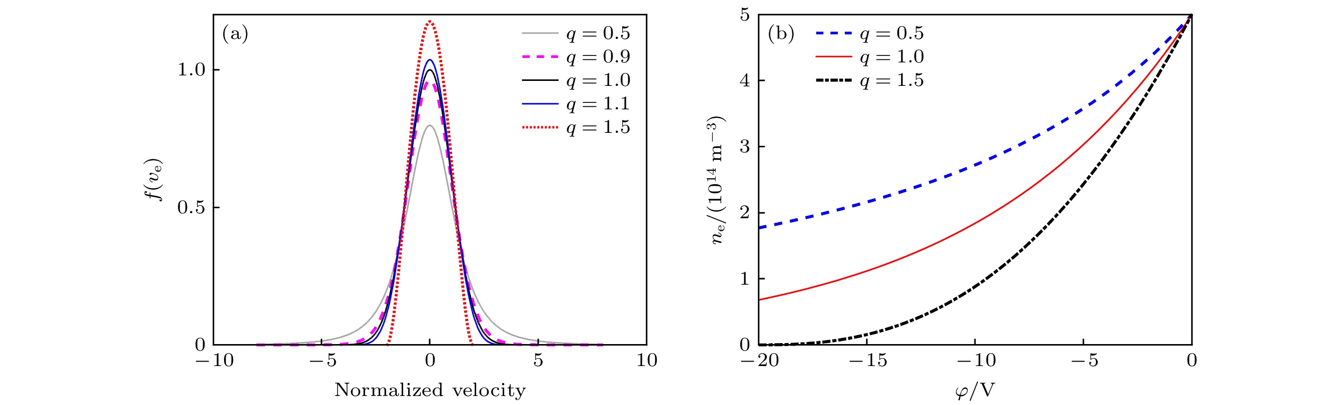
In this paper, the effects of non-Maxwellian distribution of electrons on the characteristics of magnetized plasma sheath with secondary electron emission are investigated by using a magnetic fluid model of one-dimensional velocity and three-dimensional space. The velocity of electrons follows the non-extensive distribution, and the ions are magnetized in a magnetic field with a certain tilt angle relative to the wall. The effects of the non-extensive electron distribution parameter
qand the magnetic field strength and angle on the Bohm criterion, the floating wall potential, the secondary electron number density at the sheath edge, the sheath thickness and the ion velocity are studied by establishing the self-consistent equations. When the electron velocity distribution deviates from the Maxwellian distribution, the results show that as the
q-parameter increases, the value of the Bohm criterion decreases, the floating wall potential increases, the number of secondary electrons at the sheath increases, the sheath thickness decreases, the number density of ions and electrons decline faster, the number density of ions near the wall is higher, and the velocities of the ions in the three directions are all reduced. In addition, as the magnetic field strength increases, the sheath thickness decreases, and the number density of ions and electrons in the sheath area decrease rapidly; the larger the magnetic field angle, the more significant the influences of the parameter
qon the wall potential and the sheath thickness are, while the velocity component of the ion in the
x-direction decreases with the increase of the magnetic field angle, but in the case of super-extensive distribution (
q< 1), the velocity change near the wall presents an opposite trend, the increase of magnetic field angle causes wall velocity to increase; when it is close to Maxwellian distribution (
q→ 1), the velocity near the wall does not depend on the change of the magnetic field angle and basically tends to be identical; in the case of sub-extensive distribution (
q> 1), the velocity near the wall decreases with the magnetic field angle increasing.