-
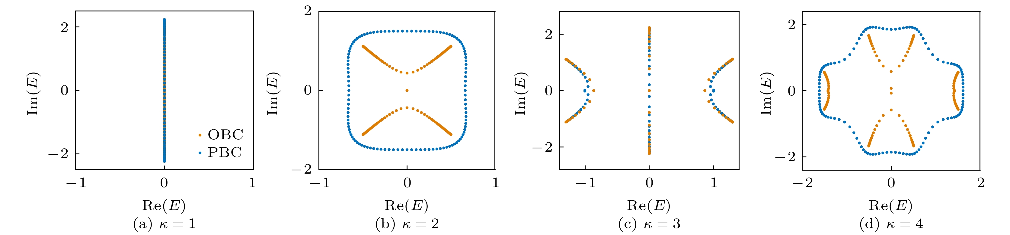
非厄米系统近年来受到了物理学相关领域研究人员的大量关注. 非厄米因素的存在往往会带来许多在厄米系统中不存在的新奇效应. 本文引入一类新的非厄米晶格系统—. 在这一模型中, 交替变化的非对称跃迁被等间距地施加在某些相邻格点的跃迁项中. 研究结果表明, 随着非对称跃迁强度的增大, 系统在开边界条件下的能谱会从实数变为复数. 此外, 系统中的非厄米趋肤效应和不同边界条件下的能谱性质会受到镶嵌型调制周期的影响. 当这一调制周期为奇数时, 系统中不存在非厄米趋肤效应, 且其能谱在开放和周期边界条件下是一样的(拓扑边界态除外); 而当镶嵌型调制周期为偶数时, 系统中存在非厄米趋肤效应, 且其能谱在不同的边界条件下具有完全不同的结构. 本文进一步研究了这类系统中的拓扑零能边界态, 并计算了Berry相位对其进行表征. 本研究揭示了镶嵌型非对称跃迁对系统性质的影响, 拓展了非厄米系统这一领域的相关研究.Non-Hermitian systems have attracted much attention during the past few years, both theoretically and experimentally. The existence of non-Hermiticity can induce multiple exotic phenomena that cannot be observed in Hermitian systems. In this work, we introduce a new non-Hermitian system called the non-Hermitian mosaic dimerized lattice. Unlike the regular nonreciprocal lattices where asymmetric hoppings are imposed on every hopping term, here in the mosaic dimerized lattices the staggered asymmetric hoppings are only added to the nearest-neighboring hopping terms with equally spaced sites. By investigating the energy spectra, the non-Hermitian skin effect (NHSE), and the topological phases in such lattice models, we find that the period of the mosaic asymmetric hopping can influence the system’s properties significantly. For a system with real system parameters, we find that as the strength of asymmetric hopping increases, the energy spectra of the system under open boundary conditions will undergo a real-imaginary or real-complex transition. As to the NHSE, we find that when the period is odd, there appears no NHSE in the system and the spectra under open boundary conditions (OBCs) and periodic boundary conditions (PBCs) are the same (except for the topological edge modes under OBCs). If the period of the mosaic asymmetric hopping is even, the NHSE will emerge and the spectra under different boundary conditions exhibit distinctive structures. The PBC spectra form loop structures, indicating the existence of point gaps that are absent in the spectra under OBCs. The point gap in the PBC spectrum is shown to be the topological origin of the NHSE under OBCs, which also explains the NHSE in our mosaic dimerized lattices. To distinguish whether the bulk states of the system under OBCs are shifted to the left or right end of the one-dimensional lattice due to the NHSE, we define a new variable called the directional inverse participation ratio (dIPR). The positive dIPR indicates that the state is localized at the right end while the negative dIPR corresponds to the states localized at the left end of the one-dimensional lattice. We further study the topological zero-energy edge modes and characterize them by calculating the Berry phases based on the generalized Bloch Hamiltonian method. In addition, we also find that the topological edge modes with nonzero but constant energy can exist in the system. Our work provides a new non-Hermitian lattice model and unveils the exotic effect of mosaic asymmetric hopping on the properties of non-Hermitian systems.
-
Keywords:
- non-Hermitian systems/
- mosaic asymmetric hopping/
- non-Hermitian skin effect/
- topological zero-energy edge modes
[1] [2] [3] [4] [5] [6] [7] [8] [9] [10] [11] [12] [13] [14] [15] [16] [17] [18] [19] [20] [21] [22] [23] [24] [25] [26] [27] [28] [29] [30] [31] [32] [33] [34] [35] [36] [37] [38] [39] [40] [41] [42] [43] [44] [45] [46] [47] [48] [49] [50] [51] [52] [53] [54] [55] [56] [57] [58] [59] [60] [61] [62] -
表 1具有不同
$ \kappa $ 值的一维的性质$ \kappa $取值 非厄米趋肤效应 子晶格对称性 拓扑零能边界态 $ \kappa $为奇数 无 有 无 $ \kappa $为偶数 有 有 有 -
[1] [2] [3] [4] [5] [6] [7] [8] [9] [10] [11] [12] [13] [14] [15] [16] [17] [18] [19] [20] [21] [22] [23] [24] [25] [26] [27] [28] [29] [30] [31] [32] [33] [34] [35] [36] [37] [38] [39] [40] [41] [42] [43] [44] [45] [46] [47] [48] [49] [50] [51] [52] [53] [54] [55] [56] [57] [58] [59] [60] [61] [62]
计量
- 文章访问数:4522
- PDF下载量:306
- 被引次数:0












下载:







