Sawtooth oscillation is one of the most important magneto-hydrodynamic (MHD) instabilities in Tokamak plasma, which can result in the periodic relaxation of the temperature and density of the core plasma when the safety factor on the magnetic axis (
q
0) is lower than unity. Owing to the periodic relaxation of the plasma core parameters, sawtooth oscillations are beneficial to avoiding impurity accumulation in plasma core. However, the large sawtooth crash may trigger off other MHD instabilities, like tearing modes (TMs) or neoclassical tearing modes (NTMs), which is a matter of concern for the plasma stability. Therefore, it is essential to control sawtooth oscillations for ensuring safe operation in the future Tokamaks such as ITER. The resonant magnetic perturbation (RMP) is widely used to control edge-localized modes (ELMs) and divertor heat flux in Tokamak. The application of RMP has also been found to affect the sawtooth behaviors. This paper studies the influence of RMP coils at
n= 2 on sawtooth behaviors in experimental advanced superconducting Tokamak (EAST), where
nis the toroidal mode number of the applied RMP. It is found that the phase difference between upper RMP coil and lower RMP coil (
$ \Delta {\phi }_{{\rm{U}}{\rm{L}}}\left(^\circ\right)={\phi }_{{\rm{U}}}\left(^\circ\right)-{\phi }_{{\rm{L}}}\left(^\circ\right) $
) is a notable parameter of affecting sawtooth behavior. The experiments for scanning the phase difference
$ \Delta {\phi }_{{\rm{U}}{\rm{L}}} $
are carried out. When the phase difference
$ \Delta {\phi }_{{\rm{U}}{\rm{L}}} $
of RMP at
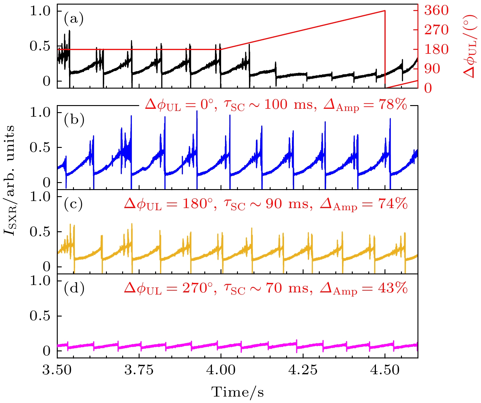
n= 2 is changed, the sawtooth period and amplitude become subsequently different. The minimum sawtooth period and amplitude appear at
$\Delta {\phi }_{{\rm{U}}{\rm{L}}}=270^\circ$
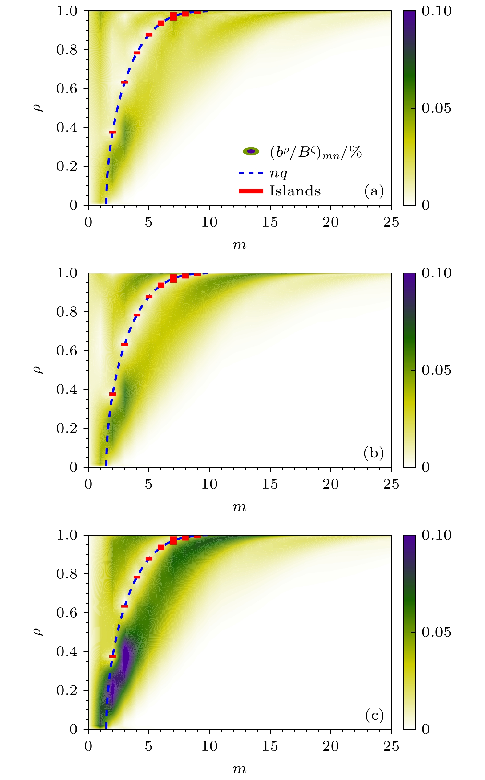
. At the same time, neutron yields measured by neutron diagnostic system have the same trend as sawtooth behavior during RMP phase difference scanning. The plasma response to RMP at
n= 2 is analyzed by using the MARS-F code. The results show that the plasma responses much strongly at the
$\Delta {\phi }_{{\rm{U}}{\rm{L}}}=270^\circ$
. The loss of fast ion, caused by RMP coils, is possibly stronger at the
$\Delta {\phi }_{{\rm{U}}{\rm{L}}}=270^\circ$
than that at other phase difference
$ \Delta {\phi }_{{\rm{U}}{\rm{L}}}. $
The loss of fast ion can reduces its stabilization effect on sawtooth behavior, which results in the reduction of the sawtooth period and amplitude. Further research is needed to optimize the sawtooth control method with RMP to make it compatible with plasma performance.