专题: 低维材料的新奇物性
2022, 71 (12): 126101.
doi: 10.7498/aps.71.20220035
摘要 +
低维材料的结构探索是我们全面认识元素物态的关键. 近年来, 研究方法的发展使包括一维原子链在内的各种低维结构逐渐被报道. 根据一维限域材料的发展现状, 本文重点对直径1 nm以下单质材料的结构和物理性质进行了综述, 并简要总结了此类研究中常用的实验技术和理论方法. 希望通过材料结构特性的解读和研究方法的讨论, 说明目前理论计算层面存在的困难及需要面临的挑战, 并以此对一维限域材料的研究前景进行展望.
2022, 71 (12): 127101.
doi: 10.7498/aps.71.20220079
摘要 +
理解强关联电子体系是一个长期的重要目标, 该体系的魅力不仅在于其背后蕴藏着深刻的物理, 还在于其中涌现出的丰富物质态在量子调控、量子计算等领域具有巨大的潜在应用价值. 同时, 理论上非微扰地理解强关联电子体系是极其困难的, 一直充满挑战. 量子蒙特卡罗计算是一类非微扰计算的标准方法, 有助于对强关联电子体系提供非微扰的理解, 因而广泛运用于凝聚态和高能物理领域. 然而, 量子蒙特卡罗计算通常会受到负符号问题的困扰. 本文将具体介绍一些无负符号关联电子模型的设计思路, 并讨论我们近期提出的符号边界理论. 通过设计无负符号或者具有代数符号行为的强关联电子模型, 可以帮助人们研究很多重要的量子多体问题, 包括巡游磁性量子临界行为、非常规超导和磁性序的竞争, 以及莫尔(moiré)量子物质中的关联物相与相变等.
2022, 71 (12): 127102.
doi: 10.7498/aps.71.20220054
摘要 +
二维过渡金属硫族化合物作为二维半导体材料领域研究的重要分支, 凭借较强的光-物质相互作用和独特的自旋-谷锁定等特性, 吸引了广泛而持久的关注. 单层的二维过渡金属硫族化合物半导体具有直接带隙, 在二维的极限下, 由于介电屏蔽效应的减弱, 电荷间的库仑相互作用得到了显著的增强, 其光学性质主要由紧密束缚的电子-空穴对—激子主导. 本文简单回顾了近年来二维过渡金属硫族化合物光谱学的研究历程, 阐述了栅压和介电环境对激子的调制作用, 之后重点介绍了一种新颖的激子探测方法. 由于激发态激子(里德伯态)的玻尔半径远大于单原子层本身的厚度, 电子-空穴对之间的电场线得以延伸到自身之外的其他材料中. 这使得二维半导体材料的激子可以作为一种高效的量子探测器, 感知周围材料中与介电函数相关的物理性质的变化. 本文列举了单层WSe2激子在探测石墨烯-氮化硼莫尔(moiré)超晶格势场引发的石墨烯二阶狄拉克点, 以及WS2/WSe2莫尔超晶格中分数填充的关联绝缘态中的应用. 最后, 本文展望了这种无损便捷、高空间分辨率、宽适用范围的激子探测方法在其他领域的潜在应用场景.
2022, 71 (12): 127103.
doi: 10.7498/aps.71.20220052
摘要 +
电荷密度波(charge density wave, CDW)是低维体系中存在的一种重要的物理现象, 对CDW的研究有助于人们对低维系统中内禀电声子耦合和关联等相互作用有更深层次的认识, 同时通过对材料中CDW的精准调控可以有效控制低维材料中磁性、超导等物理性质. CDW的研究最早起源于一维和准一维材料, 本文首先简要介绍了CDW的一些基本性质和一维体系中CDW的一些研究. 而近些年的研究发现CDW在很多二维材料中普遍存在. 本文将着重介绍二维材料中CDW的最新研究进展. 通过介绍二维材料中CDW的基本物性和产生机理, 讨论CDW与Mott相、超导序和其他序(自旋密度波、配对密度波)之间的相互作用; 探讨CDW中存在的多电子集体激发和手性性质; 介绍掺杂、高压和激光脉冲等手段对CDW的调控; 最后展望相关领域中可能的研究方向.
2022, 71 (12): 127104.
doi: 10.7498/aps.71.20220272
摘要 +
极化激元—光与物质中的电子、声子、激子或磁振子等发生强耦合而形成的一种新的集体振荡模式, 近年来在纳米光子学领域受到了广泛的关注. 低维材料极化激元拥有的高空间压缩比、低损耗、光电可调控等特点使其在微纳光子学器件中有着极高的潜在应用价值, 比如石墨烯中波长可调的等离极化激元、六方氮化硼中高质量的双曲声子极化激元、三氧化钼中面内各向异性的拓扑声子极化激元、碳纳米管中的一维拉廷格液体等离极化激元等. 这些极化激元相互之间以及极化激元与外场之间还能进一步发生显著的耦合相互作用, 产生各种丰富新奇的物理现象, 极大地拓展了极化激元的应用前景. 本文以几种典型的低维纳米材料中极化激元的耦合特性为例, 从表征纳米极化激元的扫描近场光学显微技术出发, 首先简单介绍几种典型极化激元的基本性质, 然后详细讨论各种极化激元之间以及极化激元与外场的耦合, 最后展望极化激元耦合作用的潜在应用.
2022, 71 (12): 127202.
doi: 10.7498/aps.71.20220064
摘要 +
二维量子材料具有诸多新奇的电子态物性, 又易受到外部因素的影响和调控, 因此成为近年来凝聚态物理等研究领域的前沿课题之一. 而当以不同的旋转角度和堆叠次序制备出二维量子材料的异质结时, 莫尔超晶格的形成又进一步诱导了异质结电子能带结构的重整化, 从而形成电子平带结构, 再结合外加电场、磁场、应力场等外部条件, 即可实现对材料整体新奇物性的设计与调控. 本文主要围绕转角石墨烯及过渡金属硫族化合物异质结中的相关研究展开讨论, 包括与平带物理相关的强关联效应、非常规超导现象、量子反常霍尔效应、拓扑相以及电子晶体等行为, 并对未来的研究发展进行了展望.
2022, 71 (12): 127302.
doi: 10.7498/aps.71.20220225
摘要 +
在二维材料平带中电子的有效质量急剧增大, 电子的库仑排斥能将远远大于电子的动能, 电子-电子相互作用效应显著, 对应地将会产生一系列新奇的强关联量子物态, 如量子霍尔铁磁态、分数量子霍尔效应、量子反常霍尔效应、超导态、Wigner晶体等. 因此人们对于二维材料中的平带产生了极大的兴趣. 近几年, 与平带相关的强关联物性研究成为了凝聚态物理领域的前沿课题. 实验上发展了多种方法, 例如通过外加强磁场、构筑应变结构、引入转角等方式在二维材料中引入平带. 本文通过对二维体系中平带的实现方法及其带来的新奇物理现象进行回顾, 希望为相关领域的研究人员提供参考和借鉴.
2022, 71 (12): 127304.
doi: 10.7498/aps.71.20220118
摘要 +
单层FeSe/SrTiO3中的界面超导增强是近年来高温超导领域的重要发现. 该体系中SrTiO3衬底对FeSe的超导增强机制已被广泛研究, 其调控作用主要表现为两个方面: 电荷掺杂和界面电声耦合. 然而, 关于FeSe薄膜本身的电子特性研究还不够充分. 本文介绍该体系超导增强机制的新进展: FeSe薄膜中的电子条纹相及其与超导的关联. 通过扫描隧道显微镜结合分子束外延生长技术, 对不同厚度的FeSe薄膜进行了系统研究. 我们发现FeSe薄膜中电子倾向于排成条纹状结构, 并观测到该条纹相随层厚变化显现出从短程到长程的演化. 条纹相是一种电子液晶态, 它源于薄层FeSe中被增强的电子关联作用. 表面电子掺杂一方面会减弱FeSe薄膜中的电子关联作用, 逐渐抑制条纹相; 另一方面会诱导超导相变, 而剩余的条纹相涨落会对超导电性带来额外增强. 我们的结果加深了对低维界面超导体系的认识, 也揭示了FeSe薄膜本征的特异性, 完善了对FeSe/SrTiO3超导增强机制的理解.
2022, 71 (12): 127305.
doi: 10.7498/aps.71.20220349
摘要 +
铁电材料因具有电场可调的自发极化, 在各类功能器件中有着广泛的应用. 受器件小型化发展趋势的影响, 二维范德瓦耳斯铁电材料及其层状母体块材成为了铁电领域的重点研究对象之一. 近年来, 研究人员已经制备出了数种二维范德瓦耳斯铁电材料, 并通过理论计算与实验结合的方法发现这些材料及其母体块材具有许多优良的、新奇的物理性质. 本文主要介绍近年来几种范德瓦耳斯铁电材料的一些研究进展, 包括体相范德瓦耳斯材料CuInP2S6的新奇物性的理论预测与实验证实, 以及两类二维范德瓦耳斯铁电材料M2X2Y6 (M = 金属, X = Si, Ge, Sn, Y = S, Se, Te), QL-M2O3 (M = Al, Y)及相关功能器件的理论设计, 最后对范德瓦耳斯铁电材料蕴含的丰富物理内涵及其发展前景进行了简要探讨, 希望能够为该领域的相关研究提供一些思路和参考.
2022, 71 (12): 127306.
doi: 10.7498/aps.71.20220015
摘要 +
二硫化钼是一种层状的过渡金属硫族化合物半导体, 它在二维自旋电子学、谷电子学及光电子学领域有很多的应用. 本综述以二硫化钼为代表, 系统介绍其单层、双层及转角双层的堆垛和能带结构; 介绍了转角双层莫尔超晶格的制备方法、以及低温电学输运方面的实验进展, 例如超导和强关联现象; 分析了转角过渡金属硫化物莫尔超晶格在优化接触和样品质量等方面存在的一些挑战, 并展望该领域未来的发展.
2022, 71 (12): 127307.
doi: 10.7498/aps.71.20220085
摘要 +
探索低维材料的新奇物性是当前凝聚态物理和材料科学基础研究的一个重要前沿. 应变是调控低维材料物性的一个重要手段. 相比于块体材料, 低维材料通常具有良好的力学柔韧性, 并表现出敏锐的结构-电子响应关系, 因此可以通过结构变形对材料电子性质进行有效调控. 本文主要目的是介绍二维材料中通过非均匀应变获得新奇物性的研究进展. 主要讨论两个效应, 即赝磁场效应和挠曲电效应. 具体来说, 通过解析理论、实验进展、计算模拟以及围绕这些效应的应用等方面介绍相关研究进展. 从计算模拟的角度看, 由于非均匀应变破坏了晶体的平移对称性, 基于周期性边界条件的量子力学计算方法如第一性原理不再适用. 本文将介绍一个专门用来模拟非均匀应变的原子级计算方法, 即广义布洛赫方法, 并简要介绍该方法的一些具体应用.
2022, 71 (12): 127308.
doi: 10.7498/aps.71.20220100
摘要 +
量子自旋霍尔效应通常存在于二维拓扑绝缘体中, 其具有受拓扑保护的无耗散螺旋边界态. 2014年, 理论预言单层1T' 相过渡金属硫族化合物是一类新型的二维量子自旋霍尔绝缘体. 其中, 以单层1T'-WTe2为代表的材料体系具有原子结构稳定、体带隙显著、拓扑性质易于调控等许多独特的优势, 对低功耗自旋电子器件的发展具有重要的意义. 本文总结了单层1T'-WTe2在实验上的最新进展, 包括基于分子束外延生长的材料制备, 螺旋边界态的探测及其对磁场的响应, 掺杂、应力等手段在单层1T'-WTe2中诱导出的新奇量子物态等. 也对单层1T'-WTe2未来可能的应用前景进行了展望.
2022, 71 (12): 127309.
doi: 10.7498/aps.71.20220347
摘要 +
在二维范德瓦耳斯材料中, 可以通过转角及晶格失配构造周期性的莫尔超晶格. 自从实验上在“魔角”石墨烯系统中观察到关联绝缘体态和超导电性以来, 利用各种二维范德瓦耳斯材料构造莫尔超晶格并研究其中的新奇量子物态成为了凝聚态物理研究的热点和前沿问题. 本文主要综述了最近几年在二维半导体过渡金属硫族化合物莫尔超晶格系统中的相关实验进展. 在该系统中实现电子“平带”不依赖于特定魔角, 实验上, 一系列的关联电子物态和拓扑电子物态被相继发现和证实. 进一步的理论和实验研究有望在该系统中揭示更多的受电子关联作用和拓扑物理共同支配的新奇量子物态.
2022, 71 (12): 127402.
doi: 10.7498/aps.71.20212289
摘要 +
低维超导材料由于具有尺度接近量子临界尺寸的优势, 能够观测到显著的超导量子振荡效应, 因此成为研究超导量子振荡效应的优异平台. 由于这些量子振荡效应的周期、振幅、相位与磁通涡旋的量子化及运动方式、超导电子的配对机制、特定外部条件下超导体中的涨落和激发现象密切相关, 并且它们还能直观地反映超导材料的几何结构对其超导物性的影响, 因此对低维超导体中振荡效应的研究直接反映了超导体的本质规律, 成为研究材料超导机制的一种重要手段, 有着深邃的物理内涵和丰富的研究价值. 本文将探讨三类能够在低维超导材料中观测到的典型超导量子振荡效应: 利特尔-帕克斯效应、磁通涡旋运动导致的振荡效应和韦伯阻塞效应, 从研究手段、理论预期、实验现象以及实验结果诸方面综述其中所揭示的深刻物理规律, 并展望低维超导体的量子振荡效应在量子计算、器件物理和低温物理等领域的应用价值.
2022, 71 (12): 127403.
doi: 10.7498/aps.71.20220856
摘要 +
在采用机械解理方法制备的二维关联电子系统薄层样品中, 人们观察到了丰富的新奇物性. 发展新的宏观二维块材制备方法, 有可能在块体材料中发现与薄层样品类似的新奇物性. 结合传统的表征手段, 可以进一步地加深对低维系统的理解, 并将这些新奇物性推向潜在的应用领域. 本文将介绍一类有机分子插层调控二维关联电子系统的方法, 重点介绍层状结构材料在有机分子插层后结构和物理性质的变化, 分析其演化过程. 文章将介绍有机分子插层法在热电、磁性、电荷密度波和超导电性等物性调控方面的研究进展.
2022, 71 (12): 127504.
doi: 10.7498/aps.71.20220301
摘要 +
具有磁各向异性的二维磁性材料可在有限温度下和单层极限下形成磁有序, 其宏观磁性与层数、堆叠形式等密切相关且其磁交换作用可被多种外场调控. 这些新奇特性赋予了二维磁性材料丰富的物理内涵和潜在的应用价值, 受到了研究者的广泛关注. 本文着重介绍近年来二维磁体在实验和理论计算两方面的研究进展, 首先从几种二维磁性材料中常见的磁交换机制出发, 随后以组分作为分类依据, 详细介绍一些主要二维磁体的几何和电子结构以及它们的磁耦合方式; 在此基础上, 再讨论如何通过外部(外场和界面)和内部(堆叠和缺陷)两类方式调控二维磁体的电子结构和磁性; 继而探讨如何利用这两类调控方式, 将上述材料应用于实际自旋电子学器件以及磁存储等方面的潜力; 最后总结和展望了目前二维磁性材料遇到的困难和挑战以及未来可能的研究方向.
2022, 71 (12): 127505.
doi: 10.7498/aps.71.20220727
摘要 +
二维磁性材料的自发磁化可以维持到单层极限下, 为在二维尺度理解和调控磁相关性质提供了一个理想的平台, 也使其在光电子学和自旋电子学等领域具有重要的应用前景. 晶体结构为层状堆叠的过渡金属卤化物具有部分填充的d轨道和较弱的范德瓦耳斯层间相互作用等特性, 是合适的二维磁性候选材料. 结合分子束外延 (MBE)技术, 不仅可以精准调控二维磁性材料生长达到单层极限, 而且可以结合扫描隧道显微术等先进实验技术开展原子尺度上的物性表征和调控. 本文详细介绍了多种二维磁性过渡金属卤化物的晶体结构和磁结构, 并展示了近几年来通过MBE技术生长的二维磁性过渡金属卤化物以及相应的电学和磁学性质. 随后, 讨论了基于MBE方法对二维磁性过渡金属卤化物的物性进行调控的方法, 包括调控层间堆垛、缺陷工程以及构筑异质结. 最后, 总结并展望了二维磁性过渡金属卤化物研究领域在未来的发展机会与挑战.
2022, 71 (12): 128102.
doi: 10.7498/aps.71.20220405
摘要 +
利用扫描隧道显微镜可以在单原子层次上对材料进行操纵, 改变其结构与特性, 实现原子级结构与物性的精准调控. 近年来, 扫描隧道显微镜原子操纵技术被广泛用于新型低维材料的精准构筑与物性调控. 本文主要介绍应用原子操纵技术对低维材料物性调控的最新研究进展, 总结了4种主要探针操纵模式: 1)探针局域电场模式; 2)调节探针-样品垂直间距模式; 3)无损形态调控模式; 4)可控裁剪刻蚀模式. 通过这些探针操纵模式引入局域的电场、磁场、应力场等, 实现在单原子层次上对低维材料的电荷密度波、近藤效应、非弹性隧穿效应、马约拉纳束缚态等新奇物性进行精准地调控.
2022, 71 (12): 123601.
doi: 10.7498/aps.71.20212426
摘要 +
热激活延迟荧光(TADF)作为一种特殊的分子荧光机制, 对于提高发光效率有着重要意义. 以C60和C70为代表的碳富勒烯具有高对称结构和离域π电子, 被广泛证明具有显著的TADF效应; 相比之下, 其他类富勒烯团簇的光物理性质尚不清楚. 本文利用含时密度泛函理论探索了一系列类富勒烯团簇的激发态性质, 包括实验合成的具有不同尺寸的氮化硼笼型团簇B12N12, B24N24和B36N36, 以及与B12N12结构相同、元素组成不同的B12P12, Al12N12和Ga12N12. 计算结果表明, 这些类富勒烯化合物团簇具有2.83—6.54 eV的能隙, 主要吸收紫外光, 荧光发射波长在可见光区间, 包括红光、橙光、蓝光和紫光. 它们的第一激发单重态和三重态的能量差较小(ΔEST < 0.29 eV), 因此可能通过系间窜越和反系间窜越发生TADF过程. 导致ΔEST较低的原因是这些化合物团簇的最高占据分子轨道和最低未占据分子轨道分布在不同的元素上, 使得二者重叠度较低. 这些理论结果揭示了类富勒烯团簇的发光性质和可能的荧光机理, 为寻找和设计稳定高效的发光材料提供了重要指导.
2022, 71 (12): 127203.
doi: 10.7498/aps.71.20220029
摘要 +
石墨烯是一种特殊的二维材料, 其独特的能带结构允许人们通过电场来调控其载流子的类型和浓度, 因此, 在构建双极型纳米电子器件方面具有潜在应用前景. 本文基于紧束缚格点模型, 利用非平衡格林函数方法及Landauer-Büttiker公式, 研究了石墨烯p-n结在磁场中的电输运热耗散问题. 在强磁场作用下, 结的两边均处于量子霍尔相, 存在拓扑保护的手性边缘态. 直觉上, 这种拓扑保护的手性边缘态应当是无热耗散的. 但本文研究发现, 当有耗散源时, 尽管手性边缘态受到拓扑保护, 热耗散却依然可以发生. 对于完美的石墨烯, 单极结输运时热耗散发生在体系边缘; 偶极结输运时在体系边缘和结的界面处均可以发生热耗散. 当无序存在时, 无论单极结还是偶极结, 无序均能增强热耗散. 此外, 本文还研究了不同位置处的电子能量分布, 发现热耗散是否发生只取决于电子是否处于非平衡分布. 这些结果表明拓扑只能保护电子的传播方向, 却不能禁止热耗散的发生.
2022, 71 (12): 127204.
doi: 10.7498/aps.71.20220062
摘要 +
石墨烯是低维材料领域研究的热点, 在这一体系中研究发现了诸多新奇的量子现象, 深入理解石墨烯的电输运性质对于其在未来电子学器件中的应用具有重要的意义. 本文通过热分解的方法在SiC单晶衬底上获得外延的双层石墨烯, 并系统研究了其电输运性质. 在小磁场范围内观测到弱局域化效应, 并在较大的磁场区间发现了不饱和线性磁阻. 通过角度依赖的磁阻测量, 发现该线性磁阻现象符合二维体系的磁输运特征. 还在平行场下观测到了负磁阻效应, 可能是由双层石墨烯的转角莫尔条纹导致的局部晶格起伏导致的. 本文工作加深了对于外延生长的层间具有一定转角的双层石墨烯的电输运性质的认识.
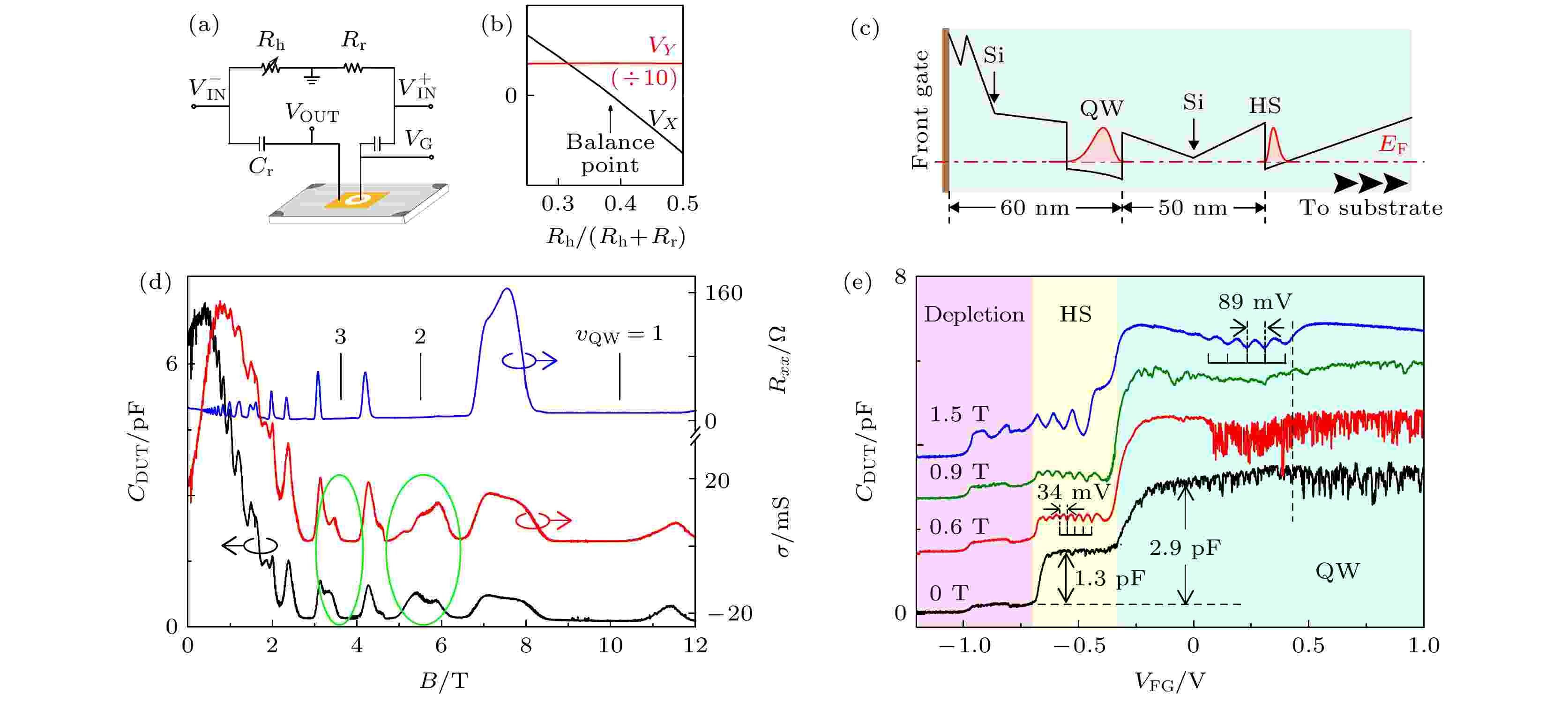
2022, 71 (12): 127303.
doi: 10.7498/aps.71.20220246
摘要 +
介绍了两种极低温环境下无接触电极输运的测量方法—电容测量和表面声波测量. 两种方法通过高频电场与电子的相互作用来研究量子系统体态的物理特性. 首先介绍了在极低温下通过高精度电容测量研究高质量二维电子气特性的初步结果. 实验装置具备在10 mK—300 K, 0—14 T环境中对小于1 pF的电容实现0.05%以上分辨率的能力. 还介绍了利用表面声波研究二维电子系统的结果, 可以在0.1 nW的输入激励下获得小于10–5的灵敏度. 这些测量手段在研究二维系统尤其是无法制作高质量接触电极的材料中具有广泛的应用前景.
封面文章
2022, 71 (12): 127401.
doi: 10.7498/aps.71.20220050
摘要 +
铋(Bi)和铅(Pb)都是重元素, 有很强的自旋-轨道耦合作用, 由于原子半径接近, 可形成丰富的原子取代合金结构. 尽管对高温合金相有了较深入的研究, 但对其低温物相的结构和超导物性的认识还很不全面. 本文采用低温共沉积和低温退火的方法, 在Si(111)-(7 × 7)衬底上制备了一种基于Bi(110)单晶结构中部分Bi原子被Pb取代的铅铋合金低温相超薄膜新结构, 利用扫描隧道显微术(STM)对其结构和电子学性质进行了表征. 通过结构表征, 确定了合金薄膜表面呈现$\sqrt 2 \times \sqrt 2 R{45^ \circ }$ 重构的PbBi3合金相, 其母体Bi(110)结构中25%的Bi原子被Pb取代了. 通过STM谱学测量, 发现合金相PbBi3为超导相. 变温实验表明, PbBi3相的超导转变温度为6.13 K. 在外加垂直磁场下出现的磁通涡旋结构表明PbBi3薄膜是第II类超导体, 估算出上临界磁场的下限为0.92 T. 测量了由Bi(110)-PbBi3组成的共面型和台阶型正常金属-超导体异质结中的邻近效应, 并研究了外加磁场对超导穿透深度影响. 采用超导针尖与PbBi3衬底形成超导-真空-超导隧道结, 在超导能隙中观察到零偏压电导峰, 进一步证实了PbBi3的超导转变温度.
2022, 71 (12): 127503.
doi: 10.7498/aps.71.20220699
摘要 +
范德瓦耳斯层状铁磁材料不但为基础磁学的前沿研究提供了重要的平台, 同时在下一代自旋电子器件中展示了广阔的应用前景. 本文利用化学气相传输方法生长了高质量的、具有本征铁磁性的Ta3FeS6块材单晶. 通过机械剥离法得到厚度19—100 nm的Ta3FeS6薄层样品, 并发现相应的居里温度在176—133 K之间. 低温反常霍尔测量表明Ta3FeS6样品具有面外的铁磁性, 其矫顽场在1.5 K可达到7.6 T, 这是迄今为止在范德瓦耳斯铁磁薄膜材料中报道的最大数值. 此外, 在变温过程中, 还观察到磁滞回线极性的翻转. 相比于通常的范德瓦耳斯磁性材料, Ta3FeS6具有空气稳定性和极大的矫顽场, 这为探索稳定的、可小型化的范德瓦耳斯自旋电子器件研究开辟了全新的平台.
2022, 71 (12): 127901.
doi: 10.7498/aps.71.20220458
摘要 +
过渡金属二硫族化物因其广泛存在超导、电荷密度波等新奇的物理现象成为了近些年来凝聚态物理研究中的一大热点, 同时这也为研究超导和电荷密度波等电子序之间的相互作用提供了典型的材料体系. 本文利用角分辨光电子能谱对1T结构的NbSeTe单晶进行系统的研究, 揭示了其电子结构. 沿高对称方向的能带测量发现, 1T-NbSeTe布里渊区M点附近存在一个范霍夫奇点, 能量位于费米能以下约250 meV处. 对能带色散的仔细分析发现该体系中没有明显电子-玻色子(声子)耦合带来的能带扭折. 基于上述实验结果, 对过渡金属二硫族化物中电荷密度波和超导的产生以及1T-NbSeTe中电荷密度波和超导被抑制的可能原因进行了讨论.
2022, 71 (12): 128103.
doi: 10.7498/aps.71.20220132
摘要 +
在众多二维材料中, 过渡金属硫族化合物由于其具有独特的光电特性深受广大研究者喜爱. 近年来, 由二维过渡金属硫族化合物材料与有机半导体结合构建的范德瓦耳斯异质结受到极大的关注. 这种异质结可以利用两者的优势对光电特性等性能进行调控, 为许多基础物理和功能器件的构建提供了研究思路. 本文构建了酞菁铜/二硫化钼(CuPc/MoS2)范德瓦耳斯异质结, 并对其荧光特性进行了表征和分析. 与单层MoS2相比较发现, 引入有机半导体CuPc后, 异质结当中发生了明显的荧光淬灭现象. 通过荧光分析, 该现象可以用引入CuPc后异质结中负三激子与中性激子之比增加来解释. 此外, 通过第一性原理计算分析发现, 引入CuPc会在MoS2的禁带中引入中间带隙态, 使得CuPc与MoS2之间产生非辐射复合, 这同样会导致荧光淬灭的发生. CuPc/MoS2异质结的荧光淬灭现象可以为同类型范德瓦耳斯异质结的光电特性调控研究提供参考和思路.
2022, 71 (12): 128104.
doi: 10.7498/aps.71.20220273
摘要 +
以单层二硫化钼(MoS2)为代表的过渡金属硫族化合物半导体材料具有良好的光学、电学性质, 近十年来引起了人们广泛的研究兴趣. 合成高质量单层MoS2薄膜是科学研究及工业应用的基础. 最近科研人员提出了盐辅助化学气相沉积生长单层薄膜的方法, 大大提高了单层MoS2薄膜的生长速度及晶体质量. 本文基于此方法, 提出利用氯化钠(NaCl)的双辅助方法, 成功制备了高质量的单层MoS2薄膜. 光致发光(PL)谱显示其发光强度比无NaCl辅助生长的样品有了明显的提高. 本文提出的NaCl双辅助生长方法为二维材料的大规模生长提供了思路.
综述
2022, 71 (12): 126801.
doi: 10.7498/aps.71.20220215
摘要 +
传统谐振式传感器的谐振敏感元件大多采用金属、石英晶体、硅等材料制成, 但随着谐振式传感器朝着小型化、微型化、实用化的趋势发展, 不但要求新型谐振子材料可进行微纳加工, 还对其灵敏度和精度提出了更高的要求. 石墨烯这种新型二维纳米材料, 因具有出色的力学、电学、光学、热学特性, 在谐振传感领域有着巨大的应用潜力和研究价值, 因此基于石墨烯材料的力学量传感器有望在小型化、高性能和环境适应性等多方面超越硅基力学量传感器. 本文针对石墨烯谐振式力学量传感器, 介绍了石墨烯材料的基本性质、制备与转移方法, 阐述了谐振式传感器的工作原理与应用特点, 进而分析了关于石墨烯谐振特性优化与谐振器制备的理论与实验研究; 在此基础上, 重点总结了石墨烯谐振器在压力、加速度、质量等传感器领域的研究进展, 梳理了石墨烯谐振式力学量传感器在薄膜转移、结构制备与激振/拾振等方面的技术问题, 同时也明确了石墨烯在谐振传感领域的研究价值和发展潜力.
总论
2022, 71 (12): 120701.
doi: 10.7498/aps.71.20220150
摘要 +
气态亚硝酸(HONO)作为羟基(OH)自由基的重要前体物, 在大气中浓度低、寿命短、易损耗且活性强, 针对大气HONO的高灵敏度测量具有一定的挑战. 本文介绍了基于迭代算法的开放光路宽带腔增强吸收光谱(OP-BBCEAS)技术应用于大气HONO和NO2的测量. 常规BBCEAS技术通过将经滤膜过滤后的环境空气由泵压入/抽入光学腔内进行测量, 尽管可以减小气溶胶消光对测量的影响, 但针对一些活性组分的测量则需要考虑光学腔和采样造成的吸附损耗和二次生成等壁效应. 本文采用OP-BBCEAS技术, 开放光路的测量模式避免了上述壁效应的影响, 基于迭代反演算法通过多次迭代确定有效吸收光程, 然后采用差分光学吸收光谱的光谱拟合方法对光谱中HONO和NO2的吸收进行定量, 克服了气溶胶颗粒Mie散射消光和光源波动的宽带变化影响. 在轻度(PM2.5 < 75 μg/m3)和中度(PM2.5 > 75 μg/m3)不同气溶胶污染状况下测量了实际大气HONO和NO2浓度, 并同时与常规封闭腔BBCEAS系统开展了测量对比. 不同PM2.5污染程度下两台BBCEAS系统测量的HONO和NO2浓度均显著性相关(R2>0.99), HONO和NO2浓度的测量差异(HONO ≤ 4.0%, NO2 ≤ 6.5%)均小于系统测量误差(HONO: 8.1%, NO2: 7.5%), 验证了迭代反演算法应用于OP-BBCEAS系统实际大气测量的可行性.
2022, 71 (12): 120702.
doi: 10.7498/aps.71.20220017
摘要 +
后随X射线望远镜(follow-up X-ray telescope, FXT)是爱因斯坦探针卫星的主要载荷之一. 为了获取高信噪比的数据, 实现对观测天体的高精度定位, FXT使用Wolter-I型X射线聚焦光学系统, 该系统一直是X 射线空间天文观测中的重要设备. 根据Wolter-I型的聚焦原理, 结合实际的加工特点, 利用蒙特卡罗模拟算法对影响光学成像质量的几个关键参量, 如表面粗糙度、面形误差进行了模拟, 结合模拟结果对各参量的作用效果进行了分析. 之后利用PANTER实验室提供的聚焦镜性能测试结果对模拟方法进行了验证, 同时对面形误差参量进行了限制. 最终聚焦镜结构热控件半能量宽度(half energy width, HEW)模拟与实测结果基本一致. 该模拟过程可以很有效地应用于聚焦镜加工工艺的摸索, 为FXT的聚焦镜测试和标定工作提供参考. 结合实测标定数据, 该模拟方法生成的有效面积、渐晕和点扩散函数等可用于在轨观测标定数据库.
电磁学、光学、声学、传热学、经典力学和流体动力学
2022, 71 (12): 124101.
doi: 10.7498/aps.71.20212223
摘要 +
随着我国水下探测、通信技术的发展, 传统的磁性测量模型已无法满足高精度、高效率建模的需要. 本文从舰船磁场积分模型出发, 综合分析模型离散化为磁偶极子阵列模型产生的复化中矩形, 以及Gauss-Legendre积分余项分析过程引起的离散误差、算法误差, 模型简化产生的拟合误差、模型误差等, 对模型适用性条件进行分析; 同时, 以建模精度和计算复杂度为目标构造多目标优化函数, 通过NSGA-II算法对多目标函数进行求解, 得到使精度、复杂度较为均衡的最优解集, 提出了不同精度、复杂度需求下的选择规则. 为了保证结果的有效性, 在舰船磁场混合模型的基础上利用数值实验对模型进行验证, 充分考虑模型拟合误差, 通过对磁性均匀、磁性不均匀潜艇的仿真分析得到模型达到适用范围时距离与磁偶极子数目的相关关系; 在保证模型适用的条件下, 基于NSGA-II算法的多目标优化过程所得结果运算效率、精度高, 具有很好的工程应用价值.
编辑推荐
2022, 71 (12): 124201.
doi: 10.7498/aps.70.20220186
摘要 +
腔衰荡光谱技术是一种高灵敏的腔增强分子吸收光谱测量技术, 由于激光频率噪声大, 导致激光到腔耦合效率低, 严重限制了其对痕量气体的探测灵敏度. 光学反馈可以有效压窄半导体激光器的线宽, 提高激光到外部谐振腔的耦合效率. 本文基于精细度为7800的Fabry-Pérot腔, 发展了光学反馈线性腔衰荡光谱技术. 首先从光场相位的角度给出了线性腔光学反馈的原理, 然后分析了影响测量不确定性的因素, 包括光学反馈率、衰荡信号触发阈值、探测器相对透射汇聚光斑位置等. 实验结果表明, 通过设置低反馈率(3%自由光谱区间)、高衰荡信号触发阈值(90%腔模幅度)以及将光斑聚焦到探测器有效面中心等措施, 结合光学反馈效应, 可将空腔衰荡时间的相对不确定度提升至0.026%, 远优于传统腔衰荡技术获得的典型值. 系统在积分时间为180 s时, 获得探测灵敏度为1.3 × 10–10 cm–1, 对应甲烷的最小可探测吸收体积浓度为0.35 × 10–9, 从而满足了碳监测的要求.
2022, 71 (12): 124301.
doi: 10.7498/aps.71.20211924
摘要 +
半空间中声源直接辐射声场重构的实施需要构造以边界声阻抗为参量的半空间基函数, 边界声阻抗的获取则通常需要借助原位测量方法. 基于半空间球面波基函数叠加的声场重构方法, 通过在声源近场布置全息测量面和一支参考传声器采集声压, 并以参考传声器声压重构误差取得最小值为准则, 估算各全息测点的声压反射系数, 就能在边界阻抗未知条件下实现声源直接辐射声压的重构, 从而摆脱了常规方法对声阻抗原位测量技术的依赖. 本文的目的是对这一方法进行详细的参数讨论, 并在估算声压反射系数的基础上, 进一步对边界声阻抗加以重构, 提出一种基于近场声全息的声阻抗测量方法. 以球形声源为例, 对声阻抗和声源直接辐射声压的重构进行了仿真, 定量地分析参考传声器坐标、边界有效流阻率和边界孔隙度随深度的降低率等参数对重构精度的影响.
2022, 71 (12): 124701.
doi: 10.7498/aps.71.20220102
摘要 +
针对使用可压缩流动数值方法求解不可压缩流动存在的刚性问题, 基于虚拟压缩法思想, 构造了一种以Mach数、速度、密度、温度等变量为元素的预处理矩阵, 改变了控制方程组的特征根并使其量级更接近. 通过理论推导与分析, 证明新方法相比Weiss, Pletcher, Dailey和Choi的方法而言, 不仅能降低方程组的刚性, 提高了数值求解效率, 而且拥有更好的稳定性, 此外还能实现低速流动和高速流动之间的光滑过渡. 采用有限差分格式进行离散, 对流项的Roe格式作为基本加权无振荡(WENO)格式的求解器, 黏性项则使用中心型紧致差分格式来计算, 与预处理矩阵相结合展开数值实验, 结果表明新预处理方法可以实现对无黏和有黏不可压缩流动问题的高精度模拟, 且拥有比Weiss和Pletcher等提出的方法更好的收敛性和稳定性.
凝聚物质:电子结构、电学、磁学和光学性质
编辑推荐
2022, 71 (12): 127201.
doi: 10.7498/aps.71.20211962
摘要 +
理论上研究了第二类Weyl半金属的金属-超导-金属(NSN)结在倾斜一定角度后体系的散射性质, 计算结果显示倾斜角可以决定体系的散射机制, 当倾斜角较小时, NSN结中存在两种局域Andreev反射和两种电子隧穿, 包括径向Andreev反射、镜面Andreev反射、径向电子隧穿和镜面电子隧穿. 随着倾斜角的增加, 局域Andreev反射逐渐被抑制, 当倾斜角超过临界角后, NSN结中的输运过程与正常金属的NSN结相同, 会同时发生电子正常反射、电子隧穿、局域Andreev反射和交叉Andreev反射. 此外, 体系的总电导不受化学势的影响, 并且在倾斜角小于临界角时不受入射角的影响, 而在倾斜角大于临界角时随入射角的增加而减小, 而交叉Andreev反射电导在某些条件下会随入射角的增加而增强.
编辑推荐
2022, 71 (12): 127301.
doi: 10.7498/aps.71.20212439
摘要 +
二维材料由于具有独特的电子结构和量子效应、丰富的可调控特性而受到凝聚态物理和材料科学的广泛关注, 其中通过过渡金属掺杂二维WS2形成的半金属铁磁性材料在自旋电子学领域中发挥着重要的作用 . 采用基于密度泛函理论的第一性原理赝势平面波方法计算了过渡金属原子X (X = Mn, Tc, Re) 掺杂二维WS2的电子结构、磁性和光学性质. 研究表明: 被过渡金属原子X掺杂的WS2体系在S-rich条件下比在W-rich条件下更稳定. 在 Mn掺杂后, 自旋向上通道中出现杂质能级, 导致WS2体系从自旋向上和自旋向下态密度完全对称的非磁性半导体转变为磁矩1.001 $ {\text{μ}}_{\text{B}} $ 的铁磁性半金属. 在Tc, Re掺杂后, 体系均转变为非磁性N型半导体. 所有掺杂体系杂质态均发生自旋劈裂现象, 且自旋劈裂程度逐渐减小. 同时发现 Mn, Tc, Re掺杂后, 表现出优异的光学性质, 它们的介电常数和折射系数与未掺杂WS2的体系相比明显增强, 吸收系数在低能量区域 (0—2.0 eV) 均出现红移现象.
2022, 71 (12): 127501.
doi: 10.7498/aps.71.20220166
摘要 +
采用磁控溅射方法在MgO(001)单晶衬底上制备了交换偏置分别沿着FeGa$ \left[100\right] $ 和[110]方向的FeGa/IrMn外延交换偏置双层膜, 研究了交换偏置取向对磁化翻转过程与磁化翻转场的影响. 铁磁共振场的角度依赖关系的测量与拟合, 表明样品存在不同取向的四重对称磁晶各向异性、单向交换磁各向异性和单轴磁各向异性的叠加. 矢量磁光克尔效应测量表明交换偏置沿着$ \left[100\right] $ 方向的样品在不同磁场方向下表现矩形、非对称和单边两步磁滞回线; 交换偏置沿着$ \left[110\right] $ 方向的样品在不同磁场方向下表现单边两步和双边两步磁滞回线. 考虑不同交换偏置方向的畴壁形核和位移模型, 能够很好地解释磁化翻转路径随磁场方向的变化规律和拟合磁化翻转场的角度依赖关系, 表明交换偏置方向的改变使得畴壁形核能发生显著变化.
2022, 71 (12): 127502.
doi: 10.7498/aps.71.20220168
摘要 +
热扰动导致的磁反转是越过能量势垒的不可逆反转, 称为热助隧穿. 本文研究Pr-Fe-B磁体热扰动导致的磁反转弛豫现象, 反转磁矩与时间自然对数关系可表示为与能垒之间的关系, 因此反磁化弛豫现象可用磁振子按能量的玻色统计分布率来解释, 是磁振子宏观效应的体现. 反磁化不可逆过程的临界尺寸为纳米级, 与理论磁畴壁尺寸接近, 证实热扰动反磁化经过磁畴壁形核去钉扎过程. 在实空间反磁化耦合体积增大能减小磁振子隧穿的反磁化概率, 热扰动场减小; 热扰动后效场测量值与热扰动场计算值基本是一致的. 温度升高, 热扰动能量增大, 由于耦合作用热扰动后效场有所减小, 但热扰动后效场相对于矫顽力的作用增大.
物理学交叉学科及有关科学技术领域
2022, 71 (12): 128101.
doi: 10.7498/aps.70.20220288
摘要 +
结合狄拉克半金属研究了一种基于各向异性构型的可调谐宽频带太赫兹偏振转换超表面, 其中的狄拉克半金属线阵列有利于费米能的调控. 研究结果表明, 该超表面可以实现宽带高效率的偏振转换, 在谐振模式处具有半波片特性. 这种转换特性源于局域表面等离子体激元谐振的激发和结构自身的各向异性. 当入射角在0º—40º范围内变化时, 能保持高效的宽带偏振转换特性, 大于$40^\circ $ 后, 宽带转换逐渐转变为双带或多带转换. 此外, 发现AlCuFe的费米能从65 meV增大至140 meV过程中, 偏振转换效率能维持在很高水平, 并且转换性能由单带转换变为宽带转换再变为带较宽的宽带转换与带较窄的单带转换. 同时, 通过讨论结合了不同类型狄拉克半金属的超表面, 得出了狄拉克半金属的金属性越好, 相应超表面的宽带偏振转换性能越优的结论. 最后, 基于类法布里-珀罗谐振腔的多重干涉理论对数值结果进行了验证.
2022, 71 (12): 128501.
doi: 10.7498/aps.71.20220172
摘要 +
静电放电 (electro-static discharge, ESD) 防护结构的维持电压是决定器件抗闩锁性能的关键参数, 但ESD器件参数的热致变化使得防护器件在高温环境中有闩锁风险. 本文研究了ESD防护结构N沟道金属-氧化物-半导体(N-channel metal oxide semiconductor, NMOS)在30—195 ℃的工作温度下的维持特性. 研究基于0.18 μm部分耗尽绝缘体上硅工艺下制备的NMOS器件展开. 在不同的工作温度下, 使用传输线脉冲测试系统测试器件的ESD特性. 实验结果表明, 随着温度的升高, 器件的维持电压降低. 通过半导体工艺及器件模拟工具进行二维建模及仿真, 提取并分析不同温度下器件的电势、电流密度、静电场、载流子注入浓度等物理参数的分布差异. 通过研究以上影响维持电压的关键参数随温度的变化规律, 对维持电压温度特性的内在作用机制进行了详细讨论, 并提出了改善维持电压温度特性的方法.
2022, 71 (12): 128701.
doi: 10.7498/aps.71.20212091
摘要 +
单分子定位显微(single molecule localization microscopy, SMLM)成像技术利用荧光分子的稀疏发光、探测及定位, 实现了纳米级空间分辨率的超分辨成像. 为了提高其时间分辨率, 需要提高同时发光的荧光分子密度. 但随着分子密度的提高, 不同分子的点扩散函数(point spread function, PSF)在探测器上将发生严重的重叠现象, 导致空间分辨率降低, 尤其是在进行三维SMLM成像时. 为了解决这一问题, 本文提出了一种基于正交像散的高密度三维单分子定位超分辨成像方法, 并对该方法进行分析和数值模拟研究. 该方法的核心是在单分子定位显微镜中将采集的荧光分成两束成像在同一个探测器的两个区域, 并在两个通道中各引入一个光学参数相同但取向相互正交的柱透镜, 实现对同一个荧光分子正负两个像散PSF图像的同时探测, 然后建立该成像过程的线性投影模型, 利用压缩感知算法求解出荧光分子的三维定位信息. 结果表明, 由于两个正交柱透镜产生的一组正交像散PSF对作为一个分子的系统响应时具有较低的相关性, 该方法的高密度三维定位准确性可显著优于采用单个柱透镜的传统像散方法, 且离焦程度越大两个像散PSF的形状差异越大, 这种准确定位的优势就越明显.







