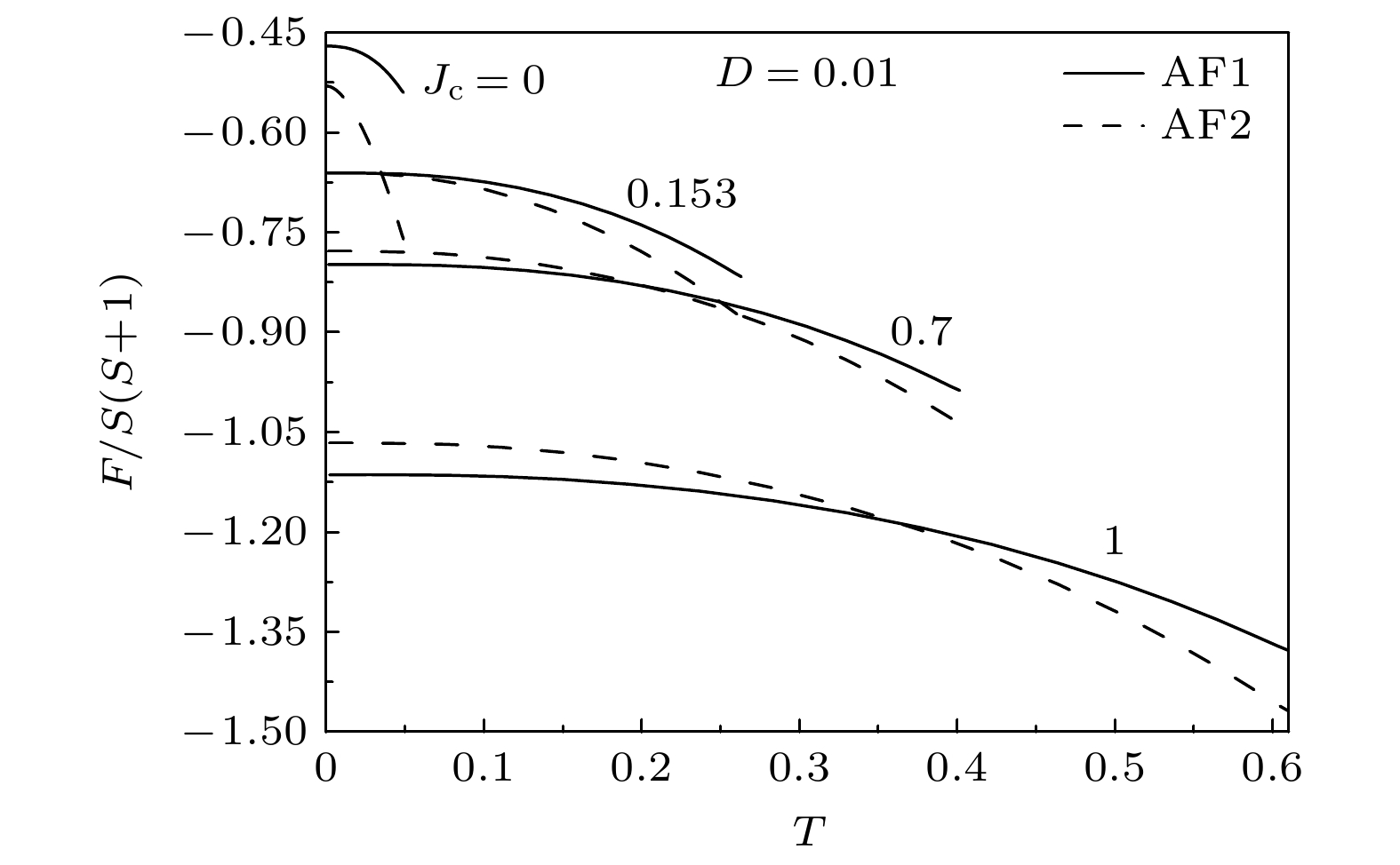
In this paper, we investigate the phase transition of the spin-1 frustrated model on a square-lattice bilayer by the double-time Green’s function method. The effects of the interlayer coupling parameter
$ {J_c} $
and single-ion anisotropy
Don phase transformation between the Nèel state (AF1) and collinear state (AF2) are explored. Our results show that if only the parameters
$ {J_c} $
and
Dare not equal to zero at the same time, the two states can exist and have the same critical temperature at
$ {J_2} = {J_1}/2 $
, which represents the nearest neighbor exchange. Under such parameters, a first-order phase transformation between these two states below the critical point can occur. For
$ {J_2} \ne {J_1}/2 $
, although both states may exist, their Neel temperatures differ from each other. If the Nèel point of the AF1 (AF2) state is larger, then at very low temperature, the AF1 (AF2) state is more stable. Thus, in an intermediate temperature, a first-order phase transition between these two states may also occur.