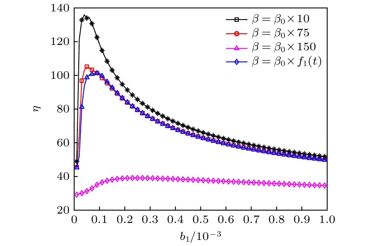
Nonlinear frequency modulation (NLFM) signal is widely used in radar, communication and signal processing. The response of nonlinear system excited by this kind of signal has rich information. At the same time, enhancing different types of signals by resonance phenomenon has unique advantages in the field of signal processing. Compared with other signal processing methods, such as empirical mode decomposition, variational mode decomposition, wavelet transform, signal filtering, etc., this kind of method can not only enhance the signal, but also effectively suppress the interference noise. Therefore, it has certain significance to study the nonlinear system optimal response excited by different NLFM signals and enhance the NLFM signal through resonance phenomenon. In this paper, what is mainly studied is the nonlinear system resonance phenomenon excited by different NLFM signals, which is different from in previous studies. Firstly, a real-time scale transformation method is proposed to process the NLFM signals, and its basic principle is to match different NLFM signals by real-time scale coefficients and system parameters. The signal frequency at each time corresponds to the coefficients with different scales and system parameters, thereby realizing the optimal resonance response at each time. In order to describe the optimal resonance response excited by the NLFM signal more accurately, unlike the traditional spectral amplification factor, the real-time spectral amplification factor is introduced as an evaluation index. Then, the influence of system parameters on the optimal system resonance response is discussed, and the optimal resonance region is obtained, which means that the optimal resonance response can be achieved by selecting the parameters in a reasonable range. This method not only greatly enhances the signal characteristics, but also maintains the continuity of signal time-frequency characteristics. Finally, the real-time scale transformation method is compared with the general scale transformation method, showing the superiority of the proposed method in processing NLFM signal. The method and the results of this paper show some potential in dealing with complex NLFM, which provides a reference for NLFM signal enhancement and detection, and has a certain practical significance in signal enhancement. Furthermore, the relevant influence law of the system optimal response excited by the NLFM signal is given, which has a certain reference value for studying the system dynamic behavior under different signal excitations.