-
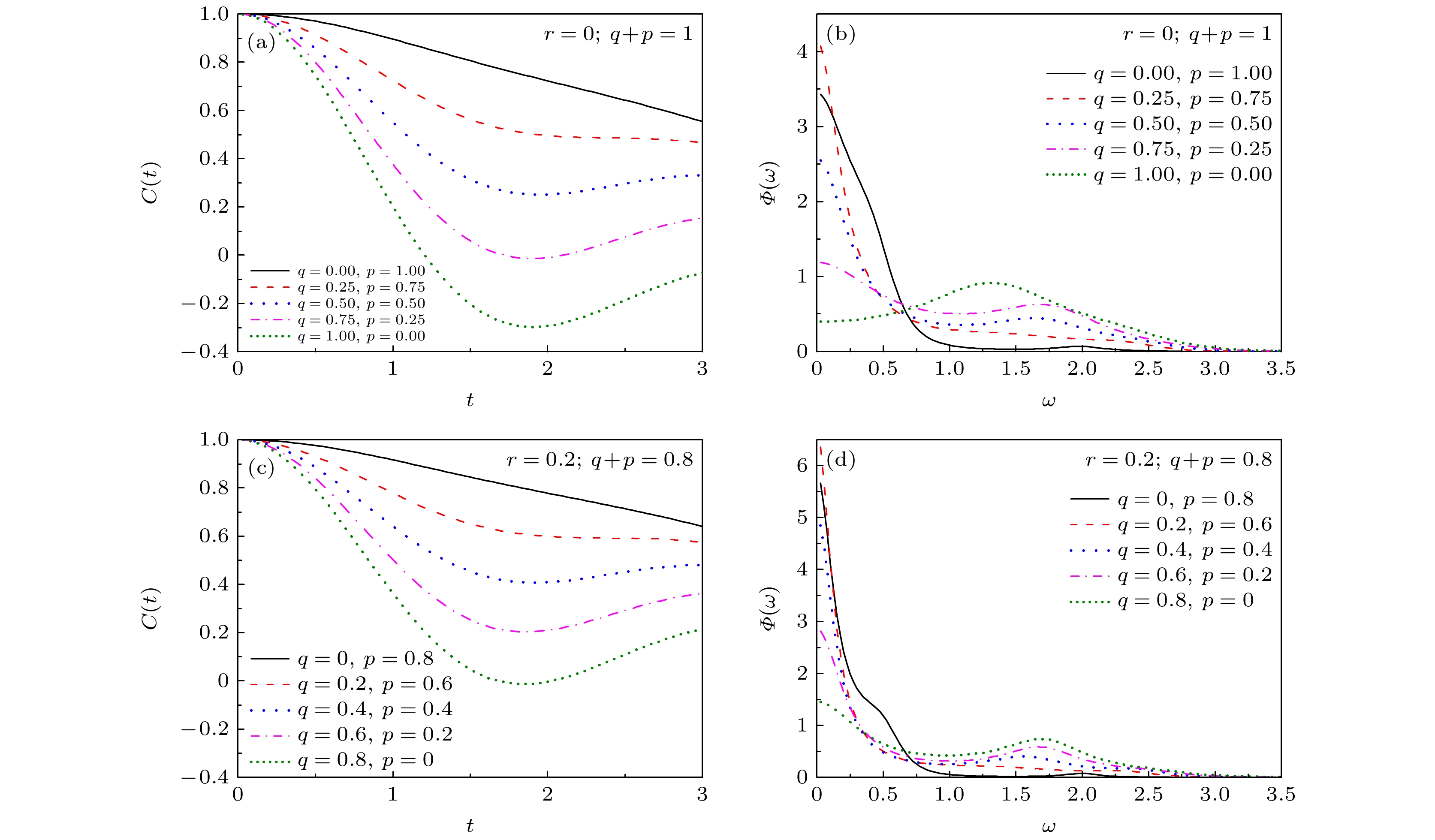
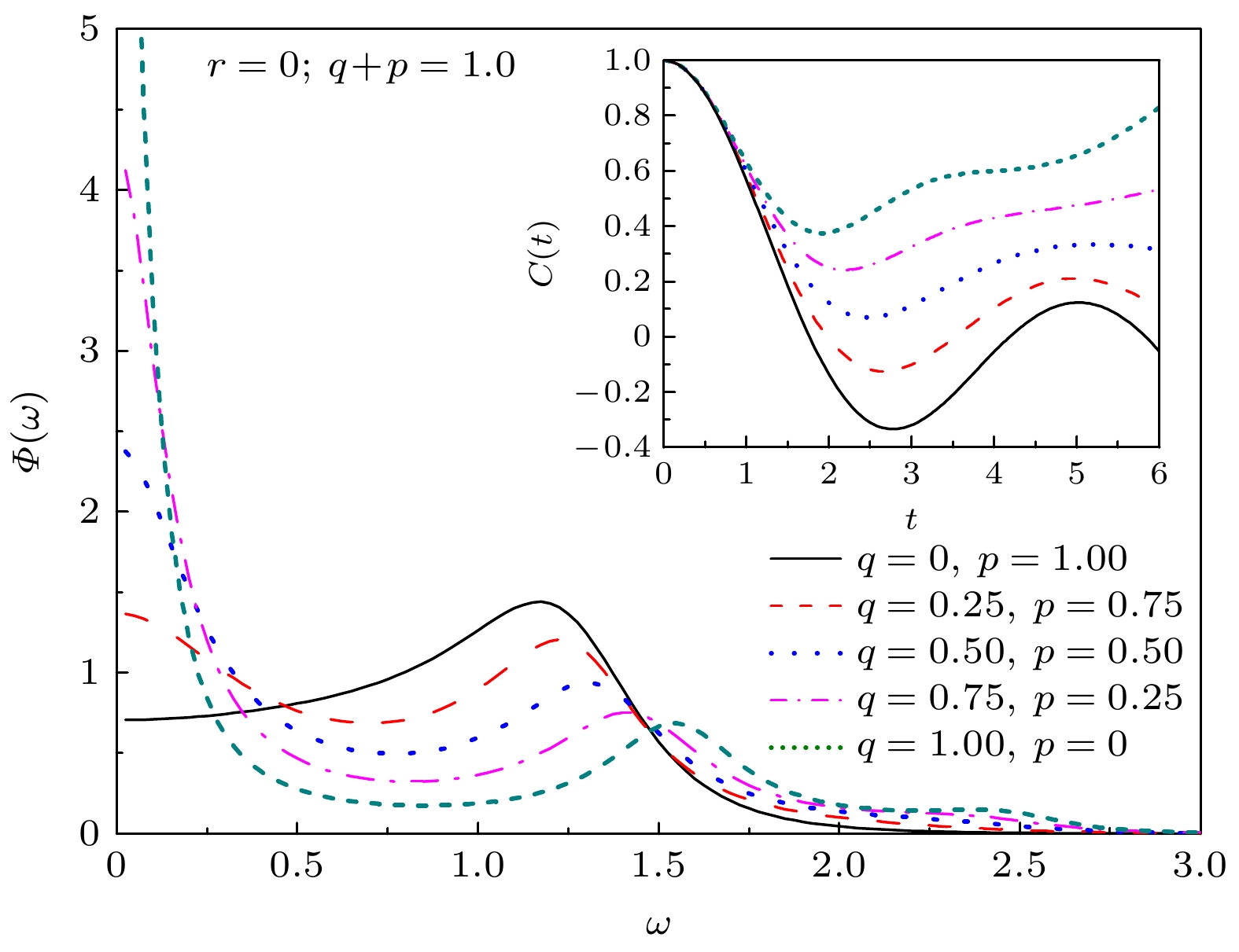
量子自旋系统在外磁场下的动力学性质一直是凝聚态理论和统计物理研究的热点. 本文利用递推关系方法, 通过计算系统的自旋关联函数及其对应的谱密度, 研究了三模型随机外场对一维量子Ising模型动力学性质的调控效应. 在三模型随机横场下, 利用 r分支引入了非磁性杂质, 研究表明: 非磁性杂质使得系统的低频响应得到保持, 中心峰值行为更加明显; 非磁性杂质与横场之间的竞争能激发出新的频率响应, 呈现多峰行为; 但较多的非磁性杂质最终会限制系统对横场的响应. 此外, 研究还发现随机横场的三模分布参数满足
$ q{B_q} = p{B_p} $ 这一条件, 是使中心峰值行为得到保持的有利条件. 在三模型随机纵场下, r分支仅仅起到调节纵场强度的作用, 且 r分支所占比重的增大不利于低频响应, 与三模型随机横场下 r分支的调控作用是相反的.It is of fundamental importance to know the dynamics of quantum spin systems immersed in external magnetic fields. In this work, the dynamical properties of one-dimensional quantum Ising model with trimodal random transverse and longitudinal magnetic fields are investigated by the recursion method. The spin correlation function $C\left( t \right) = \overline {\left\langle {\sigma _j^x\left( t \right)\sigma _j^x\left( 0 \right)} \right\rangle } $ and the corresponding spectral density$\varPhi \left( \omega \right) = \displaystyle\int_{ - \infty }^{ + \infty } {{\rm{d}}t{{\rm{e}}^{{\rm{i}}\omega t}}C\left( t \right)}$ are calculated. The model Hamiltonian can be written as$ H = - \dfrac{1}{2}J\displaystyle\sum\limits_i^N {\sigma _i^x\sigma _{i + 1}^x} - \dfrac{1}{2}\displaystyle\sum\limits_i^N {{B_{iz}}\sigma _i^z} - \dfrac{1}{2}\sum\limits_i^N {{B_{ix}}\sigma _i^x} $ ,where $\sigma _i^\alpha \left( {\alpha = x,y,z} \right)$ are Pauli matrices at site$ i $ ,$J$ is the nearest-neighbor exchange coupling.$ {B_{iz}} $ and$ {B_{ix}} $ denote the transverse and longitudinal magnetic field, respectively. They satisfy the following trimodal distribution,$ \rho \left( {{B_{iz}}} \right) = p\delta ({B_{iz}} - {B_p}) + q\delta ({B_{iz}} - {B_q}) + r\delta ({B_{iz}}) $ ,$ \rho \left( {{B_{ix}}} \right) = p\delta ({B_{ix}} - {B_p}) + q\delta ({B_{ix}} - {B_q}) + r\delta ({B_{ix}}). $ The value intervals of the coefficients $p$ ,$q$ and$r$ are all [0,1], and the coefficients satisfy the constraint condition$ p + q + r = 1 $ .For the case of trimodal random $ {B_{iz}} $ (consider$ {B_{ix}} \equiv 0 $ for simplicity), the exchange couplings are assumed to be$J \equiv 1$ to fix the energy scale, and the reference values are set as follows:$ {B_p} = 0.5 < J $ and$ {B_q} = 1.5 > J $ . The coefficient$r$ can be considered as the proportion of non-magnetic impurities. When$r = 0$ , the trimodal distribution reduces into the bimodal distribution. The dynamics of the system exhibits a crossover from the central-peak behavior to the collective-mode behavior as$q$ increases, which is consistent with the value reported previously. As$r$ increases, the crossover between different dynamical behaviors changes obviously (e.g. the crossover from central-peak to double-peak when$r = 0.2$ ), and the presence of non-magnetic impurities favors low-frequency response. Owing to the competition between the non-magnetic impurities and transverse magnetic field, the system tends to exhibit multi-peak behavior in most cases, e.g.$r = 0.4$ , 0.6 or 0.8. However, the multi-peak behavior disappears when$r \to 1$ . That is because the system's response to the transverse field is limited when the proportion of non-magnetic impurities is large enough. Interestingly, when the parameters satisfy$ q{B_q} = p{B_p} $ , the central-peak behavior can be maintained. What makes sense is that the conclusion is universal.For the case of trimodal random $ {B_{ix}} $ , the coefficient$r$ no longer represents the proportion of non-magnetic impurities when$ {B_{ix}} $ and$ {B_{iz}} $ ($ {B_{iz}} \equiv 1 $ ) coexist here. In the case of weak exchange coupling, the effect of longitudinal magnetic field on spin dynamics is obvious, so$J \equiv 0.5$ is set here. The reference values are set below:$ {B_p} = 0.5 \lt {B_{iz}} $ and$ {B_q} = 1.5 \gt {B_{iz}} $ . When$r$ is small ($r = 0$ , 0.2 or 0.4), the system undergoes a crossover from the collective-mode behavior to the double-peak behavior as$q$ increases. However, the low-frequency responses gradually disappear, while the high-frequency responses are maintained as$r$ increases. Take the case of$ r = 0.8 $ for example, the system only presents a collective-mode behavior. The results indicate that increasing$r$ is no longer conducive to the low-frequency response, which is contrary to the case of trimodal random$ {B_{iz}} $ . The$r$ branch only regulates the intensity of the trimodal random$ {B_{ix}} $ . Our results indicate that using trimodal random magnetic field to manipulate the spin dynamics of the Ising system may be a new try.[1] [2] [3] [4] [5] [6] [7] [8] [9] [10] [11] [12] [13] [14] [15] [16] [17] [18] [19] [20] [21] [22] [23] [24] [25] [26] [27] [28] [29] [30] [31] [32] [33] [34] [35] [36] [37] [38] -
[1] [2] [3] [4] [5] [6] [7] [8] [9] [10] [11] [12] [13] [14] [15] [16] [17] [18] [19] [20] [21] [22] [23] [24] [25] [26] [27] [28] [29] [30] [31] [32] [33] [34] [35] [36] [37] [38]
计量
- 文章访问数:2578
- PDF下载量:70
- 被引次数:0












下载:




