of two sublattices in germanene destroyed by the dual effects of organic molecule adsorption and substrate. Note that both of organic molecules and substrate are found to non-covalently functionalize the germanene. As the strength of the negative electric field increases, the band gaps can be further modulated effectively. Surprisingly, the band gaps of the above systems can be closed, and reopened under a critical electric field. These features are attributed to the build-in electric field due to the interlayer charge transfer of the systems, which breaks the equivalence between the two sublattices of germanene. More importantly, the high carrier mobility in germanene is still retained to a large extent. These results provide effective and reversible routes to engineering the band gap of germanene for the applications of germanene to field-effect transistor and other nanoelectronic devices.
          通信作者:肖美霞,mxxiao@xsyu.edu.cn; 何成,hecheng@xjtu.edu.cn
        • 基金项目:国家自然科学基金青年科学基金(批准号: 51801155)和西安石油大学《材料科学与工程》省级优势学科(批准号: YS37020203)资助的课题
          Corresponding author:Xiao Mei-Xia,mxxiao@xsyu.edu.cn; He Cheng,hecheng@xjtu.edu.cn
        • Funds:Project supported by the Young Scientists Fund of the National Natural Science Foundation of China (Grant No. 51801155) and the Provincial Superiority Discipline of Materials Science and Engineering of Xi’an Shiyou University, China (Grant No. YS37020203)
        [1]

        [2]

        [3]

        [4]

        [5]

        [6]

        [7]

        [8]

        [9]

        [10]

        [11]

        [12]

        [13]

        [14]

        [15]

        [16]

        [17]

        [18]

        [19]

        [20]

        [21]

        [22]

        [23]

        [24]

        [25]

        [26]

        [27]

        [28]

        [29]

        [30]

        [31]

        [32]

        [33]

        [34]

        [35]

        [36]

        [37]

        [38]

        [39]

        [40]

        [41]

        [42]

        [43]

        [44]

        [45]

        [46]

        [47]

        [48]

        [49]

        [50]

      • 八种构型 T-1 T-2 T-3 T-4 H-1 H-2 B-1 B-2
        苯/锗烯 Ead/eV 0.676 0.662 0.605 0.617 0.525 0.522 0.640 0.638
        H 3.060 3.063 3.146 3.090 3.352 3.445 2.977 3.060
        d 0.804 0.795 0.741 0.739 0.720 0.720 0.793 0.783
        Eg/eV 0.036 0.035 0.041 0.039 0.009 0.010 0.044 0.044
        六氟苯/锗烯 Ead/eV 0.593 0.588 0.589 0.656 0.521 0.569 0.647 0.631
        H 3.005 3.160 3.020 2.970 3.114 3.141 2.982 3.054
        d 0.780 0.786 0.732 0.763 0.765 0.781 0.762 0.776
        Eg/eV 0.014 0.022 0.039 0.005 0.006 0.018 0.016 0.035
        下载: 导出CSV
      • [1]

        [2]

        [3]

        [4]

        [5]

        [6]

        [7]

        [8]

        [9]

        [10]

        [11]

        [12]

        [13]

        [14]

        [15]

        [16]

        [17]

        [18]

        [19]

        [20]

        [21]

        [22]

        [23]

        [24]

        [25]

        [26]

        [27]

        [28]

        [29]

        [30]

        [31]

        [32]

        [33]

        [34]

        [35]

        [36]

        [37]

        [38]

        [39]

        [40]

        [41]

        [42]

        [43]

        [44]

        [45]

        [46]

        [47]

        [48]

        [49]

        [50]

      • [1] 吴洪芬, 冯盼君, 张烁, 刘大鹏, 高淼, 闫循旺.铁原子吸附联苯烯单层电子结构的第一性原理. 必威体育下载 , 2022, 71(3): 036801.doi:10.7498/aps.71.20211631
        [2] 詹真, 张亚磊, 袁声军.石墨烯莫尔超晶格的晶格弛豫与衬底效应. 必威体育下载 , 2022, 71(18): 187302.doi:10.7498/aps.71.20220872
        [3] 吴洪芬, 冯盼君, 张烁, 刘大鹏, 高淼, 闫循旺.铁原子吸附联苯烯单层电子结构的第一性原理研究. 必威体育下载 , 2021, (): .doi:10.7498/aps.70.20211631
        [4] 相阳, 郑军, 李春雷, 郭永.局域交换场和电场调控的锗烯纳米带自旋过滤效应. 必威体育下载 , 2019, 68(18): 187302.doi:10.7498/aps.68.20190817
        [5] 秦志辉.类石墨烯锗烯研究进展. 必威体育下载 , 2017, 66(21): 216802.doi:10.7498/aps.66.216802
        [6] 武红, 李峰.GeH/层间弱相互作用调控锗烯电子结构的机制. 必威体育下载 , 2016, 65(9): 096801.doi:10.7498/aps.65.096801
        [7] 高潭华.表面氢化双层硅烯的结构和电子性质. 必威体育下载 , 2015, 64(7): 076801.doi:10.7498/aps.64.076801
        [8] 张弦, 郭志新, 曹觉先, 肖思国, 丁建文.GaAs(111)表面硅烯、锗烯的几何及电子性质研究. 必威体育下载 , 2015, 64(18): 186101.doi:10.7498/aps.64.186101
        [9] 刘俊, 梁培, 舒海波, 沈涛, 邢凇, 吴琼.单层MoS2分子掺杂的第一性原理研究. 必威体育下载 , 2014, 63(11): 117101.doi:10.7498/aps.63.117101
        [10] 吴江滨, 张昕, 谭平恒, 冯志红, 李佳.旋转双层石墨烯的电子结构. 必威体育下载 , 2013, 62(15): 157302.doi:10.7498/aps.62.157302
        [11] 潘洪哲, 徐明, 陈丽, 孙媛媛, 王永龙.单层正三角锯齿型石墨烯量子点的电子结构和磁性. 必威体育下载 , 2010, 59(9): 6443-6449.doi:10.7498/aps.59.6443
        [12] 霍新霞, 王畅, 张秀梅, 王利光.Au电极连接富勒烯C32分子的电子结构与传输特性. 必威体育下载 , 2010, 59(7): 4955-4960.doi:10.7498/aps.59.4955
        [13] 金子飞, 童国平, 蒋永进.非近邻跳跃对扶手椅型石墨烯纳米带电子结构的影响. 必威体育下载 , 2009, 58(12): 8537-8543.doi:10.7498/aps.58.8537
        [14] 胡海鑫, 张振华, 刘新海, 邱明, 丁开和.石墨烯纳米带电子结构的紧束缚法研究. 必威体育下载 , 2009, 58(10): 7156-7161.doi:10.7498/aps.58.7156
        [15] 柏于杰, 付石友, 邓开明, 唐春梅, 陈 宣, 谭伟石, 刘玉真, 黄德财.密度泛函理论计算内掺氢分子富勒烯H2@C60及其二聚体的几何结构和电子结构. 必威体育下载 , 2008, 57(6): 3684-3689.doi:10.7498/aps.57.3684
        [16] 张鸿宇, 王利光, 张秀梅, 郁鼎文, 李 勇.富勒烯C20分子器件的电子结构和传导特性. 必威体育下载 , 2008, 57(10): 6271-6276.doi:10.7498/aps.57.6271
        [17] 马松山, 徐 慧, 刘小良, 郭爱敏.DNA分子链电子结构特性研究. 必威体育下载 , 2006, 55(6): 3170-3174.doi:10.7498/aps.55.3170
        [18] 祝生祥, 李 锐, 杨修文, 薛春荣.PuH2分子电子结构的DVM研究. 必威体育下载 , 2003, 52(1): 67-71.doi:10.7498/aps.52.67
        [19] 王立民, 罗莹, 马本堃.双量子点分子的电子结构. 必威体育下载 , 2001, 50(2): 278-286.doi:10.7498/aps.50.278
        [20] 陈光华, 邓金祥, 张生俊, 宋雪梅, 王波, 严辉.衬底材料对制备立方氮化硼薄膜的影响. 必威体育下载 , 2001, 50(1): 83-87.doi:10.7498/aps.50.83
      计量
      • 文章访问数:5963
      • PDF下载量:79
      • 被引次数:0
      出版历程
      • 收稿日期:2020-10-07
      • 修回日期:2020-11-15
      • 上网日期:2021-03-08
      • 刊出日期:2021-03-20

        返回文章
        返回