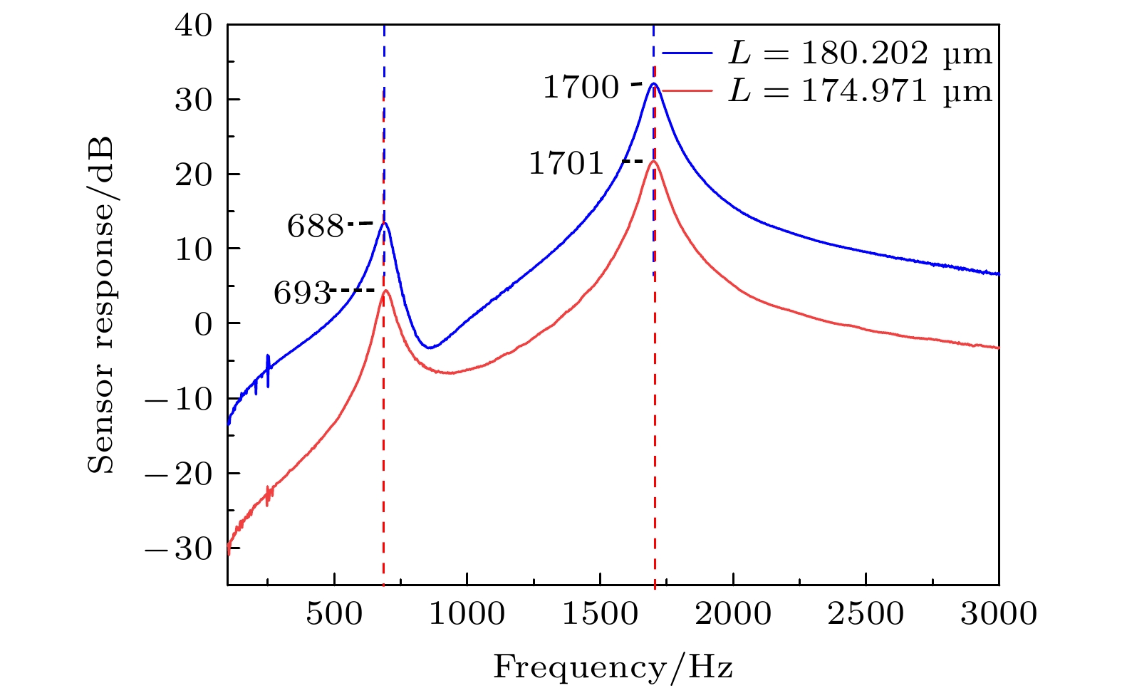
The bionic sound detector based on the principle of the Ormia ochracea fly’s coupled ears is a miniature directional microphone that is sensitive to the sound pressure gradient. In this work, a silicon micro-electro-mechanical system bionic diaphragm consisting of two interconnected wings is designed and prepared, and a fiber-optic Fabry-Pérot interferometric microphone is constructed using the bionic diaphragm, and the characteristics of this microphone are studied theoretically and experimentally. According to the simulation results, the bionic diaphragm has two vibration modes of rocking and bending, and the rocking-mode displacement amplitude at a given sound pressure depends on the frequency and the propagation direction of the incident sound wave, and the closer to the eigenfrequency of the rocking mode the sound frequency, the greater the amplitude is; the rocking-mode displacement amplitude changes with the propagation direction in the three-dimensional space, resulting in a spindle-shaped distribution, and the long axis of the spindle is parallel to the long axis of the diaphragm, implying that the microphone is most sensitive to the sound wave propagating along the long axis of the diaphragm. The rocking-mode resonance frequency of the fiber-optic bionic microphone is measured to be slightly smaller than the simulated value. The output signal amplitude of the microphone changes with the horizontal azimuth angle of the sound source, producing a figure-8 polar pattern. A linear relationship between the microphone response and the azimuth angle is obtained in a range of 0° – ±60°, and in this angle range the directional sensitivity of the microphone is 39.98 mV/(°).