-
随着我国水下探测、通信技术的发展, 传统的磁性测量模型已无法满足高精度、高效率建模的需要. 本文从舰船磁场积分模型出发, 综合分析模型离散化为磁偶极子阵列模型产生的复化中矩形, 以及Gauss-Legendre积分余项分析过程引起的离散误差、算法误差, 模型简化产生的拟合误差、模型误差等, 对模型适用性条件进行分析; 同时, 以建模精度和计算复杂度为目标构造多目标优化函数, 通过NSGA-II算法对多目标函数进行求解, 得到使精度、复杂度较为均衡的最优解集, 提出了不同精度、复杂度需求下的选择规则. 为了保证结果的有效性, 在舰船磁场混合模型的基础上利用数值实验对模型进行验证, 充分考虑模型拟合误差, 通过对磁性均匀、磁性不均匀潜艇的仿真分析得到模型达到适用范围时距离与磁偶极子数目的相关关系; 在保证模型适用的条件下, 基于NSGA-II算法的多目标优化过程所得结果运算效率、精度高, 具有很好的工程应用价值.With the development of underwater detection and communication technology, the traditional magnetic measurement model cannot meet the requirements for high precision and high efficiency modeling. In order to solve this problem, according to the integral model of ship magnetic field, we comprehensively analyze the discretization error caused by the composite middle rectangular and Gauss-Legendre integral remainders generated by discretizing the integral model into the magnetic dipole array model, the algorithm error, the fitting error caused by the model simplification, the model error, etc. and we also use these research results to analyze the model applicability conditions. Then based on the correlation between model error and parameters as well as accuracy and computational complexity, the multi-objective optimization problem is constructed. The NSGA-II algorithm is used to solve the multi-objective function, and the optimal solution set with balanced accuracy and complexity is obtained. The selection rules under the different requirements for accuracy and complexity are proposed. In order to ensure the effectiveness of the results, the model is simulated by using the actual submarine data on the basis of the hybrid model of ship magnetic field. The relationship between the distance to reach the applicable range of the model and the number of magnetic dipoles is obtained through the simulation analysis of the submarines with uniform and nonuniform magnetic field, and the simulation results are compared with the existing research results to ensure the effectiveness of the simulation results. At the same time, under the condition of ensuring the applicability of the model, the results obtained in the multi-objective optimization process based on NSGA-II algorithm are of high computational efficiency and accuracy. Therefore, this method has good engineering application value.
-
Keywords:
- magnetic dipole integral model/
- composite middle rectangular method remainder/
- multi-objective optimization/
- NSGA-II algorithm
[1] [2] [3] [4] [5] [6] [7] [8] [9] [10] [11] [12] [13] [14] [15] [16] [17] [18] [19] [20] [21] [22] [23] [24] [25] [26] [27] [28] [29] [30] [31] [32] [33] [34] -
距离/m 倍数 磁偶极
子数目距离/m 倍数 磁偶极
子数目r= 84 1.050 3 r= 144 1.800 2 r= 94 1.175 3 r= 154 1.925 2 r= 104 1.300 2 r= 164 2.050 2 r= 114 1.425 2 r= 174 2.175 2 r= 124 1.550 2 r= 184 2.300 1 r= 134 1.675 2 r= 194 2.425 1 距离/m 倍数 磁偶极
子数目距离/m 倍数 磁偶极
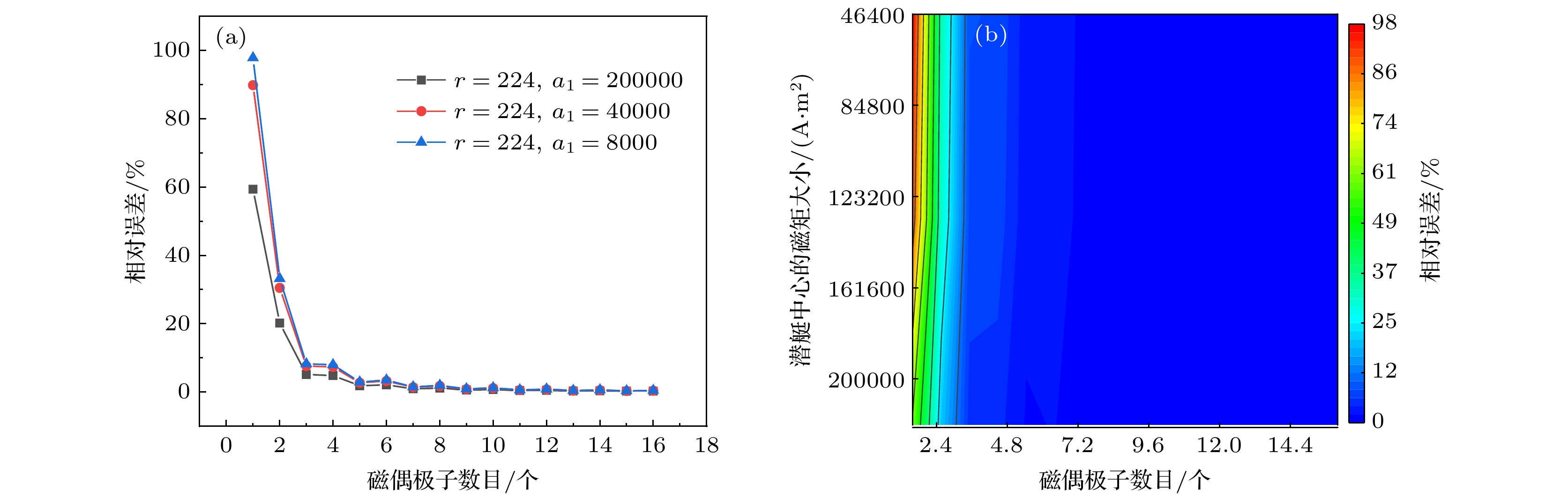
子数目r= 84 1.050 6 r= 164 2.050 5 r= 94 1.175 5 r= 174 2.175 5 r= 104 1.300 5 r= 184 2.300 5 r= 114 1.425 5 r= 194 2.425 5 r= 124 1.550 5 r= 204 2.550 5 r= 134 1.675 5 r= 214 2.675 5 r= 144 1.800 5 r= 224 2.800 5 r= 154 1.925 5 r= 234 2.925 5 距离 倍数 偶极子数目 相对误差 距离 倍数 偶极子数目 相对误差 r= 94 1.175 10 0.90% r= 184 2.300 6 0.39% r= 104 1.300 9 0.77% r= 194 2.425 6 0.32% r= 114 1.425 8 0.71% r= 204 2.550 6 0.32% r= 124 1.550 8 0.60% r= 214 2.675 6 0.30% r= 134 1.675 8 0.52% r= 224 2.800 6 0.27% r= 144 1.800 7 0.52% r= 234 2.925 5 0.30% r= 154 1.925 7 0.46% r= 300 3.750 5 0.18% r= 164 2.050 7 0.41% r= 400 5.000 5 0.11% r= 174 2.175 7 0.36% r= 500 6.250 5 0.085% -
[1] [2] [3] [4] [5] [6] [7] [8] [9] [10] [11] [12] [13] [14] [15] [16] [17] [18] [19] [20] [21] [22] [23] [24] [25] [26] [27] [28] [29] [30] [31] [32] [33] [34]
计量
- 文章访问数:4995
- PDF下载量:107
- 被引次数:0












下载:







