Solar-blind photodetector (PD) converts 200–280 nm ultraviolet (UV) light into electrical signals, thereby expanding application range from security communication to missile or fire alarms detections. As an emerging ultra-wide bandgap semiconductor, gallium oxide (Ga
2O
3) has sprung to the forefront of solar blind detection activity due to its key attributes, including suitable optical bandgap, convenient growth procedure, highly temperture/chemical/radiation tolerance, and thus becoming a promising candidate to break the current bottleneck of photomultiplier tubes. The Ga
2O
3-based solar blind PDs based on various architectures have been realized in the past decade, including photoconductive PDs, Schottky barrier PDs, and avalanche PDs. Till now, the metal-semiconductor-metal (MSM) structure has been widely used in developing photoconductive Ga
2O
3solar-blind PDs because of its simple preparation method and large light collection area. Unfortunately, despite unremitting efforts, the performance metric of reported MSM-type Ga
2O
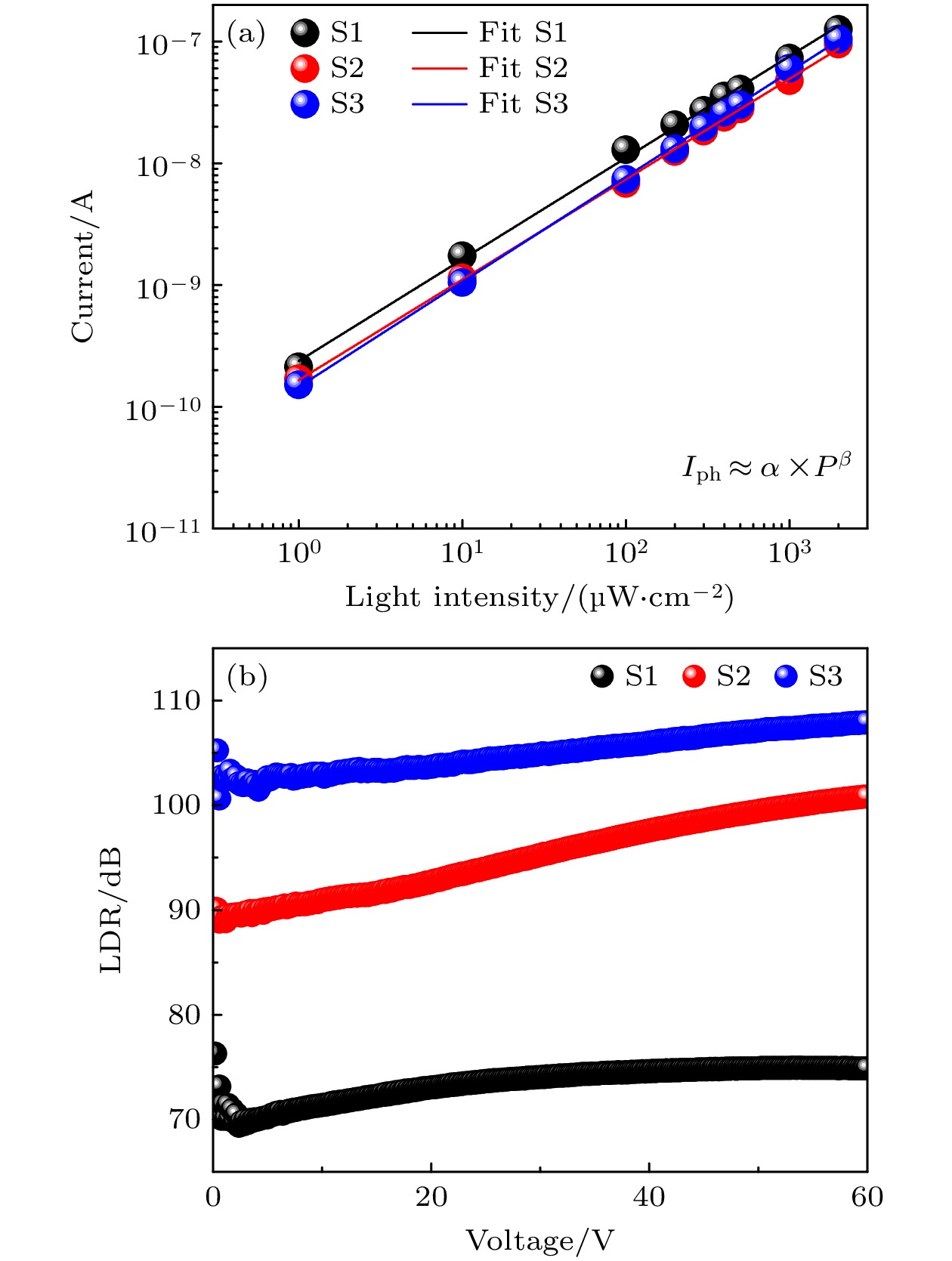
3solar-blind PDs still lags behind the benchmark of commercial PMTs. Apparently, lack of solution to the problem has greatly hindered further research and practical applications in this field. One effective strategy for further enhancing the device performance such as detectivity, external quantum efficiency (EQE), and light-to-dark ratio heavily relies on blocking the dark current. In this work, high-quality single crystalline
β-Ga
2O
3with a uniform thickness of 700 nm is grown by using a metal organic chemical vapor deposition (MOCVD) technique. Then atomic layer deposition (ALD) fabricated ultrathin hafnium oxide (HfO
2) films (
$ \sim $
10 nm) are introduced as inserted insulators and passivation layers. The 30 nm/100 nm Ti/Au interdigital electrodes (length: 2800 μm, width: 200 μm, spacing: 200 μm, 4 pairs) are fabricated by sputtering on the top of the film as the Ohmic contacts. Taking advantage of its novel dielectric and insulating properties, the leakage current on Ga
2O
3thin film can be effectively inhibited by the inserted ultrathin HfO
2layer, and thus further improving the performance of PDs. Compared with simple MSM structured Ga
2O
3PD, the resulting metal-insulator-semiconductor (MIS) device significantly reduces dark current, and thus improving specific detectivity, enhancing light-to-dark current ratio, and increasing response speed. These findings advance a significant step toward the suppressing of dark current in MSM structured photoconductive PDs and provide great opportunities for developing high-performance weak UV signal sensing in the future.