-
近年来, 与环境耦合的非厄米开放系统成为人们研究的热点. 非厄米体系中的奇异点会发生本征值和本征态的聚合, 是区分厄米体系的重要性质之一. 在具有宇称-时间反演对称性的体系中, 奇异点通常伴随着对称性的自发破缺, 存在很多值得探究的新奇物理现象. 以往的研究多关注无相互作用系统中的二阶奇异点, 对具有相互作用的多粒子系统, 及其中可能出现的高阶奇异点讨论较少, 特别是相关的实验工作尚未见报道. 本文研究了具有宇称-时间反演对称性的两量子比特体系, 证明了该体系中存在三阶奇异点, 并且量子比特间的伊辛型相互作用能够诱导体系在三阶奇异点附近出现能量的高阶响应, 可通过测量特定量子态占据数随时间的演化拟合体系本征值的方法来验证. 其次通过探究该体系本征态的性质, 展示了奇异点的态聚合特征, 并提出了利用长时间演化后稳态的密度矩阵验证态聚合的方法. 此外, 还将理论的两量子比特哈密顿量映射到两离子实验系统中, 基于
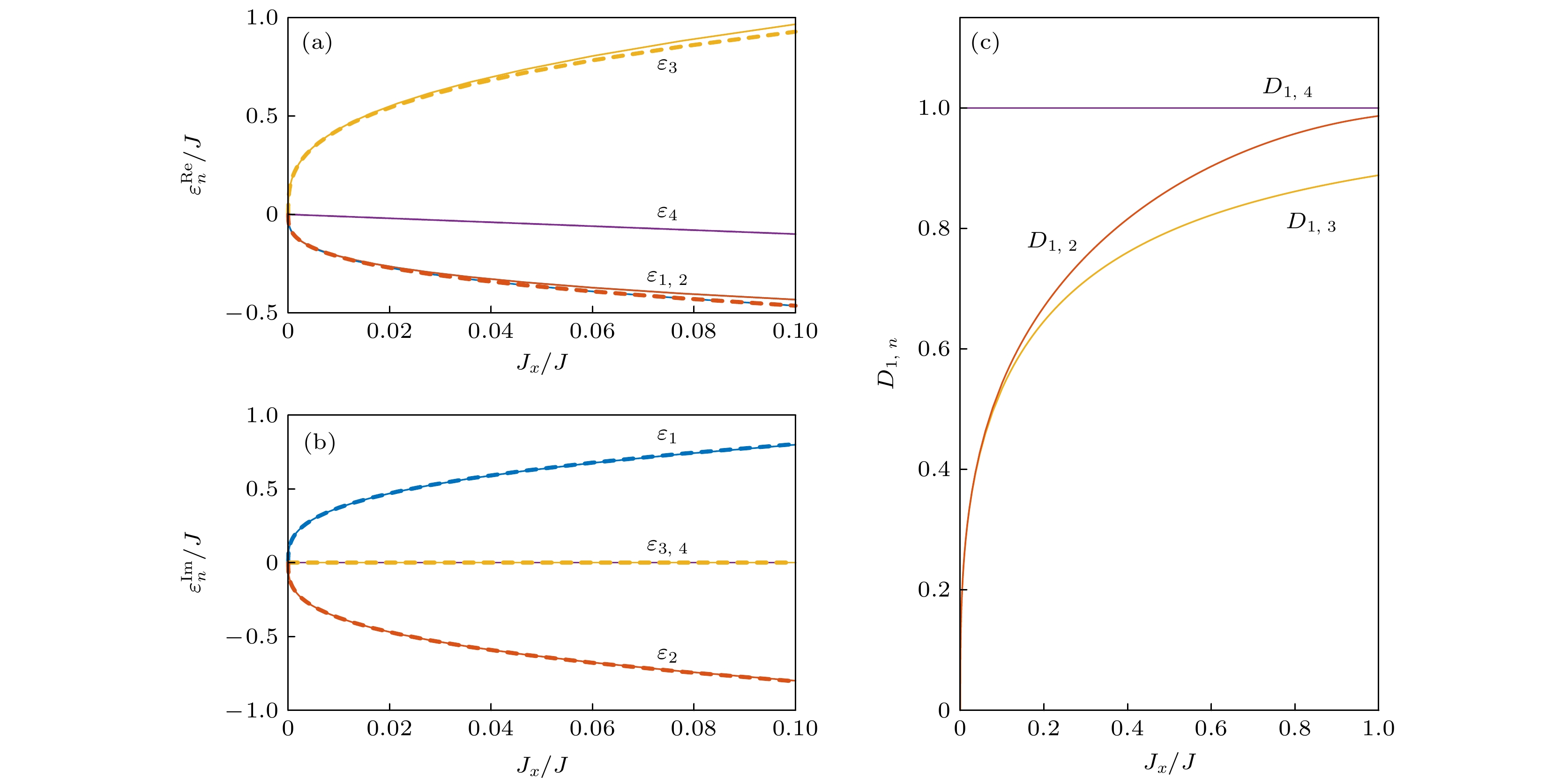
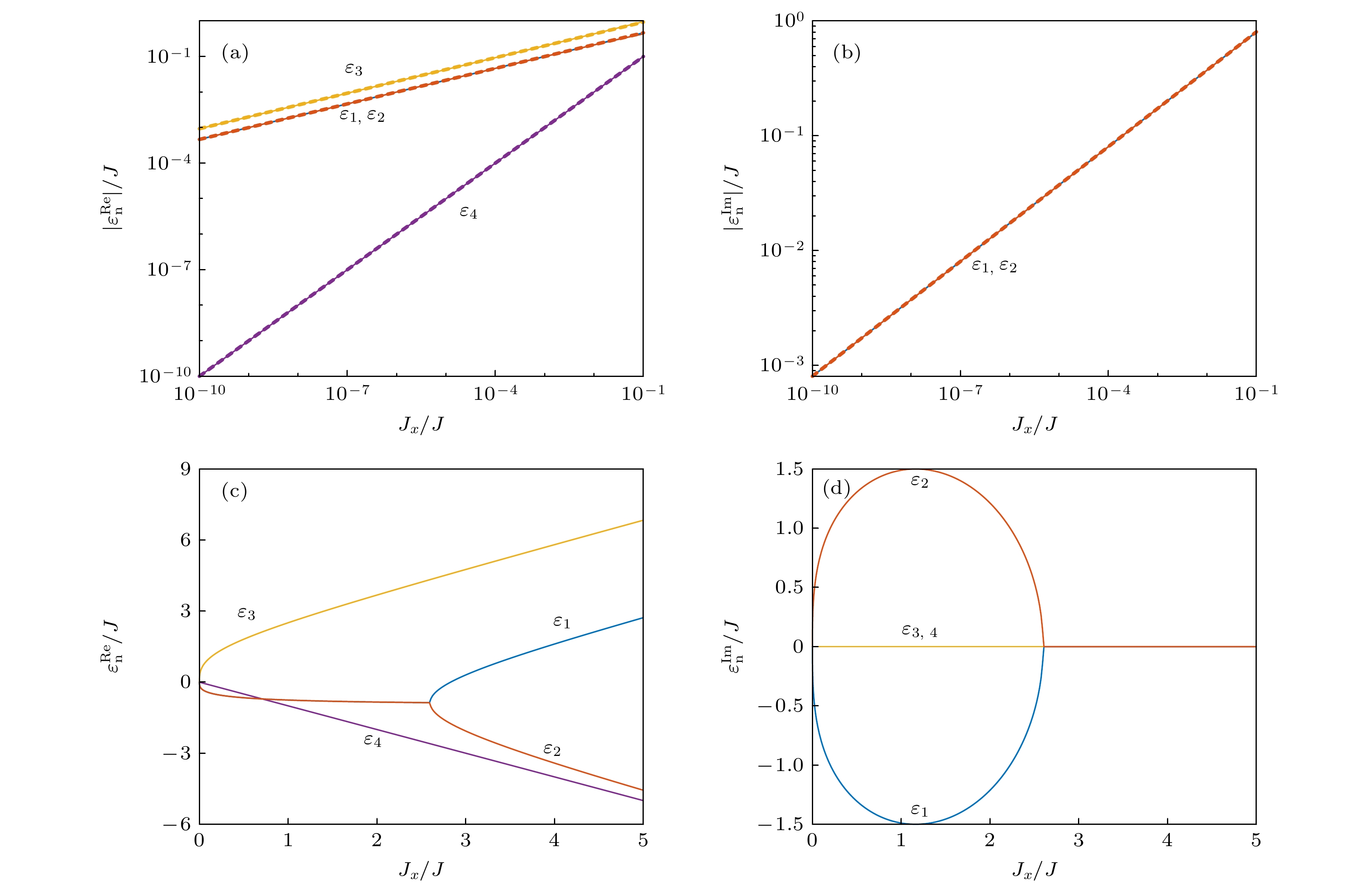
$ {^{171}{\rm{Yb}}}^+$ 囚禁离子系统设计了实现和调控奇异点, 进而验证三阶响应的实验方案. 这一方案具有极高的可行性, 并有望对利用非厄米系统实现精密测量和高灵敏度量子传感器提供新的思路.As one of the essential features in non-Hermitian systems coupled with environment, the exceptional point has attracted much attention in many physical fields. The phenomena that eigenvalues and eigenvectors of the system simultaneously coalesce at the exceptional point are also one of the important properties to distinguish from Hermitian systems. In non-Hermitian systems with parity-time reversal symmetry, the eigenvalues can be continuously adjusted in parameter space from all real spectra to pairs of complex-conjugate values by crossing the phase transition from the parity-time reversal symmetry preserving phase to the broken phase. The phase transition point is called an exceptional point of the system, which occurs in company with the spontaneous symmetry broken and many novel physical phenomena, such as sensitivity-enhanced measurement and loss induced transparency or lasing. Here, we focus on a two-qubit quantum system with parity-time reversal symmetry and construct an experimental scheme, prove and verify the features at its third-order exceptional point, including high-order energy response induced by perturbation and the coalescence of eigenvectors. We first theoretically study a two-qubit non-Hermitian system with parity-time reversal symmetry, calculate the properties of eigenvalues and eigenvectors, and prove the existence of a third-order exceptional point. Then, in order to study the energy response of the system induced by perturbation, we introduce an Ising-type interaction as perturbation and quantitatively demonstrate the response of eigenvalues. In logarithmic coordinates, three of the eigenvalues are indeed in the cubic root relationship with perturbation strength, while the fourth one is a linear function. Moreover, we study the eigenvectors around exceptional point and show the coalescence phenomenon as the perturbation strength becomes smaller. The characterization of the response of eigenvalues at high-order exceptional points is a quite difficult task as it is in general difficult to directly measure eigenenergies in a quantum system composed of a few qubits. In practice, the time evolution of occupation on a particular state is used to indirectly fit the eigenvalues. In order to make the fitting of experimental data more reliable, we want to determine an accurate enough expressions for the eigenvalues and eigenstates. To this aim, we employ a perturbation treatment and show good agreement with the numerical results of states occupation obtained by direct evolution. Moreover, we find that after the system evolves for a long enough time, it will end up to one of the eigenstates, which gives us a way to demonstrate eigenvector coalescence by measuring the density matrix via tomography and parity-time reversal transformation. To show our scheme is experimentally applicable, we propose an implementation using trapped $ ^{171} {\rm{Yb}}^{+}$ ions. We can map the parity-time reversal symmetric Hamiltonian to a purely dissipative two-ion system: use microwave to achieve spin state inversion, shine a 370 nm laser to realize dissipation of spin-up state, and apply Raman operation for Mølmer-Sørensen gates to implement Ising interaction. By adjusting the corresponding microwave and laser intensity, the spin coupling strength, the dissipation rate and the perturbation strength can be well controlled. We can record the probability distribution of the four product states of the two ions and measure the density matrix by detecting the fluorescence of each ion on different Pauli basis.[1] [2] [3] [4] [5] [6] [7] [8] [9] [10] [11] [12] [13] [14] [15] [16] [17] [18] [19] [20] [21] [22] [23] [24] [25] [26] [27] [28] [29] [30] [31] [32] [33] [34] [35] -
[1] [2] [3] [4] [5] [6] [7] [8] [9] [10] [11] [12] [13] [14] [15] [16] [17] [18] [19] [20] [21] [22] [23] [24] [25] [26] [27] [28] [29] [30] [31] [32] [33] [34] [35]
计量
- 文章访问数:4633
- PDF下载量:257
- 被引次数:0












下载:



