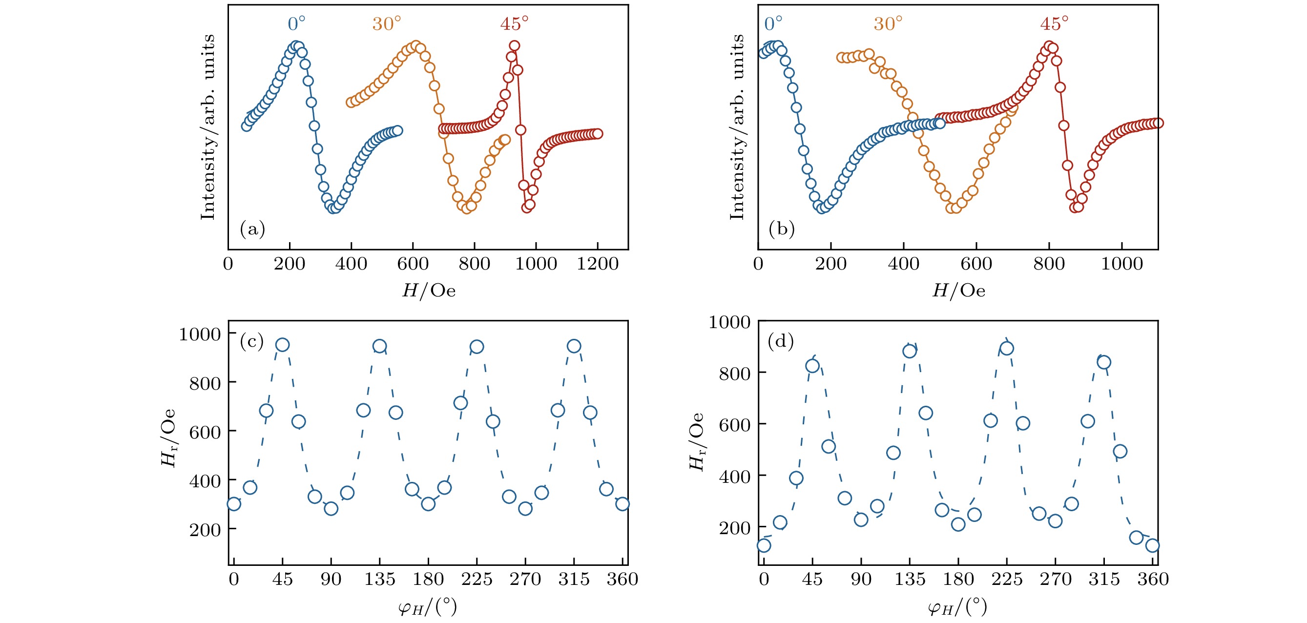
\begin{document}$ \left[100\right] $\end{document}和[110]方向的FeGa/IrMn外延交换偏置双层膜, 研究了交换偏置取向对磁化翻转过程与磁化翻转场的影响. 铁磁共振场的角度依赖关系的测量与拟合, 表明样品存在不同取向的四重对称磁晶各向异性、单向交换磁各向异性和单轴磁各向异性的叠加. 矢量磁光克尔效应测量表明交换偏置沿着\begin{document}$ \left[100\right] $\end{document}方向的样品在不同磁场方向下表现矩形、非对称和单边两步磁滞回线; 交换偏置沿着\begin{document}$ \left[110\right] $\end{document}方向的样品在不同磁场方向下表现单边两步和双边两步磁滞回线. 考虑不同交换偏置方向的畴壁形核和位移模型, 能够很好地解释磁化翻转路径随磁场方向的变化规律和拟合磁化翻转场的角度依赖关系, 表明交换偏置方向的改变使得畴壁形核能发生显著变化."> - 必威体育下载

搜索

x

留言板

姓名
邮箱
手机号码
标题
留言内容
验证码

downloadPDF
引用本文:
Citation:

    孟婧, 冯心薇, 邵倾蓉, 赵佳鹏, 谢亚丽, 何为, 詹清峰

    Magnetic anisotropy and reversal in epitaxial FeGa/IrMn bilayers with different orientations of exchange bias

    Meng Jing, Feng Xin-Wei, Shao Qing-Rong, Zhao Jia-Peng, Xie Ya-Li, He Wei, Zhan Qing-Feng
    PDF
    HTML
    导出引用
    计量
    • 文章访问数:4090
    • PDF下载量:106
    • 被引次数:0
    出版历程
    • 收稿日期:2022-01-23
    • 修回日期:2022-02-26
    • 上网日期:2022-03-09
    • 刊出日期:2022-06-20

      返回文章
      返回