-
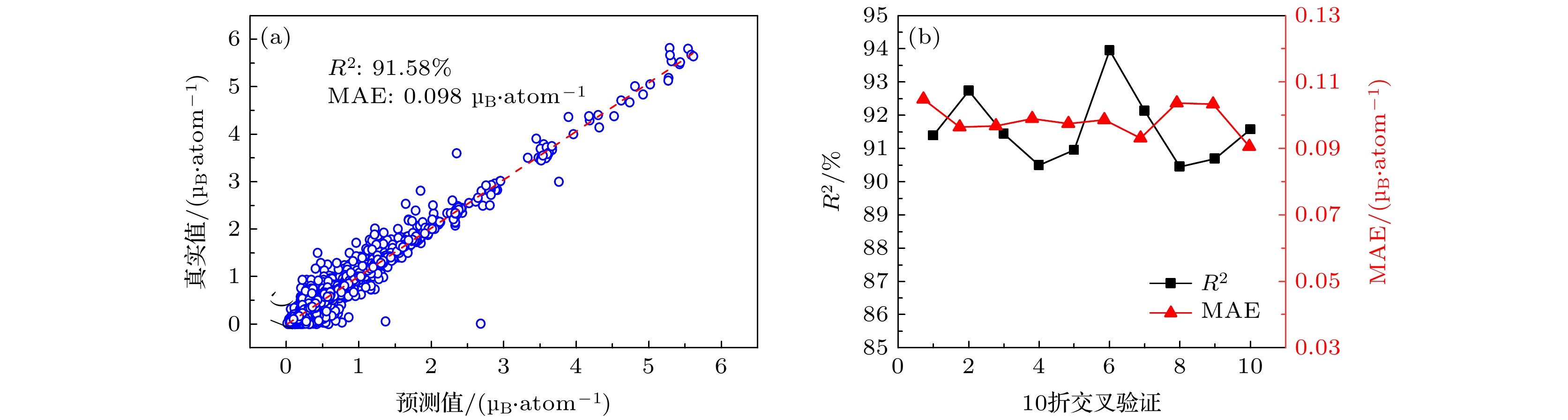
磁性材料是信息时代重要的基础材料, 不同的磁性基态是磁性材料广泛应用的前提, 其中铁磁基态是高性能磁性材料的关键要求. 本文针对材料项目数据库中的无机磁性材料数据, 采用机器学习技术实现无机磁性材料铁磁、反铁磁、亚铁磁和顺磁基态的分类以及无机铁磁性材料磁矩的预测. 提取了材料的元素和结构属性特征, 通过两步式特征选择方法分别为磁性基态分类和磁矩预测筛选了20个材料特征, 发现材料特征中的电负性、原子磁矩和原子外围轨道未充满电子数对两种磁性性能具有重要贡献. 基于机器学习的随机森林算法, 构建了磁性基态分类模型和磁矩预测模型, 采用10折交叉验证的方法对模型进行定量评估, 结果表明所构建的模型具有足够的精度和泛化能力. 在测试检验中, 磁性基态分类模型的准确率为85.23%, 精确率为85.18%, 召回率为85.04%, F1分数为85.24%; 磁矩预测模型的拟合优度为91.58%, 平均绝对误差为0.098 μ B/atom. 本研究为无机铁磁性材料的高通量分类筛选与磁矩预测提供了新的方法和选择, 可为新型无机磁性材料的设计研发提供参考.Magnetic materials are important basic materials in the information age. Different magnetic ground states are the prerequisite for the wide application of magnetic materials, among which the ferromagnetic ground state is a key requirement for future high-performance magnetic materials. In this paper, machine learning is used to study the classification of ferromagnetic, antiferromagnetic, ferrimagnetic and paramagnetic ground states of inorganic magnetic materials and the prediction of magnetic moments of inorganic ferromagnetic materials. We obtain 98888 inorganic magnetic materials data from the Materials Project database, containing material ids, chemical formulae, CIF files, magnetic ground states and magnetic moments, and extract 582 elemental and structural features for the inorganic magnetic materials by using Matminer. We design a two-step feature selection method. In the first step, RFECV is used to evaluate material features one by one to remove redundant features without degrading the model accuracy. In the second step, we rank the material features to further refine and select the most important material features for the model, and 20 material features are selected for the classification of magnetic ground states and the prediction of magnetic moments, respectively. Among the selected material features, it is found that the electronegativity, the atomic own magnetic moment and the number of unfilled electrons in the atomic peripheral orbitals all make important contributions to the classification of magnetic ground states and the prediction of magnetic moments. We build a magnetic ground state classification model and a magnetic moment prediction model by using the random forest, and quantitatively evaluate the machine learning models by using the 10-fold cross-validation approach, and the results show that the constructed machine learning models has sufficient accuracy and generalization capability. In the test set, the magnetic ground state classification model has an accuracy of 85.23%, a precision of 85.18%, a recall of 85.04%, and an F1 score of 85.24%; the magnetic moment prediction model has a goodness-of-fit of 91.58% and an average absolute error of 0.098 μ Bper atom. This study provides a new method and choice for high-throughput classification and screening of magnetic ground states of inorganic magnetic materials and predicting the magnetic moment of ferromagnetic materials.
[1] [2] [3] [4] [5] [6] [7] [8] [9] [10] [11] [12] [13] [14] [15] [16] [17] [18] [19] [20] [21] [22] [23] [24] [25] [26] [27] -
特征类型 特征 元素 Mode Electronegativity* Mean NdUnfilled* Max MeltingT Min Electronegativity Avg_dev NdUnfilled* Mode Number Range NUnfilled Max NdUnfilled Max Number Avg_dev NUnfilled Mean GSmagmom* Min NValence Max NUnfilled Range GSmagmom Range NfValence Mode NfUnfilled Avg_dev GSmagmom* Avg_dev NfValence Mean NfUnfilled Max GSmagmom Avg_dev NdValence Range NfUnfilled* Max AtomicWeight Mode MendeleevNumber Avg_dev NfUnfilled Mode AtomicWeight Avg_dev MendeleevNumber Max NfUnfilled Mean GSvolume_pa Min MendeleevNumber Range NdUnfilled Range MeltingT 结构 Vpa Sine coulomb matrix 0 * 该特征同时用于磁性基态分类和磁矩预测. 模型 超参数 RFC n= 400, features = 'log2', samples_split = 2, samples_leaf = 1 RFR n= 300, features = 'auto', samples_split = 2, samples_leaf = 1 评价指标(平均值) 本研究模型 文献[23] R2/% 91.58 — MAE/(μB·atom-1) 0.098 0.119 特征 物理含义 1 Mode Electronegativity* 材料组成元素电负性的众数 2 Min Electronegativity 材料组成元素电负性的最小值 3 Range NUnfilled 材料组成元素外围未充满电子数的范围 4 Avg_dev NUnfilled 材料组成元素外围未充满电子数的平均偏差 5 Max NUnfilled 材料组成元素外围未充满电子数的最大值 6 Mode NfUnfilled 材料组成元素f轨道未充满电子数的众数 7 Mean NfUnfilled 材料组成元素f轨道未充满电子数的平均值 8 Range NfUnfilled* 材料组成元素f轨道未充满电子数的范围 9 Avg_dev NfUnfilled 材料组成元素f轨道未充满电子数的平均偏差 10 Max NfUnfilled 材料组成元素f轨道未充满电子数的最大值 11 Range NdUnfilled 材料组成元素d轨道未充满电子数的范围 12 Mean NdUnfilled* 材料组成元素d轨道未充满电子数的平均值 13 Avg_dev NdUnfilled* 材料组成元素d轨道未充满电子数的平均偏差 14 Max NdUnfilled 材料组成元素d轨道未充满电子数的最大值 15 Mean GSmagmom* 材料组成元素磁矩的平均值 16 Range GSmagmom 材料组成元素磁矩的范围 17 Avg_dev GSmagmom* 材料组成元素磁矩的平均偏差 18 Max GSmagmom 材料组成元素磁矩的最大值 19 Max AtomicWeight 材料组成元素重量的最大值 20 Mode AtomicWeight 材料组成元素重量的众数 21 Mean GSvolume_pa 材料组成元素体积的平均值 22 Range MeltingT 材料组成元素熔点的范围 23 Max MeltingT 材料组成元素熔点的最大值 24 Mode Number 材料组成元素原子序数的众数 25 Max Number 材料组成元素原子序数的最大值 26 Min NValence 材料组成元素价电子的最小值 27 Range NfValence 材料组成元素f轨道价电子的范围 28 Avg_dev NfValence 材料组成元素f轨道价电子的平均偏差 29 Avg_dev NdValence 材料组成元素d轨道价电子的平均偏差 30 Mode MendeleevNumber 材料组成元素门捷列夫数的众数 31 Avg_dev MendeleevNumber 材料组成元素门捷列夫数的平均偏差 32 Min MendeleevNumber 材料组成元素门捷列夫数的最小值 33 Vpa 材料的晶胞体积 34 Sine coulomb matrix 0 正弦库仑矩阵的第0个特征值 * 该特征同时用于磁性基态分类和磁矩预测. -
[1] [2] [3] [4] [5] [6] [7] [8] [9] [10] [11] [12] [13] [14] [15] [16] [17] [18] [19] [20] [21] [22] [23] [24] [25] [26] [27]
计量
- 文章访问数:8184
- PDF下载量:283
- 被引次数:0












下载:




