搜索

x

留言板

姓名
邮箱
手机号码
标题
留言内容
验证码

downloadPDF
引用本文:
Citation:

王德鑫, 张苏雅拉吐, 蒋伟, 任杰, 王金成, 唐靖宇, 阮锡超, 王宏伟, 陈志强, 黄美容, 唐鑫, 胡新荣, 李鑫祥, 刘龙祥, 刘丙岩, 孙慧, 张岳, 郝子锐, 宋娜, 李雪, 牛丹丹, 利国, 蒙古夫

Neutron capture cross section measurements fornatLu with different thickness

Wang De-Xin, Zhang Su-Ya-La-Tu, Jiang Wei, Ren Jie, Wang Jin-Cheng, Tang Jing-Yu, Ruan Xi-Chao, Wang Hong-Wei, Chen Zhi-Qiang, Huang Mei-Rong, Tang Xin, Hu Xin-Rong, Li Xin-Xiang, Liu Long-Xiang, Liu Bing-Yan, Sun Hui, Zhang Yue, Hao Zi-Rui, Song Na, Li Xue, Niu Dan-Dan, Li Guo, Meng Gu-Fu
PDF
HTML
导出引用
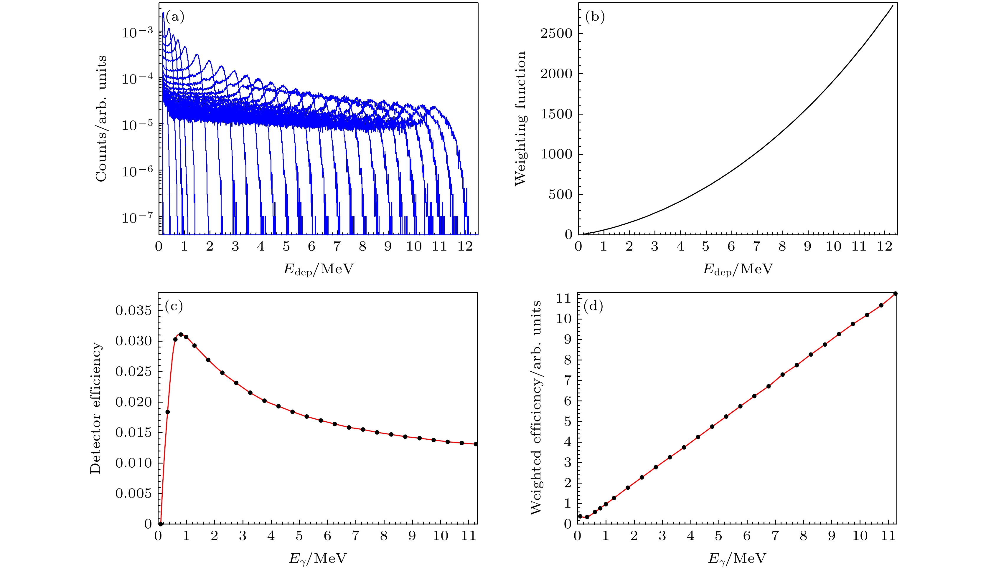
  • C 6D 6闪烁体探测系统结合脉冲权重技术被广泛应用于中子俘获反应截面测量研究. 实验中采用的样品厚度直接影响中子束流时间, 同时也影响实验数据的可靠性. 本文基于中国散裂中子源反角白光束线(CSNS Back-n) C 6D 6探测系统, 对比研究了不同厚度的镥(Lu)样品中子俘获反应截面的实验测量. 利用GEANT4蒙特卡罗程序模拟了考虑样品厚度的探测系统光响应, 计算出精确的脉冲权重函数. 实验中, 通过采用较长中子飞行距离和本底测量, 得到了高精度的共振区产额分布. 通过 R矩阵理论分析产额分布, 得到了相应的实验共振参数. 结果发现, 较厚Lu样品因其厚度效应导致共振曲线发生变化, 实验共振参数与ENDF/B-VIII.0评价数据库差距较大; 然而, 较薄Lu样品实验结果能够很好地再现ENDF/B-VIII.0评价数据.
    The C 6D 6detection system coupling with the pulse height weighting technique is widely used for experimentally measuring the neutron capture cross section. The thickness of sample used in the experiment directly affects the neutron beam time and the reliability of the experimental data. In the present work, we compare the lutetium (Lu) neutron capture reaction cross sections among the samles with different thickness, obtained by the C 6D 6detection system of the back-streaming white neutron beam line at China spallation Neutron Source (CSNS back-n). The light response of the detection system is simulated with the consideration of the sample thickness by GEANT4 Monte Carlo simulation code. The 4 thorder polynomial pulse weight functions for different samples are determined by using the above light response function. In the experiment, the high precision capture yield distributions in the resonance energy region are obtained by measuring the longer flight distance and background. The experimental resonance parameters are deduced by analyzing the capture yield distribution with the R-matrix theory. The comparisons of the results of capture yield and the resonance parameters between the two groups show that the resonance curve of 1.06mm natLu sample changes due to its thickness effect, and there is a large difference between the experimental resonance parameters and ENDF/B-VIII.0 database. However, the experimental results of 0.207mm natLu sample can well accord with the ENDF/B-VIII. 0 data.
        通信作者:张苏雅拉吐,zsylt@imun.edu.cn
      • 基金项目:内蒙古自然科学基金(批准号: 2019JQ01, 2018MS01009)和国家自然科学基金(批准号: U2032146, 11865010, 11765014, 11605097)资助的课题
        Corresponding author:Zhang Su-Ya-La-Tu,zsylt@imun.edu.cn
      • Funds:Project supported by the Natural Science Foundation of Inner Mongolia, China (Grant Nos. 2019JQ01, 2018MS01009) and the National Natural Science Foundation of China (Grant Nos. U2032146, 11865010, 11765014, 11605097)
      [1]

      [2]

      [3]

      [4]

      [5]

      [6]

      [7]

      [8]

      [9]

      [10]

      [11]

      [12]

      [13]

      [14]

      [15]

      [16]

      [17]

      [18]

      [19]

      [20]

      [21]

      [22]

      [23]

    • 厚度/mm 直径/mm 质量/mg 面密度/(atom·b–1)
      natLu 1.06 30 7373.11 3.58820 × 10–3
      natLu 0.207 30 1439.84 7.00715 × 10–4
      197Au 0.1 30 1357.17 5.86721 × 10–4
      natPb 0.53 30 4249.75 1.74678 × 10–3
      59Co 0.4 80 17894.51 3.63240 × 10–3
      natAg 0.4 80 21091.40 2.34173 × 10–3
      下载: 导出CSV

      ER/eV Element I J g ENDF/B-III.0 $ {R}_{\rm{k}} $ natLu-0.207 mm $ {R}_{\rm{k}} $ natLu-1.06 mm $ {R}_{\rm{k}} $ Noguere-2019[23]$ {R}_{\rm{k}} $
      1.56 176Lu 7.0 7.5 0.53 0.252 0.257 ± 0.005 0.242 ± 0.002
      2.59 175Lu 3.5 4.0 0.56 0.100 0.111 ± 0.004 0.073 ± 0.006 0.117 ± 0.005
      4.28 181Ta 3.5 4.0 0.56 2.034 2.821 ± 0.004 0.647 ± 0.003
      4.75 175Lu 3.5 4.0 0.56 0.145 0.167 ± 0.005 0.104 ± 0.002 0.167 ± 0.006
      5.22 175Lu 3.5 3.0 0.44 0.690 0.730 ± 0.004 0.735 ± 0.007 0.732 ± 0.017
      6.13 176Lu 7.0 7.5 0.53 0.709 0.792 ± 0.012 0.807 ± 0.016
      下载: 导出CSV
    • [1]

      [2]

      [3]

      [4]

      [5]

      [6]

      [7]

      [8]

      [9]

      [10]

      [11]

      [12]

      [13]

      [14]

      [15]

      [16]

      [17]

      [18]

      [19]

      [20]

      [21]

      [22]

      [23]

    • [1] 曹嵩, 殷雯, 周斌, 胡志良, 沈飞, 易天成, 王松林, 梁天骄.中国散裂中子源二期靶站关键部件辐照损伤模拟计算. 必威体育下载 , 2024, 73(9): 092501.doi:10.7498/aps.73.20240088
      [2] 罗淏天, 张奇玮, 栾广源, 王晓宇, 邹翀, 任杰, 阮锡超, 贺国珠, 鲍杰, 孙琪, 黄翰雄, 王朝辉, 吴鸿毅, 顾旻皓, 余滔, 解立坤, 陈永浩, 安琪, 白怀勇, 鲍煜, 曹平, 陈昊磊, 陈琪萍, 陈裕凯, 陈朕, 崔增琪, 樊瑞睿, 封常青, 高可庆, 韩长材, 韩子杰, 何泳成, 洪杨, 黄蔚玲, 黄锡汝, 季筱璐, 吉旭阳, 蒋伟, 江浩雨, 姜智杰, 敬罕涛, 康玲, 康明涛, 李波, 李超, 李嘉雯, 李论, 李强, 李晓, 李样, 刘荣, 刘树彬, 刘星言, 穆奇丽, 宁常军, 齐斌斌, 任智洲, 宋英鹏, 宋朝晖, 孙虹, 孙康, 孙晓阳, 孙志嘉, 谭志新, 唐洪庆, 唐靖宇, 唐新懿, 田斌斌, 王丽娇, 王鹏程, 王琦, 王涛峰, 文杰, 温中伟, 吴青彪, 吴晓光, 吴煊, 羊奕伟, 易晗, 于莉, 于永积, 张国辉, 张林浩, 张显鹏, 张玉亮, 张志永, 赵豫斌, 周路平, 周祖英, 朱丹阳, 朱科军, 朱鹏, 朱兴华.基于白光中子源的197Au中子辐射俘获截面测量及共振参数分析. 必威体育下载 , 2024, 73(7): 072801.doi:10.7498/aps.73.20231957
      [3] 李强, 李样, 吕游, 潘子文, 鲍煜.中国散裂中子源缪子谱仪及其应用展望. 必威体育下载 , 2024, 73(19): 197602.doi:10.7498/aps.73.20240926
      [4] 冯凯源, 邵福球, 蒋祥瑞, 邹德滨, 胡理想, 张国博, 杨晓虎, 银燕, 马燕云, 余同普.双束对射激光驱动超薄靶的超短脉冲中子源. 必威体育下载 , 2023, 72(18): 185201.doi:10.7498/aps.72.20230706
      [5] 张江林, 姜炳, 陈永浩, 郭子安, 王小鹤, 蒋伟, 易晗, 韩建龙, 胡继峰, 唐靖宇, 陈金根, 蔡翔舟.基于中国散裂中子源反角白光中子束线的天然锂中子全截面测量. 必威体育下载 , 2022, 71(5): 052901.doi:10.7498/aps.71.20211646
      [6] 蒋伟, 江浩雨, 易晗, 樊瑞睿, 崔增琪, 孙康, 张国辉, 唐靖宇, 孙志嘉, 宁常军, 高可庆, 安琪, 白怀勇, 鲍杰, 鲍煜, 曹平, 陈昊磊, 陈琪萍, 陈永浩, 陈裕凯, 陈朕, 封常青, 顾旻皓, 韩长材, 韩子杰, 贺国珠, 何泳成, 洪杨, 黄翰雄, 黄蔚玲, 黄锡汝, 季筱璐, 吉旭阳, 姜智杰, 敬罕涛, 康玲, 康明涛, 李波, 李超, 李嘉雯, 李论, 李强, 李晓, 李样, 刘荣, 刘树彬, 刘星言, 栾广源, 穆奇丽, 齐斌斌, 任杰, 任智洲, 阮锡超, 宋朝晖, 宋英鹏, 孙虹, 孙晓阳, 谭志新, 唐洪庆, 唐新懿, 田斌斌, 王丽娇, 王鹏程, 王琦, 王涛峰, 王朝辉, 文杰, 温中伟, 吴青彪, 吴晓光, 吴煊, 解立坤, 羊奕伟, 于莉, 余滔, 于永积, 张林浩, 张奇玮, 张显鹏, 张玉亮, 张志永, 赵豫斌, 周路平, 周祖英, 朱丹阳, 朱科军, 朱鹏, CSNS Back-n合作组 .基于反角白光中子源次级质子的探测器标定. 必威体育下载 , 2021, 70(8): 082901.doi:10.7498/aps.70.20201823
      [7] 张奇玮, 栾广源, 任杰, 阮锡超, 贺国珠, 鲍杰, 孙琪, 黄翰雄, 王朝辉, 顾旻皓, 余滔, 解立坤, 陈永浩, 安琪, 白怀勇, 鲍煜, 曹平, 陈昊磊, 陈琪萍, 陈裕凯, 陈朕, 崔增琪, 樊瑞睿, 封常青, 高可庆, 韩长材, 韩子杰, 何泳成, 洪杨, 黄蔚玲, 黄锡汝, 季筱璐, 吉旭阳, 蒋伟, 江浩雨, 姜智杰, 敬罕涛, 康玲, 康明涛, 李波, 李超, 李嘉雯, 李论, 李强, 李晓, 李样, 刘荣, 刘树彬, 刘星言, 穆奇丽, 宁常军, 齐斌斌, 任智洲, 宋英鹏, 宋朝晖, 孙虹, 孙康, 孙晓阳, 孙志嘉, 谭志新, 唐洪庆, 唐靖宇, 唐新懿, 田斌斌, 王丽娇, 王鹏程, 王琦, 王涛峰, 文杰, 温中伟, 吴青彪, 吴晓光, 吴煊, 羊奕伟, 易晗, 于莉, 于永积, 张国辉, 张林浩, 张显鹏, 张玉亮, 张志永, 赵豫斌, 周路平, 周祖英, 朱丹阳, 朱科军, 朱鹏, 朱兴华.基于CSNS反角白光中子源的中子俘获反应截面测量技术研究. 必威体育下载 , 2021, 70(22): 222801.doi:10.7498/aps.70.20210742
      [8] 任杰, 阮锡超, 陈永浩, 蒋伟, 鲍杰, 栾广源, 张奇玮, 黄翰雄, 王朝辉, 安琪, 白怀勇, 鲍煜, 曹平, 陈昊磊, 陈琪萍, 陈裕凯, 陈朕, 崔增琪, 樊瑞睿, 封常青, 高可庆, 顾旻皓, 韩长材, 韩子杰, 贺国珠, 何泳成, 洪杨, 黄蔚玲, 黄锡汝, 季筱璐, 吉旭阳, 江浩雨, 姜智杰, 敬罕涛, 康玲, 康明涛, 李波, 李超, 李嘉雯, 李论, 李强, 李晓, 李样, 刘荣, 刘树彬, 刘星言, 穆奇丽, 宁常军, 齐斌斌, 任智洲, 宋英鹏, 宋朝晖, 孙虹, 孙康, 孙晓阳, 孙志嘉, 谭志新, 唐洪庆, 唐靖宇, 唐新懿, 田斌斌, 王丽娇, 王鹏程, 王琦, 王涛峰, 文杰, 温中伟, 吴青彪, 吴晓光, 吴煊, 解立坤, 羊奕伟, 易晗, 于莉, 余滔, 于永积, 张国辉, 张林浩, 张显鹏, 张玉亮, 张志永, 赵豫斌, 周路平, 周祖英, 朱丹阳, 朱科军, 朱鹏.中国散裂中子源反角白光中子源束内伽马射线研究. 必威体育下载 , 2020, 69(17): 172901.doi:10.7498/aps.69.20200718
      [9] 王勋, 张凤祁, 陈伟, 郭晓强, 丁李利, 罗尹虹.基于中国散裂中子源的商用静态随机存取存储器中子单粒子效应实验研究. 必威体育下载 , 2020, 69(16): 162901.doi:10.7498/aps.69.20200265
      [10] 詹霞, JoeKelleher, 高建波, 马艳玲, 初铭强, 张书彦, 张鹏, SanjooramPaddea, 贡志锋, 侯晓东.英国散裂中子源工程材料原位加载衍射实验高温样品环境优化设计. 必威体育下载 , 2019, 68(13): 132901.doi:10.7498/aps.68.20182295
      [11] 鲍杰, 陈永浩, 张显鹏, 栾广源, 任杰, 王琦, 阮锡超, 张凯, 安琪, 白怀勇, 曹平, 陈琪萍, 程品晶, 崔增琪, 樊瑞睿, 封常青, 顾旻皓, 郭凤琴, 韩长材, 韩子杰, 贺国珠, 何泳成, 何越峰, 黄翰雄, 黄蔚玲, 黄锡汝, 季筱路, 吉旭阳, 江浩雨, 蒋伟, 敬罕涛, 康玲, 康明涛, 兰长林, 李波, 李论, 李强, 李晓, 李阳, 李样, 刘荣, 刘树彬, 刘星言, 马应林, 宁常军, 聂阳波, 齐斌斌, 宋朝晖, 孙虹, 孙晓阳, 孙志嘉, 谭志新, 唐洪庆, 唐靖宇, 王鹏程, 王涛峰, 王艳凤, 王朝辉, 王征, 文杰, 温中伟, 吴青彪, 吴晓光, 吴煊, 解立坤, 羊奕伟, 杨毅, 易晗, 于莉, 余滔, 于永积, 张国辉, 张旌, 张林浩, 张利英, 张清民, 张奇伟, 张玉亮, 张志永, 赵映潭, 周良, 周祖英, 朱丹阳, 朱科军, 朱鹏.更正:中国散裂中子源反角白光中子束流参数的初步测量. 必威体育下载 , 2019, 68(10): 109901.doi:10.7498/aps.68.109901
      [12] 胡志良, 杨卫涛, 李永宏, 李洋, 贺朝会, 王松林, 周斌, 于全芝, 何欢, 谢飞, 白雨蓉, 梁天骄.应用中国散裂中子源9号束线端研究65 nm微控制器大气中子单粒子效应. 必威体育下载 , 2019, 68(23): 238502.doi:10.7498/aps.68.20191196
      [13] 王勋, 张凤祁, 陈伟, 郭晓强, 丁李利, 罗尹虹.中国散裂中子源在大气中子单粒子效应研究中的应用评估. 必威体育下载 , 2019, 68(5): 052901.doi:10.7498/aps.68.20181843
      [14] 鲍杰, 陈永浩, 张显鹏, 栾广源, 任杰, 王琦, 阮锡超, 张凯, 安琪, 白怀勇, 曹平, 陈琪萍, 程品晶, 崔增琪, 樊瑞睿, 封常青, 顾旻皓, 郭凤琴, 韩长材, 韩子杰, 贺国珠, 何泳成, 何越峰, 黄翰雄, 黄蔚玲, 黄锡汝, 季筱路, 吉旭阳, 江浩雨, 蒋伟, 敬罕涛, 康玲, 康明涛, 兰长林, 李波, 李论, 李强, 李晓, 李阳, 李样, 刘荣, 刘树彬, 刘星言, 马应林, 宁常军, 聂阳波, 齐斌斌, 宋朝晖, 孙虹, 孙晓阳, 孙志嘉, 谭志新, 唐洪庆, 唐靖宇, 王鹏程, 王涛峰, 王艳凤, 王朝辉, 王征, 文杰, 温中伟, 吴青彪, 吴晓光, 吴煊, 解立坤, 羊奕伟, 杨毅, 易晗, 于莉, 余滔, 于永积, 张国辉, 张旌, 张林浩, 张利英, 张清民, 张奇伟, 张玉亮, 张志永, 赵映潭, 周良, 周祖英, 朱丹阳, 朱科军, 朱鹏.中国散裂中子源反角白光中子束流参数的初步测量. 必威体育下载 , 2019, 68(8): 080101.doi:10.7498/aps.68.20182191
      [15] 温志文, 祁辉荣, 张余炼, 王海云, 刘凌, 王艳凤, 张建, 李玉红, 孙志嘉.用于中国散裂中子源多功能反射谱仪的高气压多丝正比室探测器的研制. 必威体育下载 , 2018, 67(7): 072901.doi:10.7498/aps.67.20172618
      [16] 沈飞, 梁泰然, 殷雯, 于全芝, 左太森, 姚泽恩, 朱涛, 梁天骄.中国散裂中子源多功能反射谱仪屏蔽设计. 必威体育下载 , 2014, 63(15): 152801.doi:10.7498/aps.63.152801
      [17] 王胜, 邹宇斌, 温伟伟, 李航, 刘树全, 王浒, 陆元荣, 唐国有, 郭之虞.基于小型加速器的编码中子源成像研究. 必威体育下载 , 2013, 62(12): 122801.doi:10.7498/aps.62.122801
      [18] 于全芝, 殷雯, 梁天骄.中国散裂中子源靶站重要部件的辐照损伤计算与分析. 必威体育下载 , 2011, 60(5): 052501.doi:10.7498/aps.60.052501
      [19] 姚立山, 靳玉玲, 蔡敦九.14MeV中子(n,T)与(n,3He)反应截面的系统学研究. 必威体育下载 , 1993, 42(1): 17-24.doi:10.7498/aps.42.17
      [20] 傅德基, 蔡廷璜, 夏克定.Th232与U238中子俘获截面的计算. 必威体育下载 , 1974, 23(3): 52-60.doi:10.7498/aps.23.52-2
    计量
    • 文章访问数:4835
    • PDF下载量:267
    • 被引次数:0
    出版历程
    • 收稿日期:2021-11-04
    • 修回日期:2021-12-03
    • 上网日期:2022-01-26
    • 刊出日期:2022-04-05

      返回文章
      返回