-
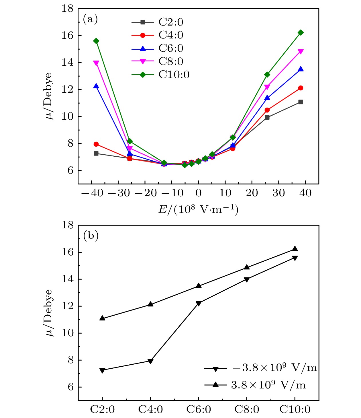
短-中链饱和甘油三酯是一种黏度低、可降解的液体绝缘材料, 在变压器内绝缘领域具有潜在的应用价值. 本文通过设置与绝缘油中放电相当的电场强度等级, 使用密度泛函与含时密度泛函方法研究了短-中链饱和甘油三酯分子在电场影响下的分子特性变化规律. 研究结果表明, 电场下分子结构发生明显改变, 分子键长与电场存在明显的依赖关系; 相同电场下, 随着碳链长度的增大, 分子的偶极矩增大, 分子极性增强; 在10 9V/m量级的电场强度下, 三辛酸甘油酯与三癸酸甘油酯的最高占据态分子轨道能量明显增大, 电离势急剧减小; 分子间的激发特性差异较小, 都随着电场强度的增大呈现出减小趋势, 且相同电场下分子激发能的减小幅度远小于电离势的减小幅度. 研究结果有助于提高人们对酯类绝缘介质中放电机理的认识, 并为天然酯绝缘油的性能改进提供一定的理论支撑.Short-medium chain saturated triglyceride is a low viscosity and degradable liquid dielectric material, which has potential applications in the field of transformer internal insulation. In this paper, the molecular properties of short-medium chain saturated triglycerides under the action of electric field are studied by using density functional theory and time-dependent density functional theory. The results show that the molecular bond length is obviously dependent on the electric field intensity, which is consistent with the shift of the infrared wave number peak. Under the same electric field, with the increase of the length of carbon chain, the dipole moment and polarity of the molecule increase correspondingly. When the electric field intensity is 10 9V/m, the energy of the highest occupied molecular orbital of tricaprylin and tricaprin increases obviously, and the ionization potential decreases sharply. The difference in excitation characteristic between molecules is small, and the decrease of excitation energy is much smaller than that of ionization potential under the same electric field. The results are helpful in improving the understanding of discharge mechanism in ester dielectric, and provide the theoretical support for the performance improvement of natural ester insulating oil.
[1] [2] [3] [4] [5] [6] [7] [8] [9] [10] [11] [12] [13] [14] [15] [16] [17] [18] [19] [20] [21] [22] [23] [24] [25] [26] [27] [28] [29] [30] [31] [32] -
方法 甘油
三酯波数v/ cm–1 C—O—O C=O C—H C2:0 1235.8 1816.3 2938.4 C4:0 1185.9 1809.5 2938.3 HF/631+
G*/0.90C6:0 1162 1809.2 2926.4 C8:0 1179.5 1809.1 2926.2 C10:0 1160.2 1808.9 2908.9 C2:0 1173.9 1787.1 2602.1 C4:0 1131.2 1778.3 2993.7 B3LYP/631G*/0.96 C6:0 1126.8 1778.2 2983.1 C8:0 1125.2 1778.2 2981.7 C10:0 1089.3 1778.2 2907.7 C2:0 1181.6 1756.8 2956.7 C4:0 1123.3 1750.7 2987.5 B3LYP/631+G*/0.96 C6:0 1119.1 1750.5 2975.6 C8:0 1117.6 1750.4 2940.5 C10:0 1116.5 1750.4 2943.9 C2:0 1164.1 1751.3 2936.3 C4:0 1107.6 1745.4 2966.1 B3LYP/6311++G**/0.96 C6:0 1104.2 1745.1 2959.5 C8:0 1103 1745 2895.9 C10:0 1102.3 1745 2929.9 C2:0 1208.0 1738.6 2950.0 实验值 C4:0 1159.0 1736.5 2962.5 C6:0 1159.8 1744.4 2950.4 C8:0 1155.5 1747.5 2958.3 C10:0 − − − E/(108V·m–1) 2C—9O/Å 12C—9O/Å 12C=13O/Å 5C—10O/Å 14C—10O/Å 14C = 15O/Å 1C—11O/Å 16C=17O/Å –38 1.435 1.389 1.205 1.434 1.379 1.209 1.438 1.214 –25 1.434 1.388 1.207 1.433 1.379 1.207 1.432 1.211 –13 1.434 1.384 1.207 1.431 1.376 1.207 1.430 1.209 –5.1 1.434 1.381 1.207 1.431 1.373 1.206 1.429 1.208 –2.6 1.434 1.380 1.207 1.432 1.372 1.208 1.428 1.208 0 1.434 1.380 1.207 1.433 1.371 1.207 1.428 1.207 2.6 1.434 1.379 1.207 1.433 1.370 1.208 1.428 1.207 5.1 1.434 1.378 1.207 1.434 1.369 1.208 1.428 1.207 13 1.435 1.375 1.208 1.436 1.366 1.210 1.428 1.206 25 1.434 1.373 1.209 1.439 1.360 1.213 1.428 1.205 38 1.434 1.370 1.211 1.443 1.355 1.216 1.425 1.203 E/(108V·m–1) Composition of the HOMO and LUMO (>3%) –38 HOMO 5C∶3.73, 12C∶4.49, 37C∶3.35, 40C∶11.88, 43H∶4.08, 45C∶18.02, 46C∶13.24, 47H∶4.2, 48H∶10.08, 50H∶6.99 LUMO 1C∶18.58, 2C∶18.88, 5C∶31.84, 18C∶6.56, 19C∶10.27, 22C∶6.87 –5.1 HOMO 2C∶3.07, 12C∶3.36, 13O∶34.35, 36C∶25.08, 37C∶5.25, 40C∶4.97 LUMO 1C∶7.12, 2C∶7.25, 14C∶5.28, 18C∶25.35, 19C∶33.40, 27C∶6.48, 28C3.29, 31C∶3.17 0 HOMO 2C∶5.86, 5C∶5.03, 11O∶7.80, 17O∶31.35, 18C∶17.39, 19C∶5.15, 22C∶5.58 LUMO 1C∶5.77, 2C∶6.75, 14C∶4.68, 18C∶26.92, 19C∶32.22, 27C∶7.36, 28C∶4.81, 31C∶3.87 5.1 HOMO 2C∶5.62, 5C∶4.92, 11O∶8.19, 12C∶3.31, 16C∶3.17, 17O∶32.67, 18C∶17.61, 19C∶5.21, 22C∶5.88 LUMO 1C∶8.10, 2C∶9.33, 14C∶3.39, 18C∶7.20, 19C∶29.10, 27C∶6.93, 28C∶4.89, 31C∶4.08 38 HOMO 1C∶15.52, 2C∶31.37, 18C∶5.46, 19C∶7.80, 52C∶8.47, 53C∶6.22, 54H∶4.66, 55H∶5.03, 57H∶3.53, 58H∶3.32 LUMO 27C∶9.74, 28C∶26.00, 31C∶33.47, 59C∶26.02 分子 E/(108V·m–1) m= 1 m= 2 m= 3 m= 4 m= 5 m= 6 m= 7 m= 8 m= 9 0 Eex/eV 5.6219 5.6422 5.6657 6.6449 6.6683 6.7503 6.7754 6.8532 6.8874 λ/nm 220.54 219.74 218.83 186.59 185.93 183.67 182.99 180.91 180.02 f 0.0009 0.0009 0.0004 0.0056 0.0015 0.0177 0.0096 0.0019 0.0032 5.1 Eex/eV 5.6149 5.6418 5.6619 6.6358 6.6848 6.7356 6.7626 6.8506 6.8776 C2∶0 λ/nm 220.81 219.76 218.98 186.84 185.47 184.07 183.34 180.98 180.27 f 0.0009 0.0009 0.0005 0.0071 0.0009 0.0169 0.0098 0.0041 0.0022 26 Eex/eV 5.5859 5.6366 5.643 6.3958 6.4734 6.5507 6.7110 6.8013 6.8396 λ/nm 221.96 219.96 219.71 193.85 191.53 189.27 184.75 182.30 181.27 f 0.0008 0.0009 0.0004 0.0040 0.0024 0.0070 0.0005 0.0227 0.0023 0 Eex/eV 5.6609 5.6751 5.7014 6.6073 6.6248 6.7205 6.7478 6.8553 6.8990 λ/nm 219.02 218.47 217.46 187.65 187.15 184.49 183.74 180.86 179.71 f 0.0004 0.0005 0.0002 0.0017 0.0115 0.0113 0.0004 0.0013 0.0055 5.1 Eex/eV 5.6551 5.6747 5.6991 6.6070 6.6271 6.7076 6.7391 6.8510 6.8983 C6∶0 λ/nm 219.24 218.49 217.55 187.66 187.09 184.84 183.98 180.97 179.73 f 0.0004 0.0005 0.0002 0.0127 0.0006 0.0110 0.0002 0.0051 0.0017 26 Eex/eV 5.6314 5.6697 5.6808 6.3806 6.4593 6.5178 6.7284 6.7854 6.8576 λ/nm 220.17 218.68 218.25 194.31 191.95 190.22 184.27 182.72 180.80 f 0.0004 0.0004 0.0001 0.0062 0.0011 0.0037 0.0004 0.0123 0.0011 0 Eex/eV 5.6594 5.6735 5.7005 6.6005 6.6186 6.7133 6.7432 6.8516 6.8955 λ/nm 219.08 218.53 217.5 187.84 187.33 184.68 183.87 180.96 179.80 f 0.0004 0.0005 0.0002 0.0017 0.0124 0.0117 0.0004 0.0014 0.0056 5.1 Eex/eV 5.6538 5.6734 5.6984 6.5991 6.6206 6.7002 6.7336 6.8443 6.8952 C10∶0 λ/nm 219.29 218.54 217.58 187.88 187.27 185.05 184.13 181.15 179.81 f 0.0004 0.0005 0.0002 0.0136 0.0005 0.0115 0.0002 0.0052 0.0019 26 Eex/eV 5.6303 5.6676 5.6812 6.3752 6.4561 6.5099 6.7246 6.7745 6.8546 λ/nm 220.21 218.76 218.24 194.48 192.04 190.45 184.37 183.01 180.88 f 0.0004 0.0004 0.0001 0.0067 0.0010 0.0040 0.0005 0.0132 0.0010 -
[1] [2] [3] [4] [5] [6] [7] [8] [9] [10] [11] [12] [13] [14] [15] [16] [17] [18] [19] [20] [21] [22] [23] [24] [25] [26] [27] [28] [29] [30] [31] [32]
计量
- 文章访问数:4236
- PDF下载量:84
- 被引次数:0












下载:






