The capacitive CF
4/Ar discharges driven by a dual frequency source based on the electrical asymmetry effect (EAE) are studied by using a one-dimensional fluid coupled with Monte-Carlo (MC) model and a two-dimensional trench model. The effects, induced by varying the relative gap distance, on self-bias voltage, electronegativity, ion flux, neutral flux and other plasma characteristics are systematically discussed. In this asymmetric discharge, as the gap distance increases, the absolute value of the self-bias voltage and electronegativity decrease. Meanwhile, the plasma density and absorption power increase accordingly because the effective discharge area expands but the boundary loss is still limited. In addition, both
$ \mathrm{\alpha } $
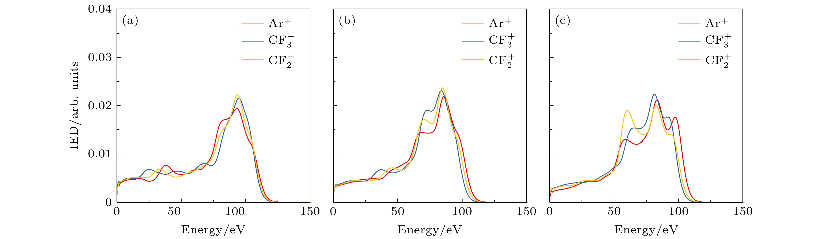
mode and drift-ambipolar (DA) mode can play their important roles in the discharges with different gap distances, though DA mode is weakened in large gap discharge. Owing to the fact that the self-bias is larger and electronegativity is stronger for the case of smaller gap distance, the sheath expansion electric field at the powered electrode and the bulk electric field heat the electrons, leading the ionization rate to greatly increase near the collapse of the sheath at the grounded electrode. Besides, at the larger gap distance, the maximum value of the ionization rate decreases due to the reduction of electrons with relatively high-energy, and the ionization rate near the grounded electrode is reduced evidently. Moreover, with the increase of the gap distance, the maximum ion energy decreases and the ion energy distribution width becomes smaller due to the reduction of the self-bias voltage. Meanwhile, the etching rate increases a lot since the neutral flux increases significantly near the powered electrode. However, as the gap distance increases to 5 cm, the etching rate stops increasing and the trench width at the bottom becomes narrow because the neutral flux increases greatly compared with ion flux, forming a thick layer of polymer. So, besides separately controlling the ion energy and flux, optimizing the synergistic effect of ion flux and neutral group flux to adjust the etching rate and improve the etching morphology is also an interesting topic in the asymmetric CF
4/Ar discharges.