搜索

x

留言板

姓名
邮箱
手机号码
标题
留言内容
验证码

downloadPDF
引用本文:
Citation:

    薛海斌, 段志磊, 陈彬, 陈建宾, 邢丽丽

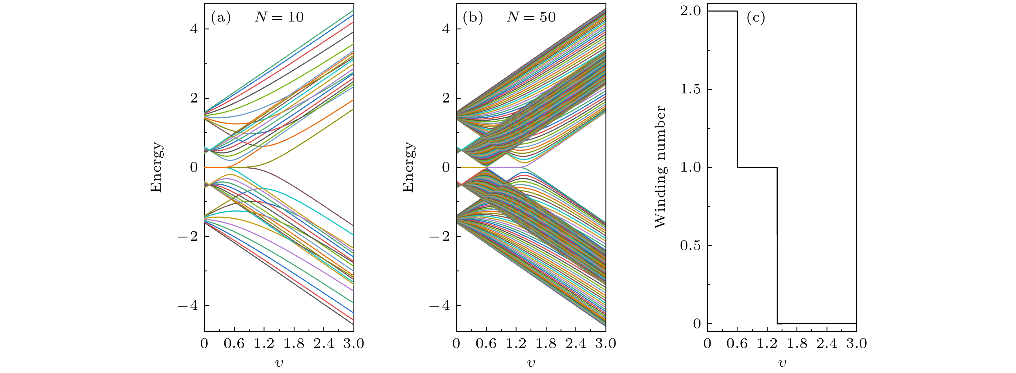
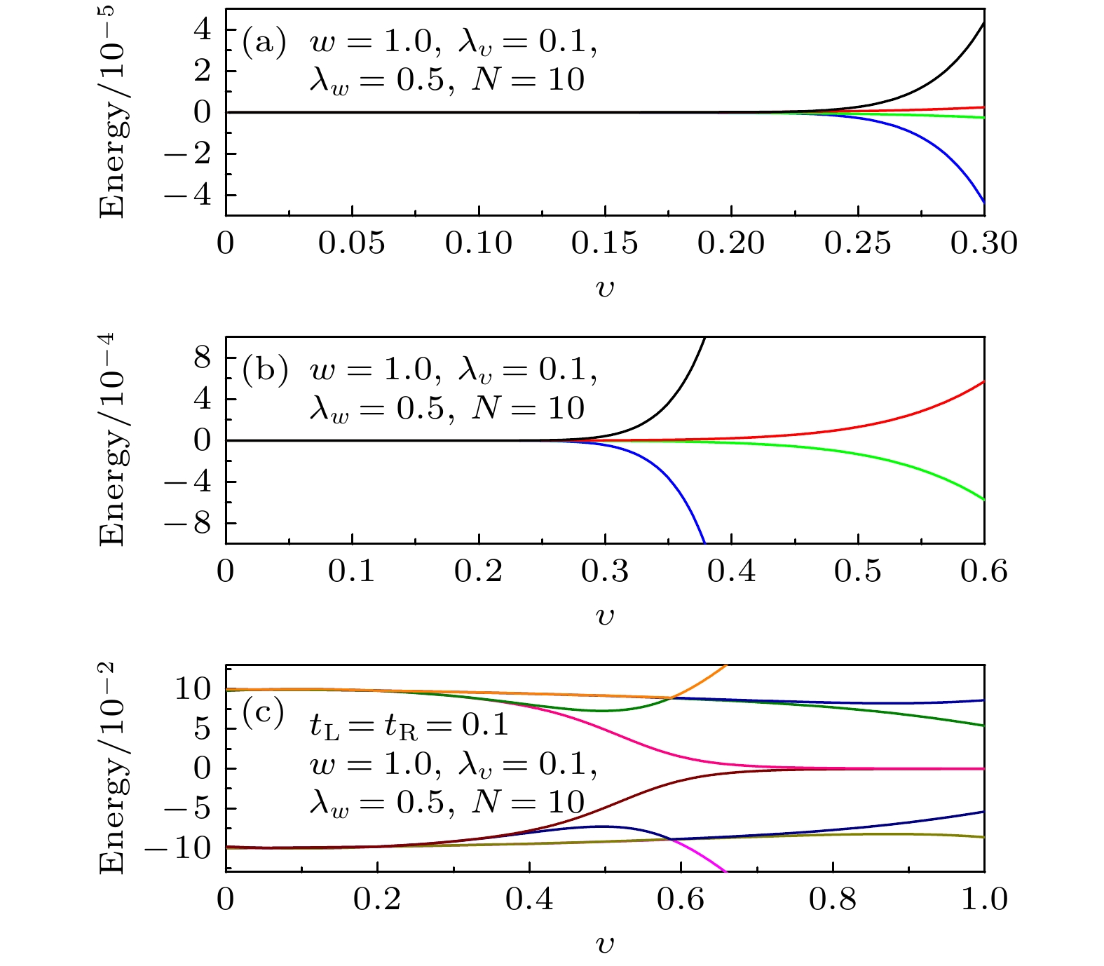
    Electron transport through Su-Schrieffer-Heeger chain with spin-orbit coupling

    Xue Hai-Bin, Duan Zhi-Lei, Chen Bin, Chen Jian-Bin, Xing Li-Li
    PDF
    HTML
    导出引用
    计量
    • 文章访问数:6332
    • PDF下载量:200
    • 被引次数:0
    出版历程
    • 收稿日期:2020-10-20
    • 修回日期:2020-12-07
    • 上网日期:2021-04-05
    • 刊出日期:2021-04-20

      返回文章
      返回