-
在强背景场下真空产生正反粒子对的研究中, 频率啁啾对增强粒子对的产生起着关键作用. 本文介绍了狄拉克-海森伯-维格纳(Dirac -Heisenberg-Wigner)、求解量子弗拉索夫方程(quantum Vlasov equation)和计算量子场论等方法, 并详细综述了它们如何应用到空间非均匀场、均匀含时场以及外部势场中正负电子对产生的研究. 通过研究各种不同的场得到了不同参数(如场强和基准频率)下产生的粒子动量谱和粒子对产额, 发现当频率啁啾形式或/和啁啾强度改变时结果受到显著影响. 在低频场下啁啾增强的数密度可提高2—3个数量级, 这主要是因为啁啾增加了场的高频成分, 从而低频强场和高频弱场相结合的动力学辅助机制起到了很大的作用. 一般来说在高频情况下数密度只有几倍的提高, 说明动力学辅助作用被大大地抑制了. 在有空间变化的场情形下, 对于小空间尺度变化的场, 无啁啾时本身的数密度不高, 但啁啾可以对数密度有数量级的提高; 对于大空间尺度变化的场, 数密度逐渐趋于空间均匀的结果, 啁啾也能对数密度有几倍的提高. 通过Wentzel-Kramer-Brillouin近似和转变点结构的物理分析和讨论可以对相关的数值结果进行理解. 最后简要地给出了频率啁啾对粒子对产生增强效应可能的应用前景与展望.In this review article, we show an important aspect of electron-positron pair production from vacuum under strong background field where the frequency chirping plays a key role in enhancing the pair production. A series of researches on the enhancement effect of frequency chirp on electron-positron pair production in strong field is summarized. Three approaches are introduced, i.e. the Dirac-Heisenberg-Wigner formalism used to treat the spatial inhomogeneous field or/and multidimensional homogeneous time-dependent field, quantum Vlasov equation to cope with the one-dimensional homogeneous time-dependent field, and the computation quantum field theory employed to study the problem with external potential. Some interesting results about the momentum spectrum structure of created particle and the yielding of pair numbers are demonstrated for various different field parameters such as field strength and central frequency, in particular their significant influence on results when the frequency chirping form or/and strength are changed. In general, the number density can be improved by 2-3 orders of magnitude with the strengthening of frequency chirping in comparison with that without chirping for low frequency field, which is attributed to the effect that the dynamically assisted mechanism plays a significant role since the chirping expands the frequency spectrum of field. For high frequency field, however, this effect is suppressed so that the number density is enhanced by about a few times. For spatially inhomogeneous field, field changing on a small scale does not make the number density so high and the frequency chirping can enhance the yield in the order of magnitude, while the field changing on a large scale makes the number density to approach to that of homogeneous field and the chirping increases the yield by a few times. These numerical results can be understood by the Wentzel-Kramer-Brillouin (WKB) approximation and the structure of turning points. Finally the possible applicable prospects of the electron-positron pair production by the frequency chirping are presented briefly.
-
Keywords:
- electron-positron pair production/
- frequency chirping/
- strong field/
- quantum kinetic method
[1] [2] [3] [4] [5] [6] [7] [8] [9] [10] [11] [12] [13] [14] [15] [16] [17] [18] [19] [20] [21] [22] [23] [24] [25] [26] [27] [28] [29] [30] [31] [32] [33] [34] [35] [36] [37] [38] [39] [40] [41] [42] [43] [44] [45] [46] [47] [48] [49] [50] [51] [52] [53] [54] [55] [56] [57] [58] [59] [60] [61] [62] [63] [64] [65] -
b($ \omega /\tau ) $ $ {N}_{\mathrm{s}\mathrm{y}\mathrm{m}} $ $ {N}_{\mathrm{a}\mathrm{s}\mathrm{y}\mathrm{m}} $ $ {N}_{\mathrm{s}\mathrm{y}\mathrm{m}}/{N}_{\mathrm{a}\mathrm{s}\mathrm{y}\mathrm{m}} $ 0.05 0.2680 0.1663 1.612 0.10 0.3274 0.1561 2.097 0.20 0.3178 0.1791 1.774 0.50 1.4340 0.7474 1.919 Different
chirpingChirp parameter
($ {\omega }_{i}/\tau $), ($ i=\mathrm{1, 2} $)Spatial
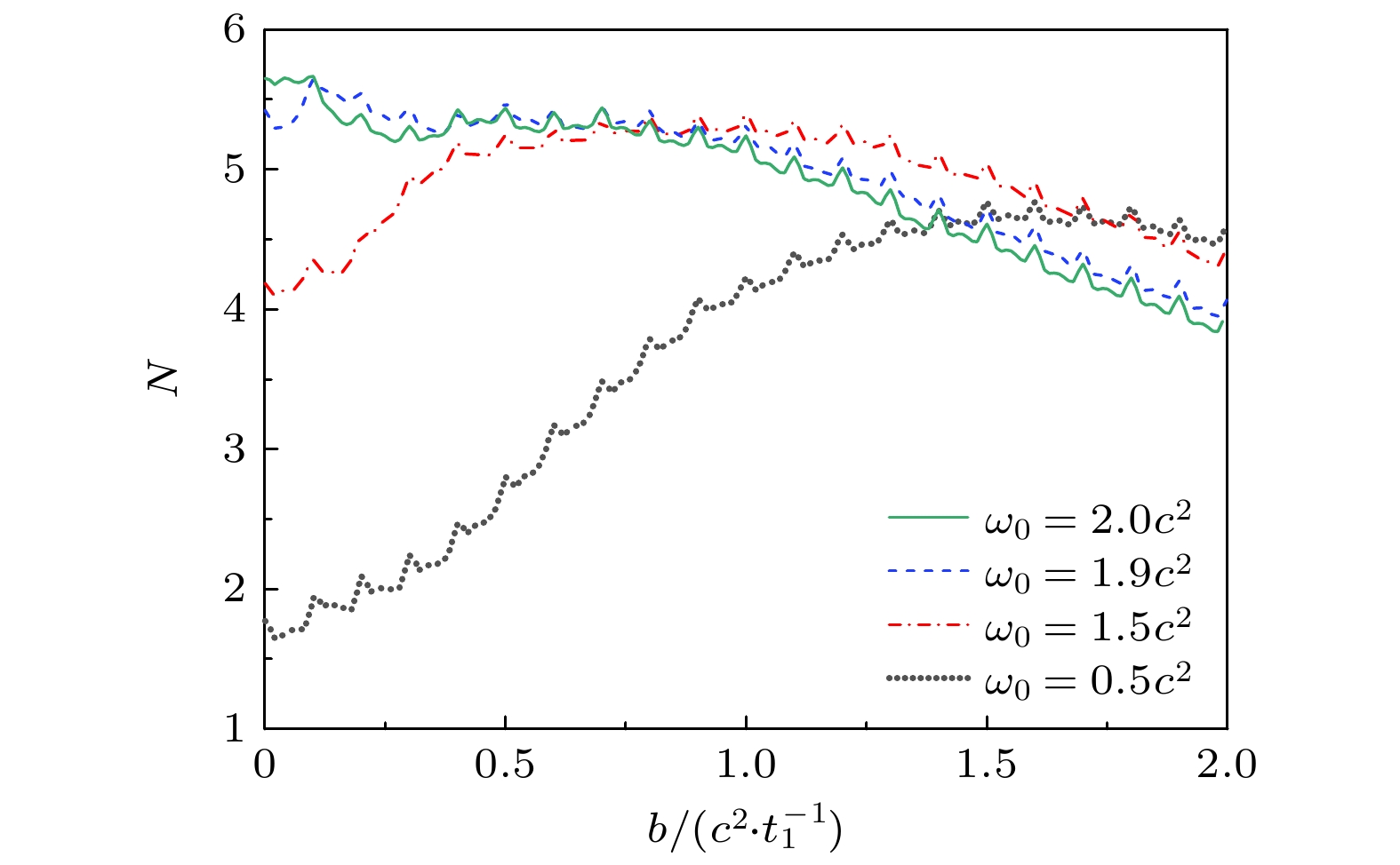
scale/m–1$\displaystyle\frac{N_{\rm 1s+2w} } {N_{\rm 1s}+ N_{\rm 2w}}$ Only $ {b}_{1} $ $ {b}_{1}=0.9 $ $ \lambda =2.4 $ 94.756 Only $ {b}_{2} $ $ {b}_{2}=0.3 $ $ \lambda =2.4 $ 133.584 $ {b}_{1} $ and $ {b}_{2} $ $ {b}_{1}={b}_{2}=0.3 $ $ \lambda =2.4 $ 132.517 $ {\omega }_{0}/{c}^{2} $ $ {N}_{\mathrm{m}\mathrm{i}\mathrm{n}}(b=0) $ $ {N}_{\mathrm{m}\mathrm{a}\mathrm{x}} $ $ R({N}_{\mathrm{m}\mathrm{a}\mathrm{x}}/{N}_{\mathrm{m}\mathrm{i}\mathrm{n}}) $ 0.1 1.87 4.58 ($ b=1.8{c}^{2}/{t}_{1} $) 2.45 0.2 1.85 4.69 ($ b=1.7{c}^{2}/{t}_{1} $) 2.54 0.5 1.77 4.76 ($ b=1.6{c}^{2}/{t}_{1} $) 2.69 1.0 2.30 5.13 ($ b=1.2{c}^{2}/{t}_{1} $) 2.23 1.5 4.18 5.39 ($ b=0.8{c}^{2}/{t}_{1} $) 1.29 1.9 5.42 5.65 ($ b=0.1{c}^{2}/{t}_{1} $) 1.04 -
[1] [2] [3] [4] [5] [6] [7] [8] [9] [10] [11] [12] [13] [14] [15] [16] [17] [18] [19] [20] [21] [22] [23] [24] [25] [26] [27] [28] [29] [30] [31] [32] [33] [34] [35] [36] [37] [38] [39] [40] [41] [42] [43] [44] [45] [46] [47] [48] [49] [50] [51] [52] [53] [54] [55] [56] [57] [58] [59] [60] [61] [62] [63] [64] [65]
计量
- 文章访问数:4675
- PDF下载量:102
- 被引次数:0












下载:














