-
采用耦合电场模型的相变格子Boltzmann (LB)方法研究了饱和池沸腾传热性能, 重点分析了均匀电场作用下加热器表面润湿性以及加热器长度对沸腾过程中气泡生成、合并、断裂等动力学行为的影响以及气泡的动力学行为对池沸腾传热性能的影响. 结果表明, 电场的作用能否强化沸腾传热与加热器的长度以及润湿性有直接关系. 对于亲水表面, 当加热器长度
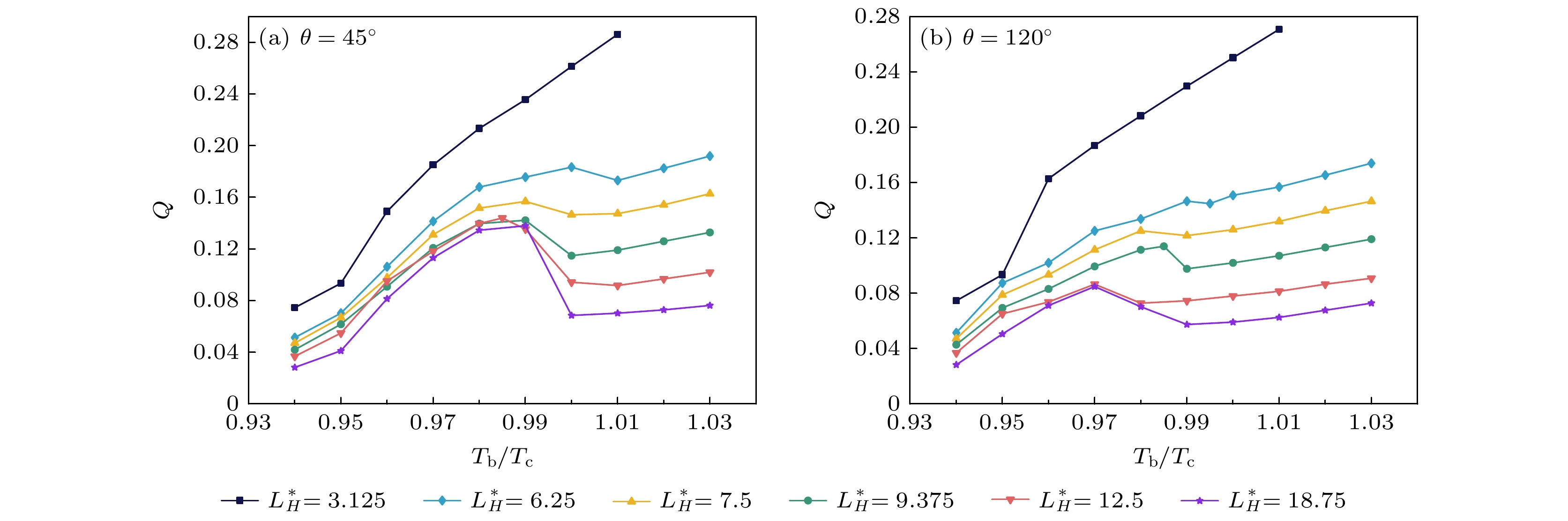
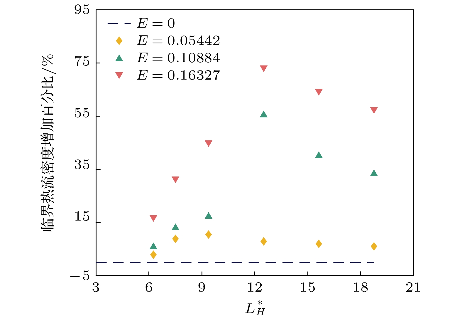
$L_H^*\leqslant6.25$ 时, 由于加热器尺寸较小, 沸腾过程中加热器表面产生的气泡相互作用力弱, 此情况下电场的存在使得气泡体积减小, 沸腾被抑制. 当加热器长度$6.25< L_H^*\leqslant $ $ 9.375$ 时, 均匀电场均能提高临界热流密度(critical heat flux, CHF), 且在此加热器长度范围内, CHF提高的百分比随着电场强度的增大而增大. 这是因为$6.25 时, 更长的加热器为气泡的生成提供了充分的空间, 气泡之间的相互作用力较强, 均匀电场作用下的气泡间距增大, 气泡数量增加, 且CHF提高百分比逐渐增大; 当$L_H^*>9.375$ 时, 再润湿阻力随着加热器长度的增大而增大, 导致沸腾过程中产生的蒸气在电场力作用下容易被紧贴于加热表面, 增加了固体与流体之间的换热热阻, 并在气泡根部形成不利于气泡向中间移动的涡, 减缓了加热表面热流体与两侧较冷流体的热质交换, CHF提高的百分比随着加热器长度的增大逐渐减小. 对于疏水表面, 随着长度的增大, CHF提高百分比同样为先增大后减小, 然而其阈值增大.The phase change lattice Boltzmann (LB) model combined with the electric field model is employed to investigate the heat transfer performance of saturated pool boiling. Particular attention is paid to the influence of heater surface wettability and heater length on bubble behaviors, including generation, merging, and fracture during boiling in a uniform electric field. Moreover, the effects of the bubble behavior on heat transfer performance are also investigated. The study results indicate that the enhancement of boiling heat transfer by the electric field is dependent on both the heater length and the wettability. In the case of a hydrophilic surface, when the heater length$L_H^*\leqslant 6.25$ , the bubble interaction force generated on the heater surface during boiling is weak due to the small size of the heater. Thus the effect of a uniform electric field on the bubble dynamic behaviors is mainly manifested by reducing the bubble size. As a result, the whole boiling phase is suppressed in this case. In the case of$6.25 < L_H^*\leqslant9.375$ , the uniform electric field enhances the critical heat flux (CHF), and the enhancement degree increases with electric field strength increasing. This can be attributed to the longer heater providing sufficient space for bubble generation, resulting in increased bubble nucleation sites and stronger interaction forces between bubbles. On the other hand, the distance between adjacent bubbles increases with the heater length increasing,thus further contributing to the improved CHF percentage. When$L_H^*>9.375$ , the rewetting resistance increases with heater length increasing. So the vapor generated in the boiling process is prone to be closely adhered to the heating surface under the action of electric field force, forming a thin layer of vapor on the heater surface. The vapor not only increases the heat transfer thermal resistance between the solid and the fluid but also creates no vortex near the bubble. This is not conducive to the movement of the bubble to the middle of the heater, thereby slowing down the heat mass exchange between the hot fluid on the heating surface and the colder fluid on both sides. As a result, the improved percentage of CHF decreases gradually with the increase in the heater length. In the case of hydrophobic surfaces, the increased percentage of CHF initially increases with heater length increasing and then decreases. However, comparing with the hydrophilic surface, the increase of the heater source length corresponds to the beginning of the decrease of critical heat flux.[1] [2] [3] [4] [5] [6] [7] [8] [9] [10] [11] [12] [13] [14] [15] [16] [17] [18] [19] [20] [21] [22] [23] [24] [25] [26] [27] [28] [29] [30] [31] [32] [33] [34] [35] [36] [37] [38] [39] [40] -
符号 格子单
位大小物理单位大小 转换因子 $ \rho_\mathrm{l} $ 5.426 570.02 $ \mathrm{kg}/\mathrm{m}^3 $ 106.16 $ \mathrm{kg}/\mathrm{m}^3 $ $ \rho_\mathrm{v} $ 0.8113 86.13 $ \mathrm{kg}/\mathrm{m}^3 $ 106.16 $ \mathrm{kg}/\mathrm{m}^3 $ $ l_0 $ 16 $ 4.72\times 10^{-6}\;\mathrm{m} $ $ 2.95\times 10^{-7}\;\mathrm{m} $ $ u_0 $ 0.0358 38.56 $ \mathrm{m/s} $ 1077.09 $ \mathrm{m/s} $ $ t_0 $ 447.8 $ 1.224\times 10^{-7}\;\mathrm{s} $ $ 2.734\times 10^{-10}\;\mathrm{s} $ ν 0.06 $ 0.19\times 10^{-4}\;\mathrm{m}^2/\mathrm{s} $ $ 3.18\times 10^{-4}\;\mathrm{m}^2/\mathrm{s} $ $ T_\mathrm{c} $ 0.1961 647.2 $ \mathrm{K} $ 3300.36 $ \mathrm{K} $ $ p_\mathrm{c} $ 0.1784 $ 0.221\times 10^{8}\;\mathrm{Pa} $ $ 1.24\times 10^{8}\;\mathrm{Pa} $ $ c_\mathrm{vl} $ 4.0 1405.9 $\mathrm{J}/(\mathrm{kg}{\cdot} \mathrm{K})$ 351.48 $ \mathrm{J}/(\mathrm{kg}\cdot \mathrm{K}) $ $ h_\mathrm{fg} $ 0.624 $ 0.726\times 10^{6}\;\mathrm{J/kg} $ $ 1.16\times 10^{6}\;\mathrm{J/kg} $ $ \lambda_\mathrm{s} $ 32.556 390.67 $\mathrm{W}/(\mathrm{m}{\cdot} \mathrm{K})$ 12.0 $ \mathrm{W}/(\mathrm{m}\cdot \mathrm{K}) $ $ q_0 $ 0.01269 $1.69 \times 10^{9}\;\mathrm{J}/({\rm{m} }^2{\cdot} {\rm{s} })$ $1.33 \times 10^{11}\;\mathrm{J}/({\rm{m} }^2{\cdot} {\rm{s} })$ $ \varepsilon_0\varepsilon_\mathrm{l} $ 2.236 $ 1.98\times 10^{-11}\;\mathrm{F/m} $ $ 8.85\times 10^{-12}\;\mathrm{F/m} $ $ \varepsilon_0\varepsilon_\mathrm{v} $ 1 $ 8.85\times 10^{-12}\;\mathrm{F/m} $ $ 8.85\times 10^{-12}\;\mathrm{F/m} $ V 1 1096.96 V 1096.96 V -
[1] [2] [3] [4] [5] [6] [7] [8] [9] [10] [11] [12] [13] [14] [15] [16] [17] [18] [19] [20] [21] [22] [23] [24] [25] [26] [27] [28] [29] [30] [31] [32] [33] [34] [35] [36] [37] [38] [39] [40]
计量
- 文章访问数:2703
- PDF下载量:85
- 被引次数:0












下载:













