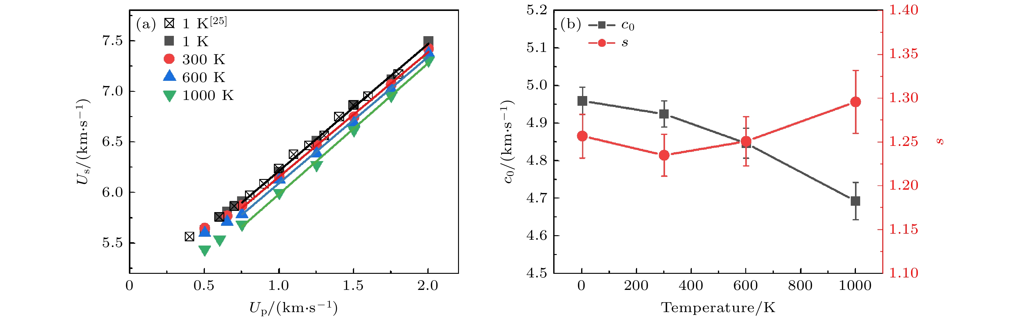
High-entropy alloys have broad application prospects in aviation, aerospace, military and other fields due to their excellent mechanical properties. Temperature is an important external factor affecting the shock response of high-entropy alloys. In this paper, we investigate the effects of temperature on the shock response and plastic deformation mechanism of CoCrFeMnNi high-entropy alloys by using molecular dynamics method. The effects of temperature on the atomic volume and the radial distribution function of CoCrFeMnNi high-entropy alloy are studied. Then, the piston method is used to generate shock waves in the sample to study the shock response of CoCrFeMnNi high-entropy alloy. We observe the evolution of atomic-scale defects during the shock compression by the polyhedral template matching method. The results show that the shock pressure, the shock wave propagation velocity, and the rising of shock-induced temperature all decrease with the initial temperature increasing. For example, when piston velocity
U
p= 1.5 km/s, the shock pressure at an initial temperature of 1000 K decreases by 6.7% in comparison with that at 1 K. Moreover, the shock Hugoniot elastic limit decreases linearly with the increase of temperature. The Hugoniot
U
p-
U
scurve of CoCrFeMnNi HEA in the plastic stage can be linearly fitted by the formula
U
s=
c
0+
sU
p, where
c
0decreases with temperature increasing. As the shock intensity increases, the CoCrFeMnNi high-entropy alloy undergoes complex plastic deformation, including dislocation slip, phase transformation, deformation twinning, and shock-induced amorphization. At relatively high initial temperature, disordered clusters appear inside CoCrFeMnNi HEA, which together with the BCC (body-centered cubic) structure transformed from FCC (face-centered cubic) and disordered structure are significant dislocation nucleation sources. Compared with other elements, Mn element accounts for the largest proportion (25.4%) in disordered cluster. Owing to the large atomic volume and potential energy, large lattice distortion and local stress occur around the Mn-rich element, which makes a dominant contribution to shock-induced plastic deformation. At high temperatures, the contribution of Fe element to plastic deformation is as important as that of Mn element. The research results are conducive to understanding the shock-induced plasticity and deformation mechanisms of CoCrFeMnNi high-entropy alloys in depth.