-
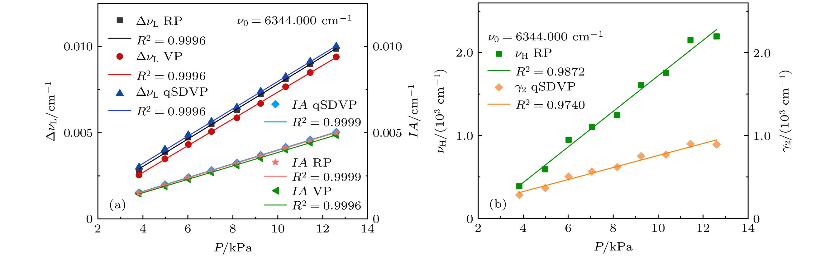
硫化氢(H 2S)作为一种强腐蚀性且具有剧毒的气体, 在化工、能源、环境等多个领域都是重要的中间产物或排放污染物, 在线精确测量其浓度对工艺过程控制、安全生产具有重要意义. 可调谐二极管激光吸收光谱(TDLAS)作为一种定量吸收光谱技术, 适用于大气环境监测、工业过程控制等领域H 2S浓度高精度在线测量. 考虑到HITRAN2020数据库中H 2S的谱线参数主要来自基于半经验理论模型的计算, 且缺乏实验数据验证, 本文首先采用直接吸收(DAS)法扫描获得H 2S分子6320—6350 cm –1波段内谱线吸收截面, 选取其中6组吸收较强、相对独立、具有应用潜力的特征谱线作为实验测量的目标谱线; 然后采用免标定、高信噪比的波长调制-直接吸收(WM-DAS)法测量了该6组谱线在不同压力下的吸收截面并用Voigt, Raution等线型函数对吸收截面进行最小二乘拟合, 对谱线的碰撞展宽系数、线强度、Dicke收敛系数等光谱常数进行高精度测量, 其中吸收截面拟合的残差标准差低至7×10 –5, 谱线线强度的测量不确定度小于2%, 碰撞展宽系数、Dicke收敛系数、速率依赖系数的测量不确定度小于10%. 完善了H 2S光谱数据库, 为H 2S浓度高精度测量提供基础光谱数据.
-
关键词:
- 硫化氢/
- 波长调制-直接吸收光谱/
- 碰撞展宽/
- 线强度
As a highly corrosive and highly toxic gas, hydrogen sulfide (H 2S) is an important intermediate product or pollutant in many fields such as chemical industry, energy and environment. Accurate online measurement of its concentration is of great significance for process control and production safety. Tunable diode laser absorption spectroscopy (TDLAS), as a quantitative absorption spectroscopy technique, is suitable for high-precision on-line measurement of H 2S concentration in atmospheric environmental monitoring and industrial processes control. Considering that most of the spectroscopic parameters of H 2S in the HITRAN2020 database are mainly calculated based on semi-empirical theoretical model and the experimental data to support them are lacking. In this work, direct absorption spectroscopy (DAS) method is firstly used to measure the absorption spectra of H 2S in the band of 6320–6350 cm –1. Six groups of characteristic lines with strong absorption and relative independence are selected as the target transitions for experimental measurement. Then, the wavelength modulation-direct absorption (WM-DAS) method with no calibration and high signal-to-noise ratio is used to measure the absorbances of the six groups of transitions under different pressures. Voigt, Raution and quadratic speed-dependent Voigt profiles fit the measured absorbances by least squares method in order to obtain the spectroscopic parameters such as the collision broadening coefficient, line strength and Dicke narrowing coefficient. And the minimum standard deviation of residual error of absorbances is 7×10 –5. The measurement uncertainty of each line strength is less than 2%, and the uncertainty of collision broadening coefficients, Dicke narrowing coefficients and the speed-dependent coefficients are all less than 10%. This work is helpful in improving the H 2S spectral database and providing the spectral data basis for the high-precision measurement of H 2S concentration.-
Keywords:
- hydrogen sulfide/
- wavelength modulation-direct absorption spectrum/
- collisional broadening/
- line strength
[1] [2] [3] [4] [5] [6] [7] [8] [9] [10] [11] [12] [13] [14] [15] [16] [17] [18] [19] [20] [21] [22] [23] [24] [25] [26] [27] [28] [29] -
ν0/cm–1 φ ${\gamma _{ { {\text{H} }_{\text{2} } }{\text{S-air} } } }\left( { {T_0} } \right)$
/(10–2cm–1·atm–1)${\beta _0}\left( {{T_0}} \right)$/
(10–2cm–1·atm–1)${\gamma _2}\left( {{T_0}} \right)$/
(10–3cm–1·atm–1)S(T0)
/ (10–3cm–2·atm–1)Meas. Ref. Meas. Ref. 6320.605 VP 8.99c 8.81 2.57a 2.63 RP 9.18b 2.80c 2.65a qSDVP 9.18b 7.85c 2.65a 6328.883 VP 8.62b 8.79 3.19a 3.35 RP 8.81b 1.75c 3.24a qSDVP 8.83b 5.89c 3.26a 6336.617 VP 7.87b 8.26 4.26a 3.49 RP 8.08b 1.05c 4.31a qSDVP 8.13b 4.52b 4.32a 6340.432 VP 9.07b 10.4 2.43a 2.66 RP 9.18b 2.38b 2.49a qSDVP 9.16b 7.00b 2.49a 6344.000 VP 7.79b 6.96 4.22a 3.27 RP 8.00a 2.18a 4.33a qSDVP 7.96a 7.36b 4.34a 6347.749 VP 8.62b 8.40 2.24a 2.36 RP 8.79a 2.40b 2.29a qSDVP 8.75a 7.80c 2.30a 注:a不确定度0—2%;b不确定度2%—5%;c不确定度5%—10%. -
[1] [2] [3] [4] [5] [6] [7] [8] [9] [10] [11] [12] [13] [14] [15] [16] [17] [18] [19] [20] [21] [22] [23] [24] [25] [26] [27] [28] [29]
计量
- 文章访问数:3913
- PDF下载量:97
- 被引次数:0












下载:





