搜索

x

留言板

姓名
邮箱
手机号码
标题
留言内容
验证码

downloadPDF
引用本文:
Citation:

    郭慧朦, 梁燕, 董玉姣, 王光义

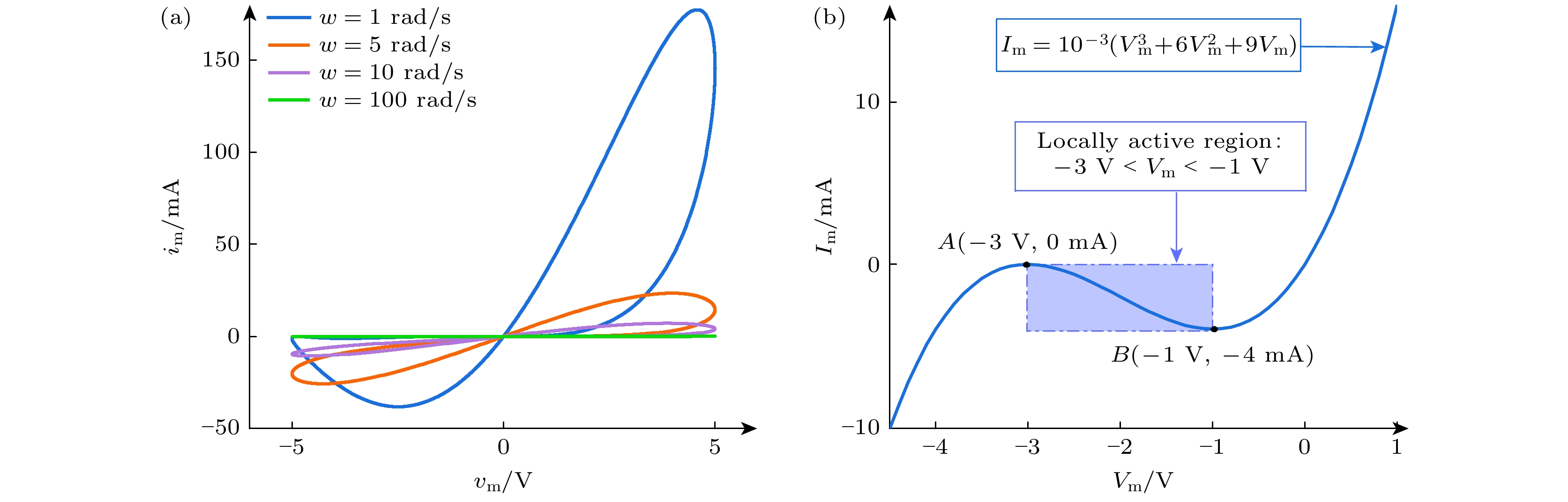
    Simplification of Chua corsage memristor and hardware implementation of its neuron circuit

    Guo Hui-Meng, Liang Yan, Dong Yu-Jiao, Wang Guang-Yi
    PDF
    HTML
    导出引用
    计量
    • 文章访问数:5277
    • PDF下载量:169
    • 被引次数:0
    出版历程
    • 收稿日期:2022-10-21
    • 修回日期:2022-11-15
    • 上网日期:2023-02-01
    • 刊出日期:2023-04-05

      返回文章
      返回