-
理论上研究了第二类Weyl半金属的金属-超导-金属(NSN)结在倾斜一定角度后体系的散射性质, 计算结果显示倾斜角可以决定体系的散射机制, 当倾斜角较小时, NSN结中存在两种局域Andreev反射和两种电子隧穿, 包括径向Andreev反射、镜面Andreev反射、径向电子隧穿和镜面电子隧穿. 随着倾斜角的增加, 局域Andreev反射逐渐被抑制, 当倾斜角超过临界角后, NSN结中的输运过程与正常金属的NSN结相同, 会同时发生电子正常反射、电子隧穿、局域Andreev反射和交叉Andreev反射. 此外, 体系的总电导不受化学势的影响, 并且在倾斜角小于临界角时不受入射角的影响, 而在倾斜角大于临界角时随入射角的增加而减小, 而交叉Andreev反射电导在某些条件下会随入射角的增加而增强.
-
关键词:
- 第二类Weyl半金属/
- Andreev反射/
- 金属-超导-金属结
The quantum transport behavior of the normal-superconductor-normal (NSN) junction is studied theoretically based on a type-II Weyl semimetal which is rotated a certain angle. The calculation results show that the orientation angle determines the scattering mechanism of the system. In the NSN junction, there exist simultaneously two local Andreev reflections (ARs) (retro AR and specular AR) and two local election transmissions (ETs) (retro ET and specular ET) when the orientation angle is small. Moreover, the retro AR is gradually suppressed with the further increase of the orientation angle. When the orientation angle exceeds the critical angle, the scattering mechanism in NSN junction is the same as that of the NSN junction in normal mental, i.e. the normal electron reflection, normal electron transmission, retro Andreev reflection and crossed Andreev reflection take place simultaneously. In addition, the total conductance of the system is unaffected by the chemical potential, nor by the incident angle when the orientation angle is smaller than the critical angle, but decreases with the increase of the incident angle when the orientation angle is greater than the critical angle. The conductance of crossed Andreev reflection increases with incident angle increasing under some conditions.[1] [2] [3] [4] [5] [6] [7] [8] [9] [10] [11] [12] [13] [14] [15] [16] [17] [18] [19] [20] [21] [22] [23] [24] [25] [26] [27] [28] [29] [30] [31] [32] [33] [34] [35] [36] [37] [38] [39] [40] [41] [42] [43] [44] [45] [46] [47] [48] [49] [50] [51] [52] [53] [54] -
倾斜角
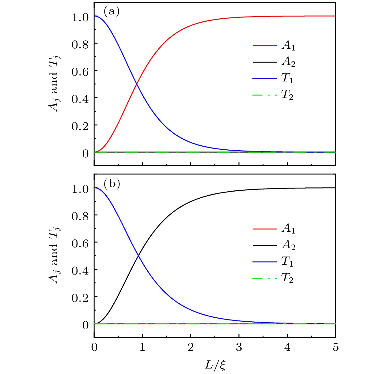
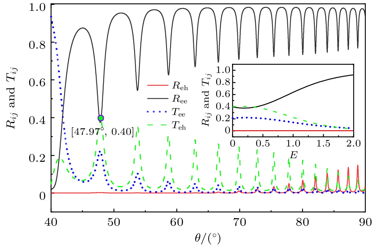
($0<\theta<90^{\circ}$)参数 散射系数的变化 $0^{\circ} < \theta\leqslant\theta_{ {\rm{c} } }$ 倾斜角$(\theta)$ θ较小时, Andreev反射占主导; 随着θ的增加, Andreev反射逐渐被抑制; 当$\theta=\theta_{{\rm{c}}}$ 时, 只发生径向电子隧穿$T_1$, 其他散射过程被完全抑制. 入射能$(E)$ $E < \varDelta$ 时, 只发生Andreev反射, 电子隧穿被完全抑制. $E > \varDelta$ 时, Andreev反射随E的增加逐渐被抑制, 其类型取决于$E, \mu, v_1$的关系. 化学势$(\mu)$ $E<\mu$时, 只发生径向Andreev反射($A_1$); $E>\mu$时, 只发生镜面Andreev反射($A_2$), $E=\mu$是两种Andreev 反射互相转换的临界点. 倾斜系数$(v_1)$ $v_1\neq 1.1$, 两种Andreev反射共存; $v_1=1.1$, 只存在一种Andreev反射, 并且$A_1$随着$v_1$的增加而增大, $A_2$的变化趋势与$A_1$正相反. 超导体长度$(L)$ L较小时, Andreev 反射系数单调递增; $L>3\xi$以后, Andreev反射系数稳定在1. $\theta_{{\rm{c}}}<\theta<90^{\circ}$ 倾斜角$(\theta)$ θ较小时, 交叉Andreev反射($T_{{\rm{eh}}}$)被完全抑制; 随着θ的增加, 电子正常反射($R_{\rm ee}$)和局域Andreev反射($R_{{\rm{eh}}}$)增强, 电子隧穿($T_{\rm ee}$)减小, 交叉Andreev反射($T_{{\rm{eh}}}$)先增大后减小, 散射系数而呈振荡型变化. 入射能$(E)$ 交叉Andreev反射($T_{{\rm{eh}}}$)效果最好时, 随着E的增加, $R_{\rm ee}$单调递增, $T_{\rm ee}$和$T_{{\rm{eh}}}$先增大后减小, 而$R_{{\rm{eh}}}=0$, 其中$T_{{\rm{eh}}}$的最大值可达到0.43. -
[1] [2] [3] [4] [5] [6] [7] [8] [9] [10] [11] [12] [13] [14] [15] [16] [17] [18] [19] [20] [21] [22] [23] [24] [25] [26] [27] [28] [29] [30] [31] [32] [33] [34] [35] [36] [37] [38] [39] [40] [41] [42] [43] [44] [45] [46] [47] [48] [49] [50] [51] [52] [53] [54]
计量
- 文章访问数:4217
- PDF下载量:189
- 被引次数:0












下载:




