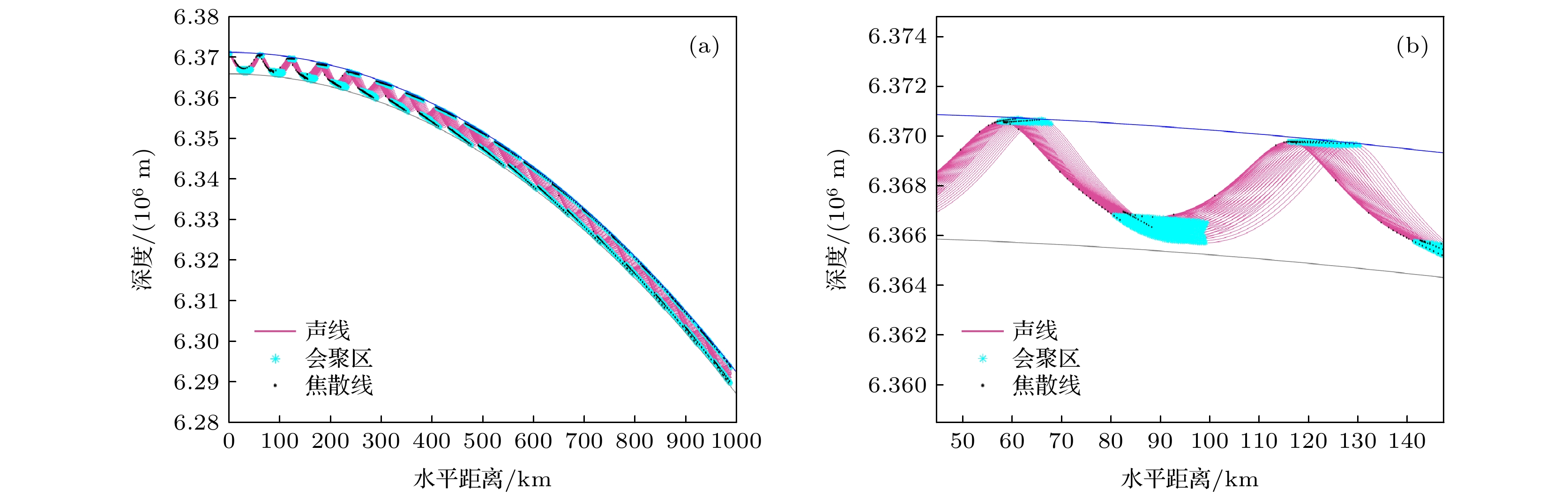
Convergence-zone (CZ) sound propagation is one of the most important hydro-acoustic phenomena in the deep ocean, which allows the acoustic signals with high intensity and low distortion to realize the long-range transmission. Accurate prediction and identification of CZ is of great significance in implementing remote detection or communication, but there is still no standard definition in the sense of mathematical physics for convergence zone. Especially for the issue of systematic error of computation introduced by the earth curvature, there is no exact propagation model. The curvature-correction methods always lead to the imprecision of the ray phase. In previous research work, we realized that the Riemannian geometric meaning of the caustics phenomena caused by ray convergence is that the caustic points are equivalent to the conjugate points, which form on geodesics with positive section curvature. In this work, we present a spherical layered acoustic ray propagation model for CZ based on the Riemannian geometric theory. With direct computation in the curved manifolds of the earth , a Riemannian geometric description of CZ is provided for the first time, on the basis of comprehensive analysis about its characteristics. And it shows that the mathematical expression of section curvature adds an additional item
${{\hat c(l){{\hat c}^\prime }(l)}}/{l}$
after considering the earth curvature, which reflects the influence of the earth curvature on the ray topology and CZ. By means of Jacobi field theory of Riemannian geometry, computational rule and method of the location and distance of CZ in deep water are proposed. Taking the typical Munk sound velocity profile for example, the new Riemannian geometric model of CZ is compared with the normal mode and curvature-correction method. Simulation and analysis show that the Riemannian geometric model of CZ given in this paper is a mathematical form naturally considering the earth curvature with theoretical accuracy, which lays more solid scientific foundations for the study of convergence zone. Moreover, we find that the location of CZ moves towards sound source when the earth curvature is considered, and the width of CZ near the sea surface first increases and then decreases with sound propagation proceeding. The maximum width is about 20 km and the minimum is about 4 km.