-
本文旨在对近期高能重离子超边缘碰撞中光致产生过程的研究做一个简要综述. 相对论性重离子激发的超强电磁场可以被近似认为是一束极高亮度的等效相干光子束流. 本文主要讨论两类等效光子参与的高能产生过程: 准实光子融合产生轻子对即Breit-Wheeler过程, 以及等效光子与原子核内的胶子物质相互作用导致的矢量介子衍射产生过程. 这两类过程是研究重离子超边缘碰撞的传统课题, 本文主要侧重于讨论碰撞参数依赖效应与末态软光子重求和效应. 另一方面, 最近一系列研究揭示了相对论重离子所激发的准实光子是高度线性极化的, 其极化方向平行于光子横动量方向;并指出可以通过重离子超边缘碰撞中轻子对产生过程的
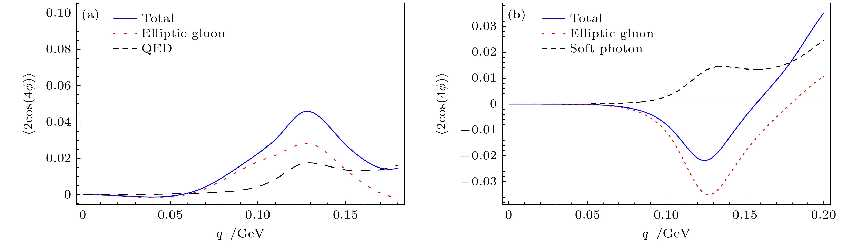
$\cos 4\phi$ 方位角不对称来测量光子的线偏振度. 这一理论预言随后被SATR合作组的测量所证实. 伴随这一新的理论与实验进展, 线性极化光子束流同时也给我们提供了一种新颖的实验手段, 用来研究量子色动力学唯象学. 如线偏振准实光子可导致矢量介子衍射产生过程的各种方位角不对称, 通过研究这些方位角不对称可以让我们更深入地理解高能散射过程的双缝干涉效应、库仑-核反应的干涉过程, 以及抽取光子维格纳函数等. 本文将详述这些效应并讨论未来的理论与实验发展.We review the recent progress in the studies of coherent photons induced high energy reactions in ultraperipheral heavy ion collisions. The strong electromagnetic field created by a fast moving charged heavy ion can be effectively viewed as a flux of quasi-real coherent photons. In this paper, we mainly discuss two different type processes that coherent photons take part in: lepton pair production via photon fusion and diffractive vector meson production in UPCs. We focus on investigating the impact parameter dependent effect and the final state soft radiation effect. On the other hand, a series of recent work have revealed that coherent photons are highly linearly polarized with its polarization vector being parallel to its transverse momentum. It has been shown that the linearly polarized photons can lead to$\cos 4\phi$ azimuthal asymmetries in di-lepton production. This theoretical predication soon has been confirmed by the STAR measurement. With this new development from both theory and experiment sides, the linearly polarized photons provide a new experimental avenue to explore novel QCD phenomenology. For example, the linearly polarized photons can give rise to various different azimuthal asymmetries in diffractive vector meson production. These observables provide us unique chance to study two source interference effect in high energy scatterings, Coulomb-Nuclear interference effect as well as extracting gluon Wigner distribution. We will discuss these novel phenomenology studies and the possible future developments.-
Keywords:
- relativistic heavy ion collisions/
- equivalent photon approximation/
- polarization effect/
- diffractive vector meson production
[1] [2] [3] [4] [5] [6] [7] [8] [9] [10] [11] [12] [13] [14] [15] [16] [17] [18] [19] [20] [21] [22] [23] [24] [25] [26] [27] [28] [29] [30] [31] [32] [33] [34] [35] [36] [37] [38] [39] [40] [41] [42] [43] [44] [45] [46] [47] [48] [49] [50] [51] [52] [53] [54] [55] [56] [57] [58] [59] [60] [61] [62] [63] [64] [65] [66] [67] [68] [69] [70] [71] [72] [73] [74] [75] [76] [77] [78] [79] [80] [81] [82] [83] [84] [85] [86] [87] [88] [89] [90] [91] [92] [93] [94] [95] [96] [97] [98] [99] [100] [101] [102] [103] [104] -
[1] [2] [3] [4] [5] [6] [7] [8] [9] [10] [11] [12] [13] [14] [15] [16] [17] [18] [19] [20] [21] [22] [23] [24] [25] [26] [27] [28] [29] [30] [31] [32] [33] [34] [35] [36] [37] [38] [39] [40] [41] [42] [43] [44] [45] [46] [47] [48] [49] [50] [51] [52] [53] [54] [55] [56] [57] [58] [59] [60] [61] [62] [63] [64] [65] [66] [67] [68] [69] [70] [71] [72] [73] [74] [75] [76] [77] [78] [79] [80] [81] [82] [83] [84] [85] [86] [87] [88] [89] [90] [91] [92] [93] [94] [95] [96] [97] [98] [99] [100] [101] [102] [103] [104]
计量
- 文章访问数:5073
- PDF下载量:134
- 被引次数:0












下载:














