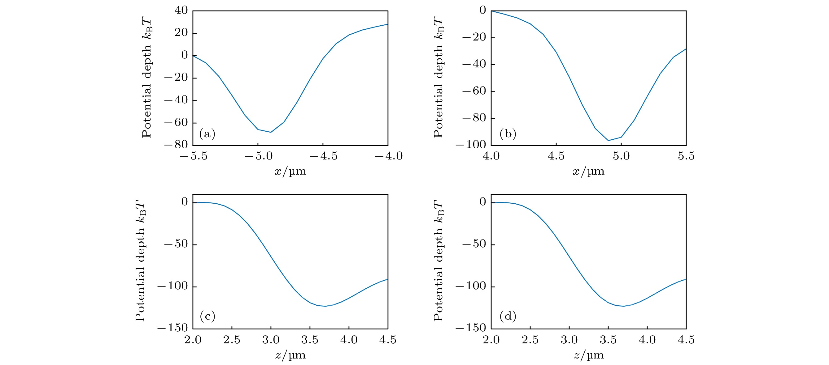
Novel dual-trap and multi-trap optical tweezers are designed and analyzed, in order to enhance the particle trapping performance of optical tweezers in three-dimensional (3D) space. Firstly, controllable dual-trap optical tweezers are proposed based on metalens and the low-loss optical phase-change material Sb
2S
3. The horizontal and axial analysis of the optical force acting on two 250-nm-radius SiO
2particles are also carried out. The simulation results show that when Sb
2S
3is in the crystalline state, the transverse optical trap stiffness
$ {k}_{x} $
of two particles reaches about 25.7 pN/(μm·W) and 37.4 pN/(μm·W), respectively, and the axial optical trap stiffness
$ {k}_{z} $
for each particle is about 10.0 pN/(μm·W). When the Sb
2S
3is in the amorphous state, both
$ {k}_{x} $
and
$ {k}_{z} $
are about 1/10 of the counterpart of its crystalline state. As a result, the particle is not stably trapped in the
z-direction, and thus enabling the controllability of trapping particles in 3D space. Furthermore, array-type multi-trap optical tweezers are proposed. By regulating the crystal state and noncrystal state of phase-change material Sb
2S
3, it is convenient to form different combinations of 3D trap schemes. These new optical tweezers can realize 3D space particle trap in various ways, thereby improving the flexibility of optical tweezers, and providing a series of new ways of implementing the metalens-based optical tweezers.