Liquid iron is the major component of planetary cores. Its structure and dynamics under high pressure and temperature is of great significance in studying geophysics and planetary science. However, for experimental techniques, it is still difficult to generate and probe such a state of matter under extreme conditions, while for theoretical method like molecular dynamics simulation, the reliable estimation of dynamic properties requires both large simulation size and
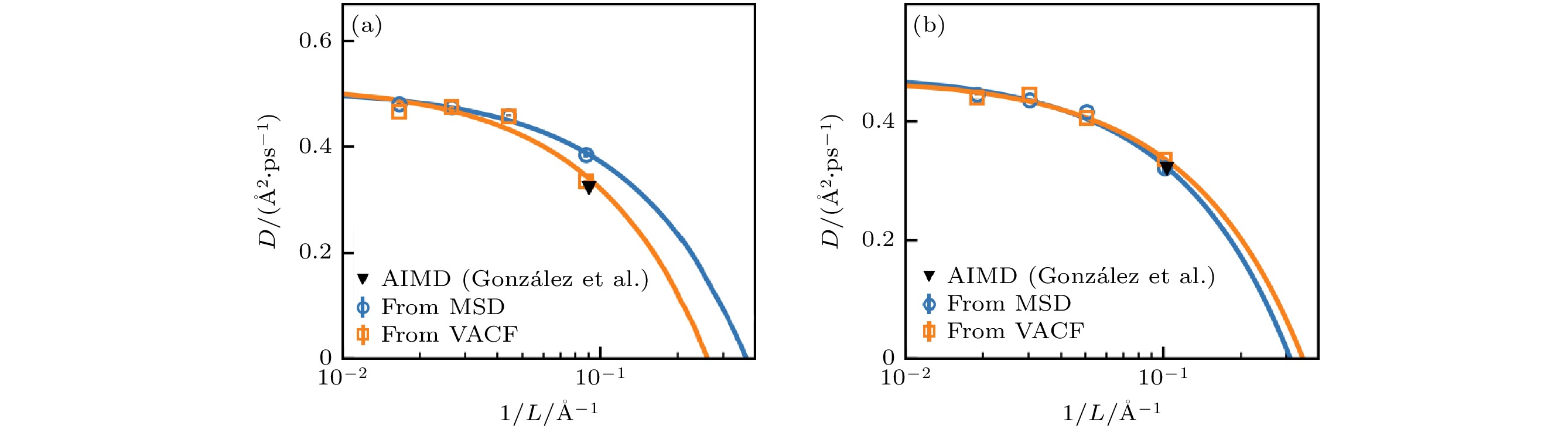
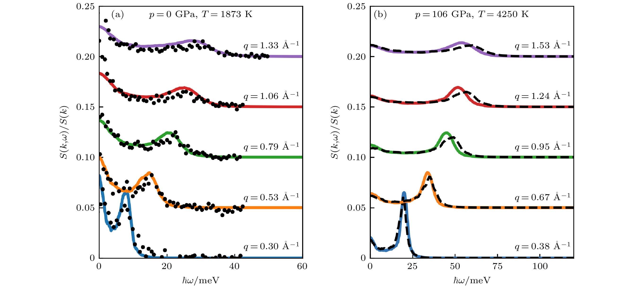
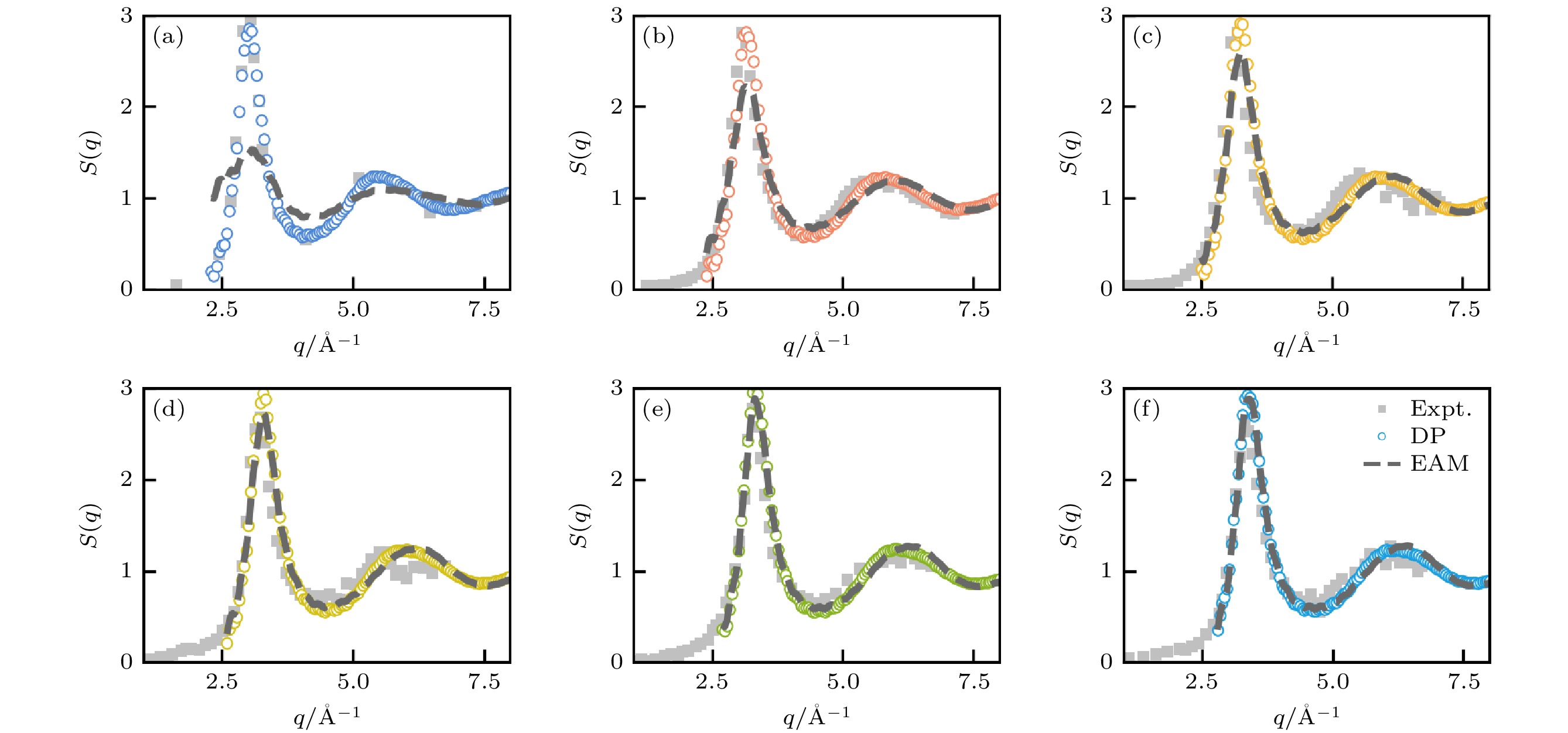
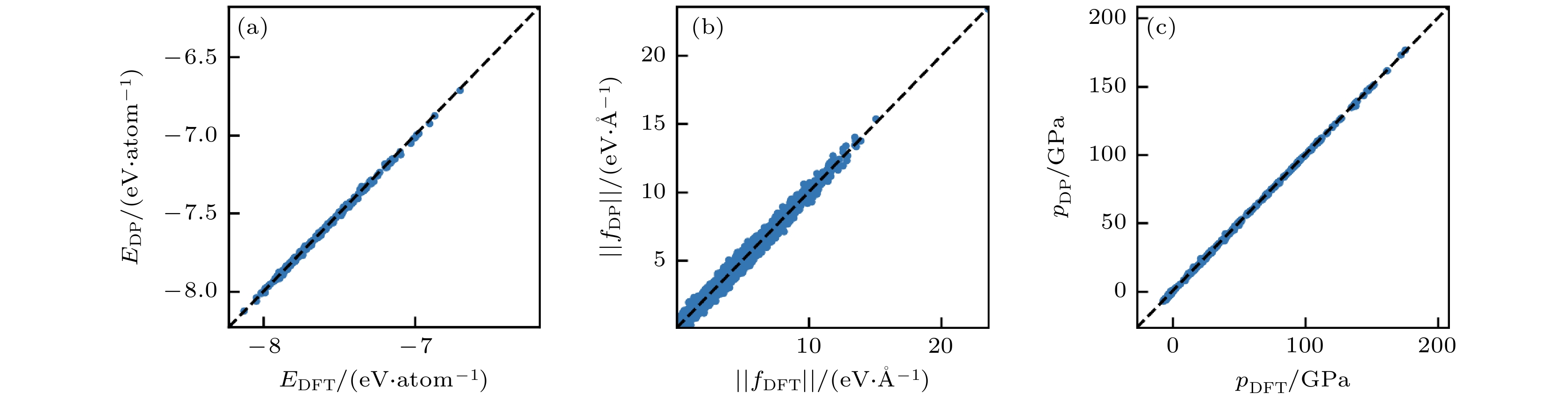
ab initioaccuracy, resulting in unaffordable computational costs for traditional method. Owing to the technical limitation, the understanding of such matters remains limited. In this work, combining molecular dynamics simulation, we establish a neural network potential energy surface model to study the static and dynamic properties of liquid iron at its extreme thermodynamic state close to core-mantle boundary. The implementation of deep neural network extends the simulation scales from one hundred atoms to millions of atoms within quantum accuracy. The estimated static and dynamic structure factor show good consistency with all available X-ray diffraction and inelastic X-ray scattering experimental observations, while the empirical potential based on embedding-atom-method fails to give a unified description of liquid iron across a wide range of thermodynamic conditions. We also demonstrate that the transport property like diffusion coefficient exhibits a strong size effect, which requires more than at least ten thousands of atoms to give a converged value. Our results show that the combination of deep learning technology and molecular modelling provides a way to describe matter realistically under extreme conditions.