-
低维超导材料由于具有尺度接近量子临界尺寸的优势, 能够观测到显著的超导量子振荡效应, 因此成为研究超导量子振荡效应的优异平台. 由于这些量子振荡效应的周期、振幅、相位与磁通涡旋的量子化及运动方式、超导电子的配对机制、特定外部条件下超导体中的涨落和激发现象密切相关, 并且它们还能直观地反映超导材料的几何结构对其超导物性的影响, 因此对低维超导体中振荡效应的研究直接反映了超导体的本质规律, 成为研究材料超导机制的一种重要手段, 有着深邃的物理内涵和丰富的研究价值. 本文将探讨三类能够在低维超导材料中观测到的典型超导量子振荡效应: 利特尔-帕克斯效应、磁通涡旋运动导致的振荡效应和韦伯阻塞效应, 从研究手段、理论预期、实验现象以及实验结果诸方面综述其中所揭示的深刻物理规律, 并展望低维超导体的量子振荡效应在量子计算、器件物理和低温物理等领域的应用价值.
Low-dimensional superconductor serves as an excellent platform for investigating emergent superconducting quantum oscillation phenomena. The low-dimensional natures of these materials, originating from the finite size which is comparable with the superconducting coherence length, indicate that the corresponding physical properties will be constrained by quantum confinement effects. Importantly, some of the frontiers and hot issues in low-dimensional superconductors, including the anomalous metal state during the superconductor-insulator transition, spin-triplet pairing mechanism in superconductors, thermal-excited and electrical current-excited vortex dynamics in superconductors, and the “charge-vortex duality” in quantum dot materials and superconducting nanowires, are strongly correlated with the superconducting quantum oscillation effects. In recent years, all the above-mentioned topics have achieved breakthroughs based on the studies of superconducting quantum oscillation effects in low-dimensional superconductors. Generally, the periodicity and amplitude of the oscillation can clearly demonstrate the relation between the geometric structure of superconductors and various superconducting mechanisms. In particular, superconducting quantum oscillation phenomena are always correlated with the quantization of magnetic fluxoids and their dynamics, the pairing mechanism of superconducting electrons, and the excitation and fluctuation of superconducting systems. In this review article, three types of typical superconducting quantum oscillation effects observed in low-dimensional superconductors will be discussed from the aspects of research methods, theoretical expectations, and experimental results. a) The Little-Parks effect is the superconducting version of the Aharonov-Bohm effect, whose phase, amplitude and period are all helpful in studying superconductivity: the phase reflects the pairing mechanism in superconductors, the amplitude can be used for investigating the anomalous metal state, and the period provides the information about the sample geometry. b) The vortex motion effect is excited by thermal fluctuation or electrical current, and the corresponding oscillation phenomena show distinct temperature-dependent amplitudes compared with the Little-Parks effect. c) The Weber blockade effect originates from the magnetic flux moving across the superconducting nanowire, and such an effect provides a unique nonmonotonic critical current $ {I}_{\mathrm{C}} $ under a magnetic field in$I\text{-}V$ characteristics. The prospects of the above-mentioned quantum oscillation effects of low-dimensional superconductors for applications are also discussed at the end of this review, including quantum computing, device physics and low-temperature physics.[1] [2] [3] [4] [5] [6] [7] [8] [9] [10] [11] [12] [13] [14] [15] [16] [17] [18] [19] [20] [21] [22] [23] [24] [25] [26] [27] [28] [29] [30] [31] [32] [33] [34] [35] [36] [37] [38] [39] [40] [41] [42] [43] [44] [45] [46] [47] [48] [49] [50] [51] [52] [53] [54] [55] [56] [57] [58] [59] [60] [61] [62] [63] [64] [65] [66] [67] [68] [69] [70] [71] [72] [73] [74] [75] [76] [77] [78] [79] [80] [81] [82] [83] [84] [85] [86] [87] [88] [89] [90] [91] [92] [93] [94] [95] [96] [97] -
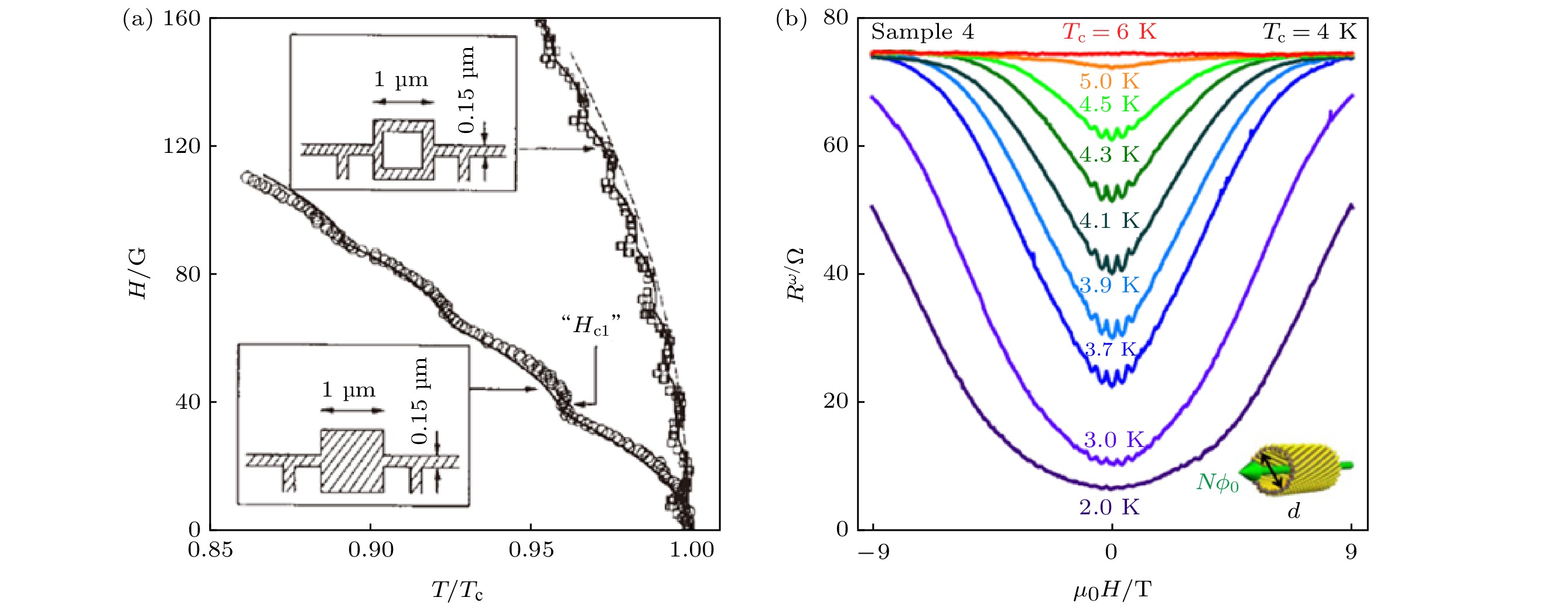
振荡类型 物理机制 材料体系 反映的物理规律 利特尔-帕克斯振荡 磁通量子化 二维复连通薄膜、准一维纳米管 电子的配对机制、
样品的几何形状磁通涡旋运动导致的振荡 热激发/电流激发的涡旋运动 二维复连通薄膜 体系中的涨落现象 韦伯阻塞效应 磁通涡旋横跨超导纳米线运动 一维纳米线 电荷-涡旋对偶性 -
[1] [2] [3] [4] [5] [6] [7] [8] [9] [10] [11] [12] [13] [14] [15] [16] [17] [18] [19] [20] [21] [22] [23] [24] [25] [26] [27] [28] [29] [30] [31] [32] [33] [34] [35] [36] [37] [38] [39] [40] [41] [42] [43] [44] [45] [46] [47] [48] [49] [50] [51] [52] [53] [54] [55] [56] [57] [58] [59] [60] [61] [62] [63] [64] [65] [66] [67] [68] [69] [70] [71] [72] [73] [74] [75] [76] [77] [78] [79] [80] [81] [82] [83] [84] [85] [86] [87] [88] [89] [90] [91] [92] [93] [94] [95] [96] [97]
计量
- 文章访问数:7945
- PDF下载量:470
- 被引次数:0












下载:









