-
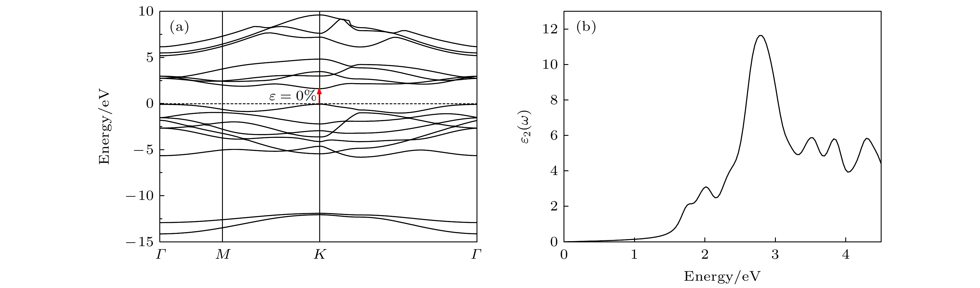
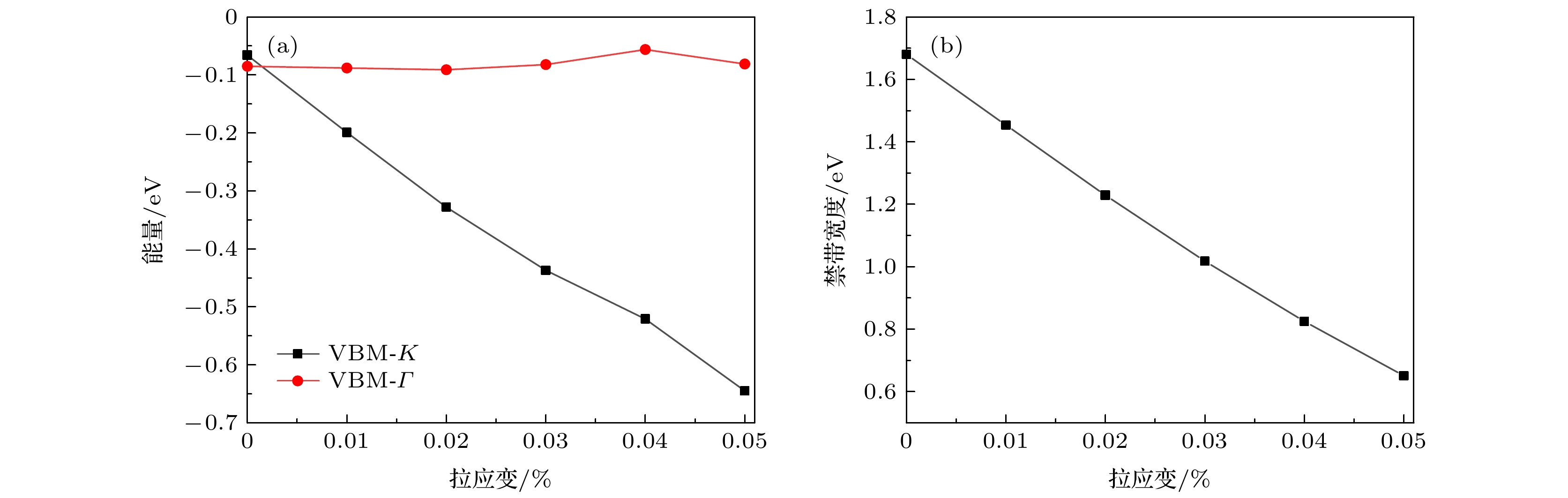
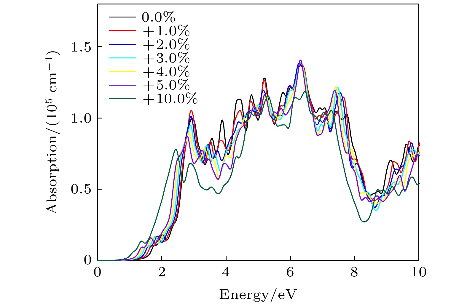
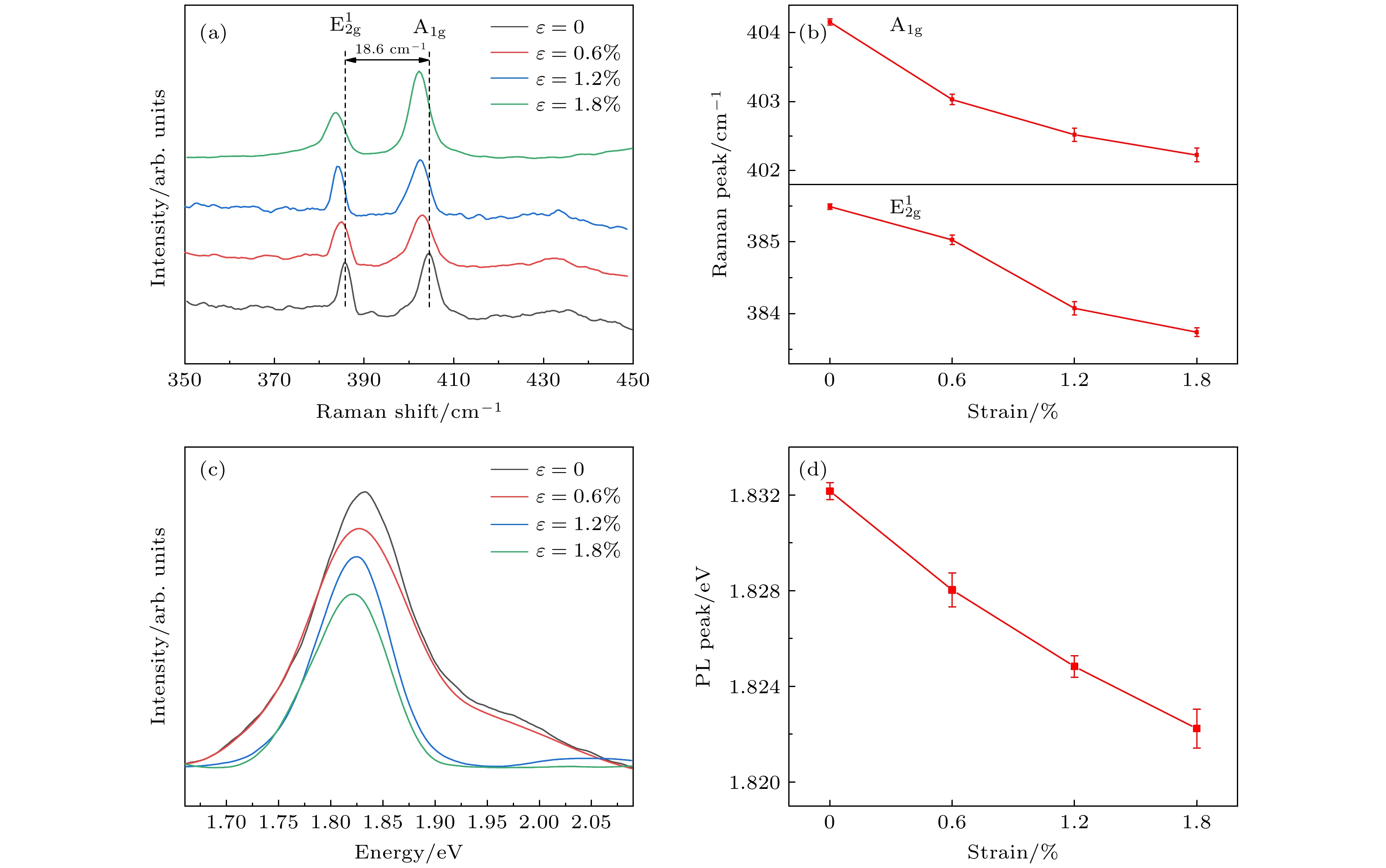
单层二硫化钼是制作各种微纳元器件及柔性电子器件较为理想的材料. 然而在实践和应用中, 材料受到环境所导致的应变是一个无法避免的关键问题, 材料的电子结构也会随应变而发生改变. 本文基于第一性原理并结合湿法转移后的拉伸实验, 研究了. 结果表明: 1)本征单层二硫化钼为直接带隙半导体, 禁带宽度为1.68 eV; 吸收系数曲线最强峰位于10.92 eV附近, 最大吸收系数为1.66 × 10 5cm –1. 2)开始施加拉应变(1%)时, 其能带结构从直接带隙转变为间接带隙; 随着应变的增大, 能带仍然保持间接带隙的特征, 且禁带宽度呈现线性下降的趋势; 当拉应变为10%时, 禁带宽度降为0 eV. 吸收系数曲线随应变施加而发生红移. 3)通过对湿法转移后的单层二硫化钼进行拉伸实验, 拉曼光谱中的面内模式
$ {\mathrm{E}}_{2\mathrm{g}}^{1} $ 和面外模式A 1g峰都会随拉伸而发生红移, 且两峰的峰值频率差保持在18.6 cm –1左右; 在光致发光谱1.83 eV处观察到单层二硫化钼的A激子的强发射峰. 随着拉应变的变大, 峰值相对强度降低并且线性红移, 代表带隙的线性减小, 与理论计算结果相符.Monolayer molybdenum disulfide is an ideal material for making various micro/nano components and flexible electronic devices. However, the strain of material caused by the environment is a key problem that cannot be avoided in practical applications, and the electronic structure of material will also change with the strain. In this paper, the effect of tensile strain on the photoelectric properties of monolayer MoS 2is studied based on first principles and tensile tests after wet transfer. The results are obtained as follows. 1) Intrinsic monolayer MoS 2is a direct bandgap semiconductor with a band gap of 1.68 eV, the highest peak of the absorption coefficient curve is nearly 10.92 eV, and a maximum absorption coefficient is 1.66 × 10 5cm –1. 2) A small tensile strain (1%) will result in the transition from direct to indirect gap for monolayer MoS 2. With the increase of strain, the feature of the indirect gap can be preserved but the gap decreases linearly. The gap will decrease to 0 eV when the tensile strain is 10%, and the absorption coefficient curve is red-shifted as a whole with strain. 3) The in-plane mode peak and the out-of-plane mode A 1gpeak in Raman spectra are re-dshifted with stretching by tensile test of wet-transferred monolayer MoS 2, and the difference in peak frequency between the two peaks is maintained at about 18.6 cm –1. The strong emission peak of an exciton of monolayer MoS 2is observed at 1.83 eV of the photoluminescenc spectrum. With the increase of tensile strain, the relative strength of the peak decreases and is linearly re-dshifted, which means that the band gap decreases linearly. It is consistent with the theoretical calculation result.-
Keywords:
- molybdenum disulfide/
- tensile strain/
- energy bands/
- first principles
[1] [2] [3] [4] [5] [6] [7] [8] [9] [10] [11] [12] [13] [14] [15] [16] [17] [18] [19] [20] [21] [22] [23] [24] [25] [26] [27] [28] [29] [30] -
[1] [2] [3] [4] [5] [6] [7] [8] [9] [10] [11] [12] [13] [14] [15] [16] [17] [18] [19] [20] [21] [22] [23] [24] [25] [26] [27] [28] [29] [30]
计量
- 文章访问数:6764
- PDF下载量:201
- 被引次数:0












下载:







