搜索

x

留言板

姓名
邮箱
手机号码
标题
留言内容
验证码

downloadPDF
引用本文:
Citation:

冯凯源, 邵福球, 蒋祥瑞, 邹德滨, 胡理想, 张国博, 杨晓虎, 银燕, 马燕云, 余同普

Ultrashort pulsed neutron source driven by two counter-propagating laser pulses interacting with ultra-thin foil

Feng Kai-Yuan, Shao Fu-Qiu, Jiang Xiang-Rui, Zou De-Bin, Hu Li-Xiang, Zhang Guo-Bo, Yang Xiao-Hu, Yin Yan, Ma Yan-Yun, Yu Tong-Pu
PDF
HTML
导出引用
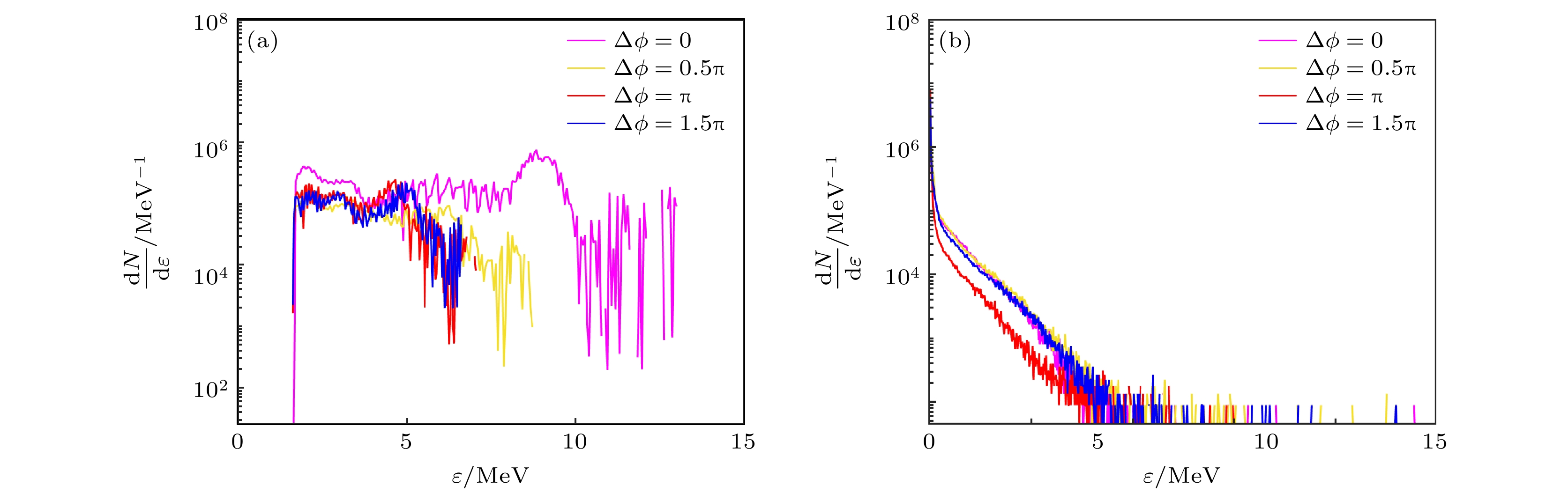
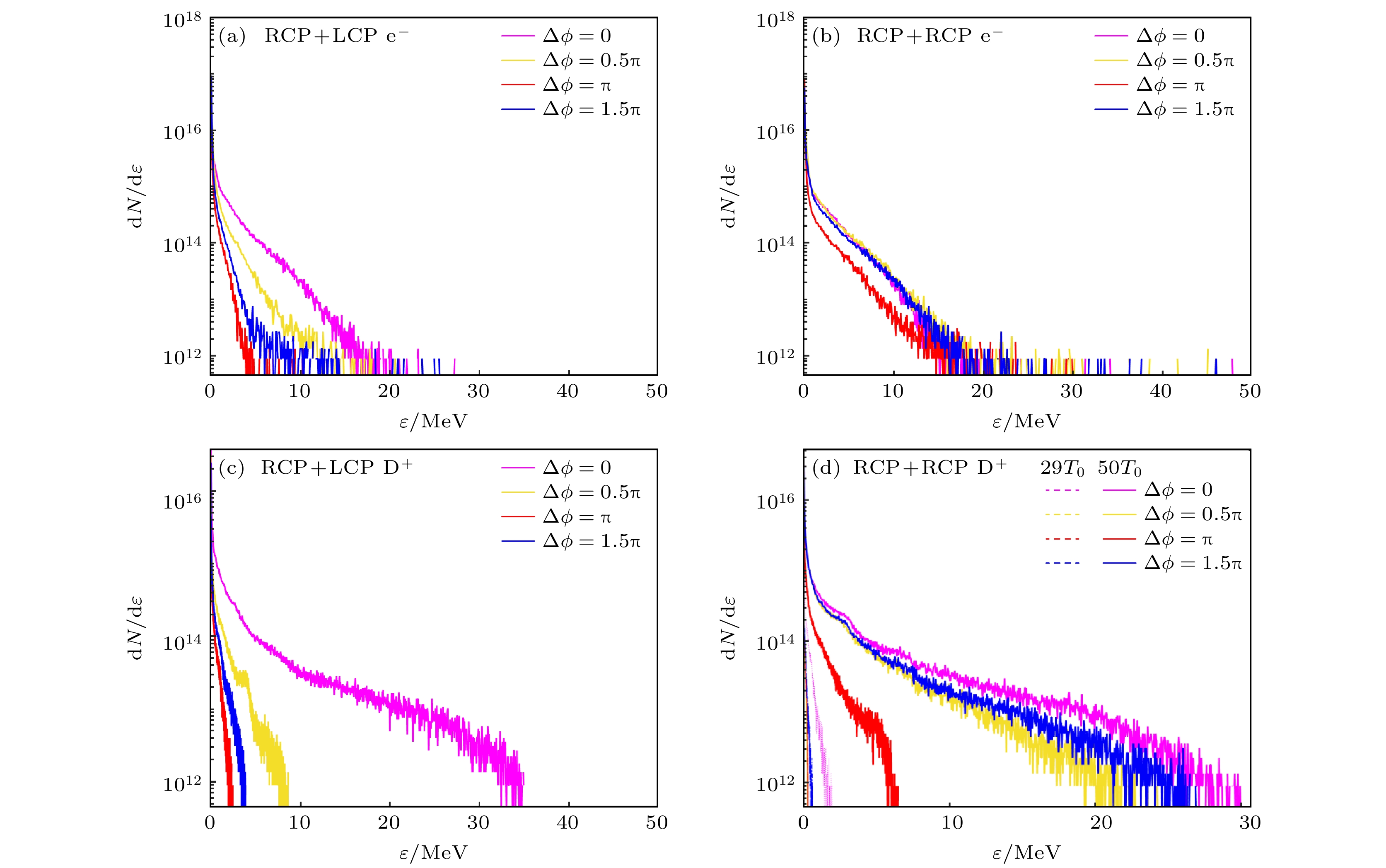
  • 使用粒子模拟程序和蒙特卡罗方法研究了双束对射圆极化激光与超薄氘靶相互作用中氘氘聚变反应产生中子的过程. 研究发现, 由于净光压和横向不稳定性发展的差异, 激光电场矢量旋转方向和初始相对相位差对氘靶压缩及中子特性有重要影响. 选择相对相位差为0且电场矢量旋转方向相同的双束光, 可获得最高的中子产额; 而采用相对相位差为0.5π或1.5π且电场矢量旋转方向不同的对射光, 中子具有定向的空间分布. 对于强度为1.23 × 10 21W/cm 2、脉宽为33 fs、相对相位差为0.5π的左旋光和右旋光, 可获得产额为8.5 × 10 4n、强度为1.2 × 10 19n/s、脉宽为23 fs、前冲性较好且分布可调谐的脉冲中子源.
    Neutron production via D(d, n) 3He nuclear reaction during the interaction of two counter-propagating circularly polarized laser pulses with ultra-thin deuterium target is investigated by particle-in-cell simulation and Monte Carlo method. It is found that the rotation direction and initial relative phase difference of laser electric field vector have important effects on deuterium foil compression and neutron characteristics. The reason is attributed to the net light pressure and the difference in transverse instability development. The highest neutron yield can be obtained by choosing two laser pulses with a relative phase difference of 0 and the same rotation direction of the electric field vector. When the relative phase difference is 0.5π or 1.5π and the rotation direction of electric field vector is different, the neutrons have a directional spatial distribution and the neutron yield only slightly decreases. For left-handed circularly polarized laser pulse and right-handed circularly polarized laser pulse, each with an intensity of 1.23 × 10 21W/cm 2, a pulse width of 33 fs and a relative phase difference of 0.5π, it is possible to produce a pulsed neutron source with a yield of 8.5 × 10 4n, production rate of 1.2 × 10 19n/s, pulse width of 23 fs and good forward direction as well as tunable spatial distribution. Comparing with photonuclear neutron source and beam target neutron source driven by ultraintense laser pulses, the duration of neutron source in our scheme decreases significantly, thereby possessing many potential applications such as neutron nuclear data measurement. Our scheme offers a possible method to obtain a compact neutron source with short pulse width, high production rate and good forward direction.
        通信作者:邹德滨,debinzou@nudt.edu.cn
      • 基金项目:国家自然科学基金(批准号: 12175310, 12275356, U22411281)、湖南省自然科学基金(批准号: 2022JJ20042)、国防科技大学青年创新奖一等奖配套项目(批准号: 20190102)和湖南省研究生科研创新项目(批准号: CX20210006)资助的课题.
        Corresponding author:Zou De-Bin,debinzou@nudt.edu.cn
      • Funds:Project supported by the National Natural Science Foundation of China (Grant Nos. 12175310, 12275356, U22411281), the Natural Science Foundation of Hunan Province, China (Grant No. 2022JJ20042), the Youth Innovation Award of NUDT (Grant No. 20190102), and the Postgraduate Scientific Research Innovation Project of Hunan Province, China (Grant No. CX20210006).
      [1]

      [2]

      [3]

      [4]

      [5]

      [6]

      [7]

      [8]

      [9]

      [10]

      [11]

      [12]

      [13]

      [14]

      [15]

      [16]

      [17]

      [18]

      [19]

      [20]

      [21]

      [22]

      [23]

      [24]

      [25]

      [26]

      [27]

      [28]

      [29]

      [30]

      [31]

      [32]

      [33]

      [34]

      [35]

      [36]

      [37]

      [38]

      [39]

      [40]

      [41]

      [42]

      [43]

      [44]

      [45]

      [46]

      [47]

    • [1]

      [2]

      [3]

      [4]

      [5]

      [6]

      [7]

      [8]

      [9]

      [10]

      [11]

      [12]

      [13]

      [14]

      [15]

      [16]

      [17]

      [18]

      [19]

      [20]

      [21]

      [22]

      [23]

      [24]

      [25]

      [26]

      [27]

      [28]

      [29]

      [30]

      [31]

      [32]

      [33]

      [34]

      [35]

      [36]

      [37]

      [38]

      [39]

      [40]

      [41]

      [42]

      [43]

      [44]

      [45]

      [46]

      [47]

    • [1] 罗淏天, 张奇玮, 栾广源, 王晓宇, 邹翀, 任杰, 阮锡超, 贺国珠, 鲍杰, 孙琪, 黄翰雄, 王朝辉, 吴鸿毅, 顾旻皓, 余滔, 解立坤, 陈永浩, 安琪, 白怀勇, 鲍煜, 曹平, 陈昊磊, 陈琪萍, 陈裕凯, 陈朕, 崔增琪, 樊瑞睿, 封常青, 高可庆, 韩长材, 韩子杰, 何泳成, 洪杨, 黄蔚玲, 黄锡汝, 季筱璐, 吉旭阳, 蒋伟, 江浩雨, 姜智杰, 敬罕涛, 康玲, 康明涛, 李波, 李超, 李嘉雯, 李论, 李强, 李晓, 李样, 刘荣, 刘树彬, 刘星言, 穆奇丽, 宁常军, 齐斌斌, 任智洲, 宋英鹏, 宋朝晖, 孙虹, 孙康, 孙晓阳, 孙志嘉, 谭志新, 唐洪庆, 唐靖宇, 唐新懿, 田斌斌, 王丽娇, 王鹏程, 王琦, 王涛峰, 文杰, 温中伟, 吴青彪, 吴晓光, 吴煊, 羊奕伟, 易晗, 于莉, 于永积, 张国辉, 张林浩, 张显鹏, 张玉亮, 张志永, 赵豫斌, 周路平, 周祖英, 朱丹阳, 朱科军, 朱鹏, 朱兴华.基于白光中子源的197Au中子辐射俘获截面测量及共振参数分析. 必威体育下载 , 2024, 73(7): 072801.doi:10.7498/aps.73.20231957
      [2] 李强, 李样, 吕游, 潘子文, 鲍煜.中国散裂中子源缪子谱仪及其应用展望. 必威体育下载 , 2024, 0(0): .doi:10.7498/aps.73.20240926
      [3] 张江林, 姜炳, 陈永浩, 郭子安, 王小鹤, 蒋伟, 易晗, 韩建龙, 胡继峰, 唐靖宇, 陈金根, 蔡翔舟.基于中国散裂中子源反角白光中子束线的天然锂中子全截面测量. 必威体育下载 , 2022, 71(5): 052901.doi:10.7498/aps.71.20211646
      [4] 蒋伟, 江浩雨, 易晗, 樊瑞睿, 崔增琪, 孙康, 张国辉, 唐靖宇, 孙志嘉, 宁常军, 高可庆, 安琪, 白怀勇, 鲍杰, 鲍煜, 曹平, 陈昊磊, 陈琪萍, 陈永浩, 陈裕凯, 陈朕, 封常青, 顾旻皓, 韩长材, 韩子杰, 贺国珠, 何泳成, 洪杨, 黄翰雄, 黄蔚玲, 黄锡汝, 季筱璐, 吉旭阳, 姜智杰, 敬罕涛, 康玲, 康明涛, 李波, 李超, 李嘉雯, 李论, 李强, 李晓, 李样, 刘荣, 刘树彬, 刘星言, 栾广源, 穆奇丽, 齐斌斌, 任杰, 任智洲, 阮锡超, 宋朝晖, 宋英鹏, 孙虹, 孙晓阳, 谭志新, 唐洪庆, 唐新懿, 田斌斌, 王丽娇, 王鹏程, 王琦, 王涛峰, 王朝辉, 文杰, 温中伟, 吴青彪, 吴晓光, 吴煊, 解立坤, 羊奕伟, 于莉, 余滔, 于永积, 张林浩, 张奇玮, 张显鹏, 张玉亮, 张志永, 赵豫斌, 周路平, 周祖英, 朱丹阳, 朱科军, 朱鹏, CSNS Back-n合作组 .基于反角白光中子源次级质子的探测器标定. 必威体育下载 , 2021, 70(8): 082901.doi:10.7498/aps.70.20201823
      [5] 张奇玮, 栾广源, 任杰, 阮锡超, 贺国珠, 鲍杰, 孙琪, 黄翰雄, 王朝辉, 顾旻皓, 余滔, 解立坤, 陈永浩, 安琪, 白怀勇, 鲍煜, 曹平, 陈昊磊, 陈琪萍, 陈裕凯, 陈朕, 崔增琪, 樊瑞睿, 封常青, 高可庆, 韩长材, 韩子杰, 何泳成, 洪杨, 黄蔚玲, 黄锡汝, 季筱璐, 吉旭阳, 蒋伟, 江浩雨, 姜智杰, 敬罕涛, 康玲, 康明涛, 李波, 李超, 李嘉雯, 李论, 李强, 李晓, 李样, 刘荣, 刘树彬, 刘星言, 穆奇丽, 宁常军, 齐斌斌, 任智洲, 宋英鹏, 宋朝晖, 孙虹, 孙康, 孙晓阳, 孙志嘉, 谭志新, 唐洪庆, 唐靖宇, 唐新懿, 田斌斌, 王丽娇, 王鹏程, 王琦, 王涛峰, 文杰, 温中伟, 吴青彪, 吴晓光, 吴煊, 羊奕伟, 易晗, 于莉, 于永积, 张国辉, 张林浩, 张显鹏, 张玉亮, 张志永, 赵豫斌, 周路平, 周祖英, 朱丹阳, 朱科军, 朱鹏, 朱兴华.基于CSNS反角白光中子源的中子俘获反应截面测量技术研究. 必威体育下载 , 2021, 70(22): 222801.doi:10.7498/aps.70.20210742
      [6] 任杰, 阮锡超, 陈永浩, 蒋伟, 鲍杰, 栾广源, 张奇玮, 黄翰雄, 王朝辉, 安琪, 白怀勇, 鲍煜, 曹平, 陈昊磊, 陈琪萍, 陈裕凯, 陈朕, 崔增琪, 樊瑞睿, 封常青, 高可庆, 顾旻皓, 韩长材, 韩子杰, 贺国珠, 何泳成, 洪杨, 黄蔚玲, 黄锡汝, 季筱璐, 吉旭阳, 江浩雨, 姜智杰, 敬罕涛, 康玲, 康明涛, 李波, 李超, 李嘉雯, 李论, 李强, 李晓, 李样, 刘荣, 刘树彬, 刘星言, 穆奇丽, 宁常军, 齐斌斌, 任智洲, 宋英鹏, 宋朝晖, 孙虹, 孙康, 孙晓阳, 孙志嘉, 谭志新, 唐洪庆, 唐靖宇, 唐新懿, 田斌斌, 王丽娇, 王鹏程, 王琦, 王涛峰, 文杰, 温中伟, 吴青彪, 吴晓光, 吴煊, 解立坤, 羊奕伟, 易晗, 于莉, 余滔, 于永积, 张国辉, 张林浩, 张显鹏, 张玉亮, 张志永, 赵豫斌, 周路平, 周祖英, 朱丹阳, 朱科军, 朱鹏.中国散裂中子源反角白光中子源束内伽马射线研究. 必威体育下载 , 2020, 69(17): 172901.doi:10.7498/aps.69.20200718
      [7] 王勋, 张凤祁, 陈伟, 郭晓强, 丁李利, 罗尹虹.中国散裂中子源在大气中子单粒子效应研究中的应用评估. 必威体育下载 , 2019, 68(5): 052901.doi:10.7498/aps.68.20181843
      [8] 胡志良, 杨卫涛, 李永宏, 李洋, 贺朝会, 王松林, 周斌, 于全芝, 何欢, 谢飞, 白雨蓉, 梁天骄.应用中国散裂中子源9号束线端研究65 nm微控制器大气中子单粒子效应. 必威体育下载 , 2019, 68(23): 238502.doi:10.7498/aps.68.20191196
      [9] 鲍杰, 陈永浩, 张显鹏, 栾广源, 任杰, 王琦, 阮锡超, 张凯, 安琪, 白怀勇, 曹平, 陈琪萍, 程品晶, 崔增琪, 樊瑞睿, 封常青, 顾旻皓, 郭凤琴, 韩长材, 韩子杰, 贺国珠, 何泳成, 何越峰, 黄翰雄, 黄蔚玲, 黄锡汝, 季筱路, 吉旭阳, 江浩雨, 蒋伟, 敬罕涛, 康玲, 康明涛, 兰长林, 李波, 李论, 李强, 李晓, 李阳, 李样, 刘荣, 刘树彬, 刘星言, 马应林, 宁常军, 聂阳波, 齐斌斌, 宋朝晖, 孙虹, 孙晓阳, 孙志嘉, 谭志新, 唐洪庆, 唐靖宇, 王鹏程, 王涛峰, 王艳凤, 王朝辉, 王征, 文杰, 温中伟, 吴青彪, 吴晓光, 吴煊, 解立坤, 羊奕伟, 杨毅, 易晗, 于莉, 余滔, 于永积, 张国辉, 张旌, 张林浩, 张利英, 张清民, 张奇伟, 张玉亮, 张志永, 赵映潭, 周良, 周祖英, 朱丹阳, 朱科军, 朱鹏.更正:中国散裂中子源反角白光中子束流参数的初步测量. 必威体育下载 , 2019, 68(10): 109901.doi:10.7498/aps.68.109901
      [10] 鲍杰, 陈永浩, 张显鹏, 栾广源, 任杰, 王琦, 阮锡超, 张凯, 安琪, 白怀勇, 曹平, 陈琪萍, 程品晶, 崔增琪, 樊瑞睿, 封常青, 顾旻皓, 郭凤琴, 韩长材, 韩子杰, 贺国珠, 何泳成, 何越峰, 黄翰雄, 黄蔚玲, 黄锡汝, 季筱路, 吉旭阳, 江浩雨, 蒋伟, 敬罕涛, 康玲, 康明涛, 兰长林, 李波, 李论, 李强, 李晓, 李阳, 李样, 刘荣, 刘树彬, 刘星言, 马应林, 宁常军, 聂阳波, 齐斌斌, 宋朝晖, 孙虹, 孙晓阳, 孙志嘉, 谭志新, 唐洪庆, 唐靖宇, 王鹏程, 王涛峰, 王艳凤, 王朝辉, 王征, 文杰, 温中伟, 吴青彪, 吴晓光, 吴煊, 解立坤, 羊奕伟, 杨毅, 易晗, 于莉, 余滔, 于永积, 张国辉, 张旌, 张林浩, 张利英, 张清民, 张奇伟, 张玉亮, 张志永, 赵映潭, 周良, 周祖英, 朱丹阳, 朱科军, 朱鹏.中国散裂中子源反角白光中子束流参数的初步测量. 必威体育下载 , 2019, 68(8): 080101.doi:10.7498/aps.68.20182191
      [11] 代正亮, 崔维嘉, 王大鸣, 张彦奎.基于矢量化差分相位的单分布源解耦二维波达方向估计. 必威体育下载 , 2018, 67(7): 070702.doi:10.7498/aps.67.20172154
      [12] 李文惠, 张介秋, 屈绍波, 沈杨, 余积宝, 范亚, 张安学.基于极化旋转超表面的圆极化天线设计. 必威体育下载 , 2016, 65(2): 024101.doi:10.7498/aps.65.024101
      [13] 沈飞, 梁泰然, 殷雯, 于全芝, 左太森, 姚泽恩, 朱涛, 梁天骄.中国散裂中子源多功能反射谱仪屏蔽设计. 必威体育下载 , 2014, 63(15): 152801.doi:10.7498/aps.63.152801
      [14] 黄翔东, 孟天伟, 丁道贤, 王兆华.前后向子分段相位差频率估计法. 必威体育下载 , 2014, 63(21): 214304.doi:10.7498/aps.63.214304
      [15] 王胜, 邹宇斌, 温伟伟, 李航, 刘树全, 王浒, 陆元荣, 唐国有, 郭之虞.基于小型加速器的编码中子源成像研究. 必威体育下载 , 2013, 62(12): 122801.doi:10.7498/aps.62.122801
      [16] 罗群, 黄林海, 顾乃庭, 李斐, 饶长辉.相位差波前检测方法应用于平移误差检测的实验研究. 必威体育下载 , 2012, 61(6): 069501.doi:10.7498/aps.61.069501
      [17] 李斐, 饶长辉.基于相位差混合处理方法的高分辨力成像技术. 必威体育下载 , 2012, 61(2): 029502.doi:10.7498/aps.61.029502
      [18] 李斐.相位差图像复原技术研究. 必威体育下载 , 2012, 61(23): 230203.doi:10.7498/aps.61.230203
      [19] 于全芝, 殷雯, 梁天骄.中国散裂中子源靶站重要部件的辐照损伤计算与分析. 必威体育下载 , 2011, 60(5): 052501.doi:10.7498/aps.60.052501
      [20] 丁海兵, 庞文宁, 刘义保, 尚仁成.液晶相位可变延迟器对自旋极化电子束极化方向的调制. 必威体育下载 , 2005, 54(9): 4097-4100.doi:10.7498/aps.54.4097
    计量
    • 文章访问数:3069
    • PDF下载量:113
    • 被引次数:0
    出版历程
    • 收稿日期:2023-04-30
    • 修回日期:2023-06-09
    • 上网日期:2023-06-29
    • 刊出日期:2023-09-20

      返回文章
      返回